Студопедия

Главная страница Случайная страница

КАТЕГОРИИ:

АвтомобилиАстрономияБиологияГеографияДом и садДругие языкиДругоеИнформатикаИсторияКультураЛитератураЛогикаМатематикаМедицинаМеталлургияМеханикаОбразованиеОхрана трудаПедагогикаПолитикаПравоПсихологияРелигияРиторикаСоциологияСпортСтроительствоТехнологияТуризмФизикаФилософияФинансыХимияЧерчениеЭкологияЭкономикаЭлектроника






Ііііііі






АААААА

Айнымалы тоқ тізбегі энергияны жыйнақ тайды да, оны қ андай тізбекке береді: E) C жә не L.

Айнымалы тоқ тізбегіне қ осылғ ан катушка қ андай максимал энергия жинай алады, егер одан ө тетін максимал тоқ 10 А жә не L=10 мГн, =50 Гц: E) 0, 5 Дж.

Айнымалы тоқ тізбегіне қ осылғ ан конденсатор қ андай максимал энергия жинай алады, егер оның ұ шындағ ы кернеу 100 В жә не С=100 мкФ, Гц: A) 0, 5 Дж.

Айнымалы ЭҚ К кө зіне индуктивтілік пен сиымдылық элементтері параллель жалғ анғ ан. Қ андай жағ дайда қ оректену қ ө зінен алынатын тоқ нө лге тең болады: C) .

Активті кедергісі бар тізбектегі тоқ кө зінің энергиясы қ андай энергияғ а айналады: C) Жылулық энергиясына.

Активті қ уатты анық тау керек.A) 96.12 Bт

Активтік кедергісі r = 3 Ом, индуктивтік кедергісі = 4 Ом электр тізбегінің толық комплекс кедергісін алгебралық, кө рсеткіш функциялар тү рінде анық таң ыз: A) 3+j4;

Ә Ә Ә Ә Ә

Ә р жиіліктің электр толқ ындары жиілік электр сү згіші қ ұ рылғ ысы кө мегімен: C) Бір-бірінен ажыратылады

Ә р қ айсысының кедергісі R, n резистор параллель жалғ анғ ан. Электр тізбегінің балама кедергісінің формуласы: B) R/n

Ә р қ айсысы ЭҚ К-сі 10 В, ішкі кедергісі 0, 5 Ом ү ш бір типті электр энергиясы кө здері тізбектей жалғ анғ ан. Осы батареяның қ ысқ аша тұ йық талу режимі кезіндегі кернеуін анық таң ыз: B) 20 B

ББББББ

Бір бағ ытта n бірдей ЭКҚ Е қ орек кө здері параллель қ осылғ ан жә не ішкі кедергілері бірдей жә не жү ктеме R-ге қ осылғ ан. Жү ктемеден ө тетін тоқ тың ө рнегін анық таң ыз: B)

Бір бағ ытта n бірдей ЭҚ К Е қ орек кө здері тізбектем n жә не ішкі кедергілері бірдей жә не жү ктеме R-ге қ осылғ ан, жағ дайда жү ктемеден ө тетін тоқ тың ө рнегін анық таң ыз: C) I=E/( +R/n)

Берілген екі Z1=5+j3.5, Z2=1.8-j4 комплекс сандарының қ осындысын, айырымын, кө бейтіндісін, бө ліндісін анық таң ыз: C) 6.8-j0.5; 3.2+j7.5; 26.78 ; 1.39

ГГГГГГ

Генератор фазаларының тізбектілігі А, В, С болсын. Егер оғ ан двигателді қ осып жә не фазалардың тізбектілігін А, С, В -ғ а ө згертсе не болады: E) Двигатель кері қ арай айналады.

Генератордың симметриялы жү ктемесі кезінде оның қ абылдағ ышпен «жұ лдызша» сұ лбасымен қ осқ анда: E) Бейтарап сым салынбайды.

Генератордың шығ ысындағ ы кернеудің мә ні 10 В. Оғ ан тізбекті тү рде мыналар қ оылғ ан R=2 Ом, С= Ф, L=10 мГн. Резонанс кезінде қ андай тоқ тұ тынылады: B) 5А.

ЕЕЕЕЕЕ

Егер 400 B, 133 B, 80 B болса, ЭҚ К ә серлік мә ні: C) 304.3 B

Егер = 40 A, = 4.43 A, = 1.6 A болса, тоқ тың ә серлік мә ні: E) 21, 35 A
қ атарымен анық талатын кернеудің ә серлік мә ні: E) 217 B
Егер 298, 5 B, 44.3 B, 15.1 B болса, кернеудің ә серлік мә ні: D) 213.3 B

Егер барлық кедергілер бірдей жә не R=1 Ом болса, онда А жә не В нү ктелерінің арасындағ ы кедергі неге тең: E) 1 Ом.

Егер де тоқ пен кернеу лездік мә ндері тең деулермен тө мендегі тү рде берілсе, активті P, реактивті Q жә не толық қ уатты S табу керек: D) P = 433 Bт, Q = 250 Вар, S = 500 BA

Егер желідегі кернеу 220 В, шамның кедергісі 20 Ом болса, онда тізбектегі тоқ кү ші неге тең: B) 11 А.

Егер комплексті кедергінің аргументі болса, онда: C) Тізбектегі кедергі индуктивтік сипатта болады.

Егер конденсатордың пластиналарының арасына диэлектрик орнатсақ, онда конденсатордың сыйымдылығ ы: C) Ө седі.

Егер қ орек кө зімен энергия қ абылдағ ыштардың орынын ауыстырғ анда тоғ ы ө згермейтін тө ртполюстік: D) Симметриялық

Егер қ оректендіру кө зі мен энергия тұ тынушынының орындарын ауыстырғ анда, тоқ тар мә ні ө згермейтін болса, онда ол... деп аталады: D) Симметриялы.

Егер ө ткізгіштік қ озғ алыссыз, ал магнит ө рісі осы ө ткізгіштікке байланысты орын ауыстырып отырса, онда осы ө ткізгіштікте индукцияның ЭҚ К байқ аладыма: B) Ия.

Егер резонанс кезінде индуктивтіктің жә не сыйымдылық тың ө тімділігін n-есе арттырсақ, онда: C) Тоқ тар n-есе ө седі.

Егер синусоидалы тоқ сыймдылық элемент арқ ылы ө тсе, онда оның фазасы кернеу фазасы мен байланысты: A) .

Егер тізбектегі кернеу тұ рақ ты болып, ал кедергісі артса, онда: A) Тоқ кү ші азаяды.

Егер электр ө рісінен электр зарядының кез-келген траектория бойынша ө туі кү шінің жұ мысы нолге тең екендігі белгілі болса, ол ө ріс қ алай аталады: B) Электростатикалық.

Екі резистор тізбектей жалғ анғ ан. Олардың жалпы ө ткізгіштігі: E) .

Екі резисторлар тізбектей жалғ анғ ан. Олардың жалпы ө ткізгіштігі неге тең: C) .

Екі тү йін ә дісі арқ ылы анық талғ ан кернеуді табың ыз: C) .

ЖЖЖЖЖ

Жазық конденсатордың сыйымдылығ ы: B) .

Жалпы кіріс тоқ ты табың ыз. Егер B, Ом, =15 Ом: B) 8 А.

Жалпы кіріс тоқ ты табың ыз. Егер Ом, B, =20 Ом: A) 5 А.

Жалпы а жә не в тү йіндерінің арасындағ ы кернеуді екі тү йін ә дісімен анық тау керек: A) =

Жиілік ө скендес синусоидалы тоқ тізбегіне қ осылғ ан сыйымдылық элементтің кедергісі: B) Азаяды.

Жиілік электр сү згіштің ө ткізбейтін жиілік жолағ ы: C) Ө шу жолағ ы

Жиілік электр сү згіштің ө шкізбей ө ткізетін жиілік жолағ ы: B) Ө ткізу жолағ ы

Жү ктеме мен қ оректендіру кө зі арасына жиіліктері бір диапазонда орналасқ ан тоқ тарды ө ткізуге, ал жиілікитері екінші диапазонда орналасқ ан тоқ тарды ө ткізбеуге арналғ ан тө ртполюстікті... деп айтамыз: B) Электр сү згі.

ИИИИИ

Идеал пассив сү згі қ андай элементтерден тұ рады: E) Идеал индуктивтілік катушкалары мен конденсаторлардан.

Идеалды (мінсіз) пассивті жиілік электр сү згіштері қ андай элементтерден тұ рады: E) Мінсіз индуктивті катушкамен конденсатордан
Қ азақ станда қ олданылатын ө ндірістік жиіліктің мә ні: A) 50Гц

ИдеалЭҚ К-нің кө зі қ андай қ асиетке ие: A) Ішкі кедергісі 0-ге тең.

Индуктивті кедергі қ ай тең деумен анық талады: B) .

Индуктивті элемент келесі қ асиетпен сипатталады: C) Энергияны магнит ө рісінің энергиясы тү рінде жинақ тайды.

Индуктивті элемент тө мендегі қ асиетке ие: Правильный ответ=E

Индуктивті элемент ү шін бір период ішіндегі қ уаттың орташа мә ні : B) 0.

Индуктивті элементтегі лездік қ уат - синусоидалық шама болып табылады оның жиілігі неге тең: B) Тоқ жиілігінен екі есе ү лкен.

Индуктивті элементтің комплекстік ө ткізгіштігі: C) .

Индуктивті элементтің магнит ө рісіндегі энергия: D)

Индуктивтілік катушкасынан ө тетін тоқ . Катушканың индуктивтілігі 10 мГн. Катушканың ұ шындағ ы максимал кернеуі неге тең: C) 10 В.

Индуктивтіліктік ө лшем бірлігі: E) Гн.

КККККК

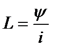
Катушканың индуктивтілігі: B)
Катушкадағ ы ө зі индукцияланғ ан ЭҚ К тә уелді: D) Одан ө тетін тоқ тың жиілігіне

Катушканың ұ штарындығ ы кернеу 10 В тең тізбектелген контурда резонанс байқ алады. Егер катушканың индуктивтілігін 5 есе ө сірген, ал конденсатордың сыиымдылығ ын 5 есе кеміткен болсақ, онда: D) Резонанс сақ талады, катушкадағ ы кернеу 50 В.

Кез келген тармақ тың тоғ ын анық тау ү шін қ олданылатын қ олайлы ә діс: C) Баламалы (эквивалентті) генератор ә дісі

Кернеу резонансы... мү мкін болады: A) Тізбекті тербелмелі контурда.

Кернеу резонансы кезінде: E) Сыйымдылық ты жә не индуктивті элемментерде кернеу кернеу кө зінен бірнеше есе кө п болады, ал тізбектей тоқ кү рт ө седі.

Кернеу резонансы іске асқ анда идеал контурдың () толық кедергісі: C) .

Кернеу резонансына берілген анық таманың қ айсысы дұ рыс емес? E) Электроэнергетикалық қ ондырғ ыда – бұ л қ ұ былыстың болғ аны жө н, себебі кернеуді арттыруғ а мү мкіндік береді.Радиотехникада керекті жиілікке тізбектерді сә йкестіруге қ олданылады.

Кернеудің ө лшем бірлігі: B) Bольт

Кернеу резонансы: C) Тізбектей жалғ анғ ан тербемелі контурда кірме реактивті кедергісі нө лге тең немесе кернеу мен тоқ тың фазаларының айырымы нө лге тең

Кирхгоф ережесін пайдаланып кіріс тоқ ты анық таң ыз. Егер В Ом, =10 Ом: D) 8 А.

Кирхгоф ережесін пайдаланып кіріс тоқ ты анық таң ыз. Егер В, Ом, =5Ом: B) 10 A.

Кирхгоф заң дары бойынша электрлік тізбектер тә ртібін есептеуге арналғ ан неше тең дік бар: D) Тізбек неше тармақ тан тұ рса, сонша.

Кирхгофтың бірінші заң ы бойынша: егер тү йінде тоқ тарының бағ ыттары ә ртү рлі бірнеше сымдар тү йіссе, онда: C) Электр тізбегінің тү йініне келтірілген тоқ тар қ осындысы, бұ л тү йіннен шық қ ан тоқ тардың қ осындысына тең, немесе электр тізбегіндегі тү йіндік нү ктедегі тоқ тардың алгебралық қ осындысы нолге тең.

Кирхгофтың бірінші заң ы: C) .

Кирхгофтың екінші заң ы: D) .

Кирхгофтың заң ын пайдаланып кіріс тоғ ын анық таң ыз. Егер B, =10 Ом, =8 Ом: C) 9 А.

Кирхгофтың заң ын пайдаланып кіріс тоғ ын анық таң ыз. Егер B, =10 Ом, =5 Ом: B) 18 А.

Кирхгофтың заң ын пайдаланып кіріс тоғ ын анық таң ыз. Егер B, =40 Ом, =20 Ом: B) 9 А.

Комплекстік кедергінің аргументі : C) .

Комплекстік кедергінің аргументі: B) .

Комплекстік тү ріндегі Киргховтың бірінші заң ы: B) .

Конденсатор астарлары арасындағ ы электр ө рісінің энергиясы: E)
Конденсаторғ а мынандай кернеу тү сірілген . Конденсатордың сыиымдылығ ы 100 мкФ. Тізбектегі максимал тоқ неге тең: B) 0, 5 А.

Конденсатордағ ы электр ө рісінің энергиясы W тең: A) .

Конденсатордың сыйымдылығ ы 100 мкФ, катушканың индуктивтілігі 40 мГн.Екі элемент те жиілігі ө згермелі синусоидалы тезбекке қ осылғ ан. Қ андай жиілікте резонанс байқ алады: C) 500 .

Конденсаторлар батареясының сыиымдылығ ынешеге тең, егер жеке конденсатордың сыиымдылығ ы 2 мкФ болса: A) 6 мкФ.

Контур сапалылығ ы қ андай формуламен анық талады: B) .

Контур сапалылығ ының ө лшем бірлігі: B) Сапалылық – ө лшемсіз шама
Кернеу резонансындағ ы мінсіз контурдың (R=0) толық кедергісі тең: C) 0

Контур сапалылығ ының ө лшем бірлігі: E) Қ айырымдылық – шексіздік шама.

Контур сапалылығ ының ө рнегінің дұ рыс емесі: E) Q=
Контурдың анық тамасы: E) Тармақ тар мен тү йіндерден қ ұ ралғ ан тұ йық талғ ан жол
Контурдың сипаттама кедергісін есептегенде қ ай формула дұ рыс емес: B) .

Контурдың сипаттамалық (толқ ынды) кедергісінің ө рнегінің дұ рыс емесі: B)

Контурлық тоқ ә дісі: C) Кү рделі тізбектерді есептеуге ә мбебаб ә дісі

Контурлық тоқ тар ә дісі... болып табылады: C) Кү рделі тізбектерді есептеуге арналғ ан ә мбебаб ә діс.

Контурлық тоқ тар электр тізбектерінің нақ ты тоқ тары болып табыладыма: B) Жоқ.

Контурлық тоқ тың бағ ыты қ алай анық талады: E) Қ алай болса солай.

Кө птеген мемлекеттерде электр энергиялық қ ондырғ ылар ү шін синусоидал тоқ тың жиілігі 50 Гц деп алынғ ан. Жиіліктің азаюы: B) Тиімсіз, себебі қ ызу лампаларының жыпылық тауы кө рініп тұ рады.

Кө рсеткіштік тү ріндегі комплекстік ө ткізгіштік: A) .

Қ Қ Қ Қ Қ Қ Қ

Қ абылдағ ышқ а максимал қ уат берілу ү шін не қ ажет: C) Қ абылдағ ыштың кедергісін сымдар мен кө здік қ осынды кедергілерін тең естіру керек.

Қ ай тә уелділік графигі металлдарғ а сә йкес келеді: A) 1-график.

Қ азақ станда қ олданылатын ө ндірістік жиіліктің мә ні[a][+]50Гц

Қ андай қ ұ рылғ ы тө ртполюстікке жатпайды: B) Тү зеткіш диод.

Қ оректендіру кө зі бар тө ртполюстік қ алай аталады D) Актив.

Қ оректендіру кө зі жоқ тө ртполюстік қ алай аталады C) Пассив.

Қ оректену кө зімен қ абылдағ ыш арасына қ осылғ ан қ абылдағ ышқ а бір жиіліктегі тоқ ты ө ткізетін жә не басқ а жиіліктегі тоқ ты ө шіріп жіберетін тө ртполюстік: D) Жиілік электр сү згіші

Қ уат берілген кездегі сызық қ а қ андай кернеудегі энергияны берген тиімді: B) Жоғ арылатылғ ан кернеу.

Қ уат коэффицентін жақ сартуғ а болады, егер: B) Электротехникалық қ ұ ралдарды басқ а реактивті тоғ ы аз электротехникалық қ ұ ралдарғ а ауыстырғ анда.

Қ уат коэффициенті – бұ л: A) .

Қ уат коэффициентін табу керек.C) 0.682

Қ ысқ а тұ йық талғ ан тоқ кү шін анық тың ыз, егер 2 Ом кедергіне ЭҚ К 1, 1 В кө зіне қ осқ анда ө тетін тоқ тың шамасы 0, 5 А тең болса: A) 5, 5 А.

ММММММ

Магнит ағ ынының катушканың барлық орамдарымен ілісуі: B)
Металдағ ы электр тоғ ы дегеніміз не: C) Бейтарап бө лшектердің бағ ытталғ ан қ озғ алысы.

Металдан жасалғ ан ө ткізгіштің кедергісінің ө суіне қ андай қ ұ былыс жауапты: D) Кристалдық тордағ ы иондар тербелістерінің амплитудасының ө суі.

Мерзімді ә уендіксіз тоқ тізбегін есептеу ү шін қ олданылатын тиімді ә діс: D) Беттестіру қ ағ идатын қ олданып, ә р гармоникағ а бө лек, тізбектің кез келген ә дісімен есеп жү ргізіледі

Меншікті электр кедергісінің ө лшем бірлігі: A) Ом.м

Мінсіз (идеалды) ЭҚ К қ орек кө зінің ішкі кедергісі: E) нө лге тең
Мінсіз (идеалды) тоқ қ орек кө зінің ішкі кедергісі: A) Шексіз ү лкен

ООООО

Оралымдағ ы ө здік индукция ЭҚ К-і неден тә уелді: B) Бойымен тоқ ө тетін жиіліктен.

Оралымның барлық тармақ тарынан ө тетін магнит ағ ынының ағ ындық қ осылысы: B) .

Оралымның индуктивтілігі: D) .

Оралымның магнит ө рісінің энергиясы: B) .

Оралымның шық паларының арасындағ ы кернеудің қ андай мә ні дұ рыс емес? D) .

Ө Ө Ө Ө Ө

Ө ткізгіштік ө лшем бірлігі: E) Сименс
Ө ткізгіштіктің ұ зындығ ы мен диаметрін екі есе арттырғ анда, ө ткізгіштіктің ө ткізгіштігі қ алай ө згереді: A) Ө згермейді.

Ө ткізгіштің температурасы ө згерген болса, онң кедергісі қ андай заң дылық пен ө згереді: B) .

Ө шу коэффициентінің ө лшем бірлігі: B) Децибел
Ө шу коэффициентінің ө лшем бірліктері: C) Непер, Децибел

Ө шу коэффициентінің ө лшем бірлігі: B) Непер
ППППП

Параллель резонанс кезіндегі кернеу мен тоқ тың фазалар арасындағ ы ығ ысу бұ рышы: D) 0.

Параллель тізбектегі жалпы кедергінің кемуі немен жалғ асады: B) Тармақ талмағ ан тізбек бө лігіндегі тоқ пен қ уаттың артуымен.

Пассив қ осү йектің бір период ішіндегі активті қ уаты : A) .

Пассив қ осү йектің бір период ішіндегі активті, реактивті жә не толық қ уаты: B) .

Пассив қ осү йектің бір период ішіндегі реактивті қ уаты : B) .

Пассив қ осү йектің бір период ішіндегі толық қ уаты S: D) .

Пассив тө ртполюстіктің тең деуін неше тү рде жазуғ а болады: C) 6.

Пассив тө ртполюстіктің тең деуінің Z – формасы қ алай жазылады A) .

Пассивті екіполюстік кірмесіне тү рлі жиіліктегі ЭҚ К екі қ орек кө зін қ осқ анда мерзімді ә уендестіксіз тоқ тың пайда болуы: D) Пассивті екіполюстікке ә сер ететін кернеу мерзімді ә уендестіксіз

Период ішіндегі активті екіполюстіктің активті қ уаты Р: D)

Период ішіндегі пассивті екіполюстіктің реактивті қ уаты Q: E)
Период ішіндегі пассивті екіполюстіктің толық қ уаты S: A) UI

РРРРРР

Реактив индуктивті қ уат : C) .

Реактив сиымдылық ты қ уат : C) .

Реактивті қ уат коэффициенті – бұ л: B) .

Резистивті элемент тізбегі ү шін Ом заң ы: A) .

Резистивті элементтегі лездік қ уат-синусоидалық шама болып табылады, жиілігі неге тең E) Тоқ жиілігінен екі есе ү лкен.

Резистивтік, сыйымдылық жә не индуктивтік элементтердің параллель жалғ анғ ан тізбектің комплекстік ө ткізгіштігі: A) .

Резистор, сиымдылық жә не индуктивтілік параллель жалғ анғ ан тізбектің толық ө ткізгіштігі: E) .

Резисторларды параллель жалғ ағ ан кезде бө ліктің жалпы кедергісі неге тең: B) Резисторлар кедергісінің кері шамаларының қ осындысына.

Резисторларды тізбектей жалғ ағ ан кезде бө ліктің жалпы кедергісі неге тең: A) Резисторлар кедергісінің қ осындысына.

Резисторларды тізбектеп қ осқ андағ ы жалпы кедергісі: C) =

Резонанс кезіндегі параллель тербелмелі контурда: C) Кө зден қ оректенетін тоқ минималды, ал С жә не L арқ ылы ө тетін тоқ тар шексіздікке дейін ө се алады.

Реостаттың сымдарын неліктен мыстан жасауғ а болмайды: A) Оның кедергісі ө те тө мен.

Резонанстық бұ рыштық жиіліктің ө рнегі: E) =

ССССС

СИ жү йесіндегі магнит ағ ынының негізгі бірлігі: C) Вебер.

СИ жү йесіндегі электр сыйымдылық тың ө лшем бірлігі: E) Фарад.

Симметриялы ү ш фазалық жү йеде: D) , , .

Синусоидал тоқ тың ә сер етуші мә ні: A) .

Синусоидал тоқ тың орташа мә ні: B) тең болатын жартыпериодта анық талады.

Синусоидал тоқ тың орташа мә ні: D) .

Синусоидалды тоқ тізбегіндегі индуктивті катушкадағ ы тоқ пен кернеу арасындағ ы фазалық ығ ысу бұ рышы: E) Кернеу тоқ тан 90 озады
Синусоидалды тоқ тізбегіндегі конденсатордағ ы тоқ пен кернеу арасындағ ы фазалық ығ ысу бұ рышы: A) Кернеу тоқ тан 90 қ алады

Синусоидалды тоқ тізбегіндегі резистордағ ы тоқ пен кернеу арасындағ ы фазалық ығ ысу бұ рышы: D) Ығ ысу бұ рышы нө лге тең

Синусоидалды тоқ тың ә серлік мә ні: E) .

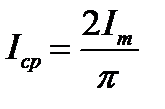
Синусоидалды тоқ тың орташа мә нінің ө рнегі: C) 2Im/

Синусоидалы тоқ тізбегін есептегенде тоқ пен кернеуді кө рсетудің ың ғ айлы тү рі: D) Комплексті (кешенді) сандар

Синусоидалы тоқ тізбегін есептегенде тоқ пен кернеудің қ ай тү рін қ олданғ ан тиімді: D) Комплекстік сандар.

Синусоидалы тоқ тізбегінде қ осылғ ан индуктивті элементтің жилігінің артуынан кедергі: C) Ө седі.

Синусоидалы тоқ тізбегінде қ осылғ ан резистивті элементтің тоқ жә не кернеу шамаларының комплексті векторлар: A) Фаза бойынша сә йкес келеді.

Синусоидалы тоқ тізбегіндегі актив кедергі: C) Фазадағ ы тоқ ты ө згертпейді.

Синусоидалы тоқ тізбегіне қ осылғ ан индуктивті элементтегі кернеу: C) Тоқ тан 900-қ а озады.

Синусоидалы тоқ тізбегіне қ осылғ ан сыйымдылық элементінің кернеуі: A) Тоқ тан 900 қ алады.

Синусоидалы тоқ, триганометрия функциясы тү рінде жазылғ ан. Оғ ан сә йкес келетін тоқ тың комплекстік мә ні : C) .

Синусоидалы тоқ тың тармақ талмағ ан тізбегіндегі комплекстік кедергі: A) .

Синусоидалы тоқ тың тармақ талмағ ан тізбегіндегі комплекстік ө ткізгіштігі: E) .

Синусоидалы тоқ тың тұ рақ ты тоқ пен салыстырғ андағ ы негізгі ерекшелігі: A)Трансформациялау мү мкіндігі.

Cинусоидалды шаманың орташа мә ні кезең інің жартысын есептеу себебі: A) Синусоидалды функция кезең індегі орташа мә н уақ ыттың осіне байланысты симметриялы нө лге тең, ал кезең нің жартысында функция белгісін (таң басын) ө згертпейді

Сиымдылық элементі ү шін бір период ішіндегі қ уаттың орташа мә ні : D) 0.

Сиымдылық элементіндегі лездік қ уат- синусоидалық шама, оның жиілігі неге тең: C) Тоқ жиілігінен екі есе ү лкен.

Сиымдылық ты ө ткізгіштік анық талады: E) .

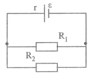
Суретте кө рсетілген тізбектің параметрлерінің мә ндері тө мендегідей: R1=8 Ом, =6 Ом, R2=12 Ом, =5 Ом. Параллель тізбектің эквивалентті (баламалы) кедергісінің мә ні: D) 6.364+j1.282 Ом

Суретте кө рсетілген тізбектің параметрлерінің мә ндері тө мендегідей: R1= 8 Ом, = 6 Ом, R2= 12 Ом, = 5 Ом. Параллель тізбектің эквивалентті (баламалы) кедергісінің мә нін кө рсеткіш функциялар тү рінде анық таң ыз: B) 6.5

Суретте кө рсетілген элементтердің параметрлерінің мә ндері тө мендегідей: L1 = 10 мГн, L2 = 20 мГн, C1 = 4 мкФ, C2 =1мкФ. Резонанстық бұ рыштық жиіліктердің мә ндерін табу керек: A) 5000 , 7000 , 6455

Сү згі арқ ылы ә лсіреп ө тетін жиілік диапазоны - бұ л: C) Ө шу жолағ ы.

Сү згі арқ ылы ө шпей ө тетін жиілік диапазоны - бұ л: D) Ө ткізу жолағ ы.

Сү згі арқ ылы ө шпей ө тетін жиілік диапазоны - бұ л: D) Ө ткізу жолағ ы.

Сызық ты резисторлардан тұ ратын тізбе кке есептеу ү шін қ андай ә діс тиімді: E) (A-C) кез келгені.

Сызық тық сыйымдылық элементіндегі тоқ: E)

Сыйымдылық элементтің комплекстік кедергісі: A) .

Сыиымдылық тың ө лшем бірлігі: E) Ф.

ТТТТТТ

Тармақ талмағ ан тізбек бө лігі ү шін Ом заң ы: B) .

Тармақ талмағ ан тізбектің толық кедергісі: A) .

Тоқ жә не кернеу резонанстарынан электроэнергетикалық қ ондырғ ылар ү шін не қ ауіпті? B) Кернеудің резонансы ең қ ауіпті.

Тоқ кү шінің ө лшем бірлігі: A) Ампер.

Тоқ резонансы... мү мкін болады: B) Паралель тербелмелі контурда.

Тоқ резонансы: D) Параллель жалғ анғ ан тербемелі контурда кірме реактивті ө ткізгіштігі нө лге тең немесе кернеу мен тоқ тың фазаларының айырымы нө лге тең

Тоқ сызық ты сыйымдылық элементінде қ алай анық талады: B) .

Тоқ тар резонансы іске асқ анда тоқ кө зінен тұ тынатын тоқ қ андай мә нге дейін ө седі: B) Минимум мә нге дейін.

Тоқ тар резонансы іске асырылғ анда идеал контурдың (R=0) толық ө ткізгіштігі неге тең: A) 0.

Тоқ тың ө згеру заң дылығ ы i=28.2 sin(628t+45 ) A. Оның f жиілігінің мә ні: E) 100 Гц
Тоқ тың ө згеру заң дылығ ы i=28.2 sin(628t+45 ) A. Оның I ә серлік мә ні: A) 20 А

Тоқ тың ө згеру заң дылығ ы i=28.2 sin(628t+45 ) A. Оның T периодының мә нін анық тау: B) 10 мс
Тоқ тың ө лшем бірлігі: D) Ампер

Толық қ уатты табу керек.B) 140.94 BA

 

Толық тізбек ү шін жазылғ ан Ом заң ы: C) .

Тө мендегі кө рсетілген сұ лбадағ ы тізбектің кернеуін анық тау керек, егер E1=6 B, E2=1.5 B, R1=2 Ом, R2=5 Ом, R3=20 Ом: B) 4.4 B

 

Тө мендегі кө рсетілген сұ лбадағ ы тізбектің I3 тармағ ындағ ы тоқ ты табу керек, егер E1=6 B, E2=1.5 B, R1=2 Ом, R2=5 Ом, R3=20 Ом: E)0, 22 А
Тө ртполюстік – бұ л, конфигурациясы еркін қ ұ растырылғ ан сұ лбаның... бір бө лігі: A) Екі пар қ ысқ ышы.

Тө ртполюстік емес қ ұ рылғ ы: B) Тү зеткіш диод
Тө ртполюстіктердің сү згіш қ асиеттері қ андай қ ұ былыстарғ а сү йенеді: C) Резонанстық қ ұ былыстармен.

Трансформатордың жұ мыс істеу принципі неге негізделген: C) Электромагниттік индукция заң ына.

Тригонометриялық қ атардың тұ рақ ты қ ұ рамы: B) k = 0

Тригонометриялық қ атардағ ы негізгі гармоника: A) k = 1

Тұ рақ ты тоқ тізбектері ү шін Кирхгофтың бірінші заң ы: C) Тізбектің кез келген тү йініндегі тоқ тардың алгебралық қ осындысы нө лге тең

Тұ рақ ты тоқ тізбектері ү шін Кирхгофтың екінші заң ы: B) Кү рделі электр тізбектегі кез келген тұ йық талғ ан контурда, контур кедергісіндегі барлық кернеулердің алгебралық қ осындысы, осы контурдағ ы қ орек кө зі ЭҚ К-нің алгебралық қ осындысына тең
Тұ рақ ты тоқ тізбек бө лігі ү шін Ом заң ы: D) I=U/R

Тү йінді кернеу ә дісін қ олдану шарты: E) Кү рделі тізбектің екі тү йіні болса
Тө ртполюстіктің сү згіштік қ асиеті: A) Резонанстың режимдеріне – тоқ пен кернеудің резонанстарына байланысты

Тү йіндік кернеу ә дісін қ ай жағ дайда қ олдануғ а болады: E) Кү рделі тізбек екі тү йіннен тұ рғ анда.

Тү йіннің анық тамасы: D) Электр тізбектегі тармақ тардың қ осылғ ан жері (ү штен кем емес)

Тізбек ішкі кедергісі r =1, 5 Ом тең, ал ЭҚ К= 4, 5 В тең жә не мына R1=4, 5 Ом 6 R2=3 Ом. кедергілерден тұ рады. R2 кедергідегі кернеуді анық таң ыз: A) 1, 5В.

Тізбек ішкі кедергісі r=0, 3 Ом тең, ал ЭҚ К= 7, 5 В тең жә не параллель қ осылғ ан екі =3 Ом и =2 Ом тұ рады. Екінші кедергідегі тоқ кү шін анық таң ыз: B) ЗА.

Тізбектегі айнымалы тоқ тың жиілігі f=50Гц. Тізбекке қ осылғ ан катушканың кедергісін табың ыз, егер оның индуктивтілігі L=100мГн: E) 31, 4 Ом.

Тізбектегі айнымалы тоқ тың жиілігі f=50Гц. Тізбекке қ осылғ ан катушканың индуктивтілік кедергісі 62, 8 Ом. Катушканың индуктивтілігі неге тең: A) 200 мГн.

Тізбектегі синусоидалды тоқ тың жиілігі 50 Гц. Тізбекке қ осылғ ан индуктивті катушканың кедергісін анық тау керек, егер L = 200 мГн: A) 62.8 Ом

Тізбектегі синусоидалды тоқ тың жиілігі 50 Гц. Тізбекке қ осылғ ан индуктивті катушканың кедергісін 31.4 Ом. Катушканың индуктивтілігінанық тау керек: B) 100 мГн
Тізбекке тізбектей L = 10 мГн, C = мкФ, R = 5 Ом элементтеі қ осылғ ан. Контурдың сапалылығ ы қ андай: C) 20

Тізбектегі тоқ 0.1А, кернеу 100В, жұ мсалатын қ уат 9 Вт. неге тең: C) 0, 1.

Тізбектегі тоқ 0.1А, кернеу 100В, жұ мсалатын қ уат 9 Вт. Тізбектің қ уат коэффициенті неге тең: B) 0, 9.

Тізбектей резонанс кезіндегі кернеу мен тоқ тың фазалар арасындағ ы ығ ысу бұ рышы: D) 0.

Тізбектелген тербелмелі контурдағ ы салыстырмалы жиілік: E) Ағ ымдағ ы жиіліктің резонанстық жиілікке қ атынасы
Тербемелі контурдың контур сапалылығ ына кері шама: A) Ө шуі

Тізбекті есептегенде нені қ олданамыз: C) Ауыстыру схемасын.

Тізбектің бө лігіндегі кернеуді анық таң ыз. Егер жалпы U=120 B, =2 A, =20 Ом: A) 40 В.

Тізбектің бө лігіндегі кернеуді анық таң ыз. Егер жалпы кернеу U=60B, =2A, = =5 Ом: B) 40 В.

Тізбектің “c”-“d” бө лігіндегі кернеуді анық таң ыз. Егер B, =4 A, =5 Ом: E) 10 В.

Тізбектің “c”-“d” бө лігіндегі кернеуді анық таң ыз. Егер B, =2 A, =4 Ом: C) 12 В.

Тізбектің актив, реактив жә не толық қ уаттары немен ө лшенеді: B) Сә йкесінше Ваттпен, Вармен жә не Вольт-ампермен.

Тізбектің бө лігі ү шін жалпы кернеуді анық таң ыз. Егер B, = 2A, =5 Ом: C) 30 В.

Тізбектің бө лігі ү шін жалпы кернеуді анық таң ыз. Егер B, =4A, =4Ом: A) 26 В.

Тізбектің бө лігі ү шін жалпы кернеуді анық таң ыз. Егер B, =5A, =7 Ом: B) 53 В.

Тізбектің жалпы кедергісін анық таң ыз Ом, Ом: A) 4, 91Ом

Тізбектің жалпы кедергісін анық таң ыз Ом, Ом: A) 6, 75 Ом.

Тізбектің жалпы кедергісін анық таң ыз Ом, Ом: B) 1, 52 Ом.

Тізбектің жалпы кедергісін анық таң ыз Ом, Ом: C) 18, 875 Ом.

Тізбектің жалпы кедергісін анық таң ыз Ом, Ом: D) 9 Ом.

Тізбектің жалпы кедергісін анық таң ыз Ом, Ом: E) 7, 7 Ом.

Тізбектің жалпы кедергісін анық таң ыз Ом, Ом: A) 3, 21 Ом.

Тізбектің жұ мыс тә ртібіне ә сер етпеу ү шін амперметрдің кедергісі қ андай болуы керек: E) .

Тізбектің кедергісі қ алай ө згереді, егер кернеу екі есе кеміген, ал тоқ екі есе ө скен болса: B) Ө згермейді.

Тізбектің кедергісі неге тең: D) 8 Ом.

Тізбектің кірмесіндегі кернеу мен тоқ тың лездік мә ні

Тізбектің ө зара параллель жалғ анғ ан тоқ қ абылдағ ыштары арқ ылы ө тетін тоқ тар i =0.5sin( π /2) A, i =1.2sin( π /3) A заң дылық тарымен ө згереді. Тізбектің тармақ талмағ ан бө лігіндегі тоқ тың амплитудасын, бастапқ ы фазасын анық таң ыз: B) 1.65 A, 38π /100 рад.
комплекс тү рінде берілген тоқ кү шінің ә серлік мә нін, бастапқ ы фазасын анық таң ыз: C) 5 A, 216 5

Тізбектің ү лкен индуктивті қ ұ раушысы бар қ уат коэффициентін жоғ арылату ү шін не істеу қ ажет? C) Конденсатордың батареясы мен индуктивтілігін параллель жалғ ау.

Ұ Ұ Ұ Ұ Ұ Ұ

Ұ зындық тары бірдей бір материалдан жасалғ ан, бірақ диаметрлері ә ртү рлі екі сымдардың қ айсысы бірдей кернеу берген кезде қ атты қ ызады: C) Кіші диаметрлі.

Ү Ү Ү Ү Ү Ү

Ү ш бұ рыш схемасын алмастырғ ан кездегі эквивалент жұ лдызшаның кедергісін анық тау ү шін қ ай ө рнек қ олданылады: B) .

Ү ш фазалы жү йеде «ү шбұ рышты» сұ лба бойынша орындалғ ан бейтарап сым: B) Болмайды.

Ү ш фазалы симметриялық жү йеде: C) .

ФФФФФ

Фазалық кө бейткіш арқ ылы кө рсетілген симметриялық генератордың ү шфазалы ЭҚ К-інің комплексті мә ндері келесі тү рде болады: C) .

Фазалық магистральдық сымдарда сақ тандырғ ыш қ ай уақ ытта орнатылады: A) Генератор жү ктемемен барлық тү рде жалғ анғ анда.

ШШШШШ

Шамасы =80 Ом кедергіден ө тетін тоқ ты анық таң ыз, егер =120 Ом кедергіден ө тетін тоқ тың шамасы 6 А болса: C) 9А.

ІІІІІІІ

Ішкі кедергісі тең ЭҚ К кедергісі жү ктемеге жалғ анғ ан, егер жү ктеменің кедергісі азайғ ан болса жү ктемедегі кернеу қ алай ө згереді: B) Кемиді.

ЭЭЭЭЭ

ЭҚ К 15 В тең коректендіру кө зіне шамасы R=4 Ом кедергі жалғ анғ ан, сонда амперметр 3 А. тоқ қ ө рсетеді. Кедергіде қ андай қ уат бө лінеді, егер оғ ан параллель тағ ы да сондай кедергі жалғ асақ: D) 50 Вт.

ЭҚ К 6 В тең коректендіру кө зіне шамасы R=4 Ом кедергі жалғ анғ ан, сонда амперметр 1 А. тоқ қ ө рсетеді. Тоқ кіші қ алай ө згереді, егер кедергінің шамасы 2 Ом болатын болса: B) 1, 5 А.

ЭҚ К –не қ осылғ ан жазық конденсатордың энергиясы қ алай ө згереді, егер ол конденсатордың пластиналар аралығ ын 2 есе ү лкейтетін болсақ: B) 2 есе кемиді.

ЭҚ К пен жү ктемеден тұ ратын тізбекте тоқ ү ш есе кеміді. Жү ктемедегі қ уат қ алай ө згереді: D) 9 есе кемиді.

ЭҚ К тізбегі ү шін Ом заң ы, егер а жә не с тү йіндерінің арасындағ ы кернеуі болса: A) I=( +E)/R немесе I=( -E)/R

Электр ө ріс кренеулігінің ө лшем бірлігі: E) Вольт/м.

Электр ө рісінің біртектілік шартын кө рсетің із: A) E=const.

Электр ө рісінің біртектілік шартын кө рсетің із: A) E=const.

Электр сыйымдылығ ы ө лшем бірлігі: B) Фарад
Индуктивтілік ө лшем бірлігі: C) Генри

Электр тоғ ы дегеніміз не: C) Электр ө рісінің ә серіннен, электр зарядтарының қ озғ алысы реттеледі.

Электр тоғ ының басқ а ө ткізгішке ә сері: C) Магниттік.

Электр тізбегі сызық ты деп аталады, егер оның элементтерінің параметрі: A) Кернеулер мен тоқ тарғ а тә уелді болмаса.

Электр тізбегінде R, L, C элементтері тізбектей жалғ анғ ан, оның мә ндері R = 20 Ом, L = 0.1 Гн, C = 5 мкФ болса, онда резонанс кезінде индуктивтік орамадағ ы кернеу тізбекке тү сірілген кернеуден қ анша есе ү лкен болатындығ ын анық таң ыз: B) 7 есе

Электр тізбегінде R, L, C элементтері тізбектей жалғ анғ ан, оның мә ндері R = 20 Ом, L = 0.1 Гн, C = 5 мкФ болса, онда резонанс болу ү шін оғ ан тү сірілген кернеудің жиілігін анық таң ыз: A) 225 Гц

Электр энергиялық қ ондырғ ылар ү шін синусоидал тоқ жиілігі 50 Гц артық болуы неліктен қ ажетсіз: D) ЭҚ К артуы нә тижесінде энергияның сымдарғ а берілу тә ртібі бұ зылатындық тан.

Электрлік қ ондырғ ыда мынау кө рсетілген: «220В, 6А». Бұ л: C) Тоқ пен кернеудің ә серлік мә ні.

Электронның заряды нешеге тең: D) -e.

Элементтері тізбектеліп жалғ анғ ан контур арқ ылы максимал тоқ қ андай жағ дайда ағ ып ө теді: D) .

Энергетикалық тең герім тең деуі: A) =

Энергия кө зін жә не қ абылдағ ышты «жұ лдызша» сұ лбасымен қ осқ анда жә не тең болса, онда: C) .

Энергия кө зі бар тө ртполюстік: C) Активті

Энергия кө зін жә не қ абылдағ ышты «жұ лдызша» сұ лбасымен қ осқ ан кезде: D).

Энергия тарататын линияда шығ ынды азайту ү шін не істеу керек: A) Энергияны жоғ ары кернеуде тарату керек.


Поделиться с друзьями:

mylektsii.su - Мои Лекции - 2015-2026 год. (2.828 сек.)Все материалы представленные на сайте исключительно с целью ознакомления читателями и не преследуют коммерческих целей или нарушение авторских прав Пожаловаться на материал