Студопедия

Главная страница Случайная страница

КАТЕГОРИИ:

АвтомобилиАстрономияБиологияГеографияДом и садДругие языкиДругоеИнформатикаИсторияКультураЛитератураЛогикаМатематикаМедицинаМеталлургияМеханикаОбразованиеОхрана трудаПедагогикаПолитикаПравоПсихологияРелигияРиторикаСоциологияСпортСтроительствоТехнологияТуризмФизикаФилософияФинансыХимияЧерчениеЭкологияЭкономикаЭлектроника






Задача 2.2.13.






Исходные данные:

Полевой транзистор с управляющим р-n переходом и каналом n-типа используется в цепи усилительного каскада, изображенного на рис. 2.13.

Напряжение отсечки UОТС = 2 В.

Ток стока максимальный IСmax = 5 мА.

Ток стока в рабочей точке IС = 2 мА.

Коэффициент усиления | КU | = 8.

Напряжение Eс = 20 В.

Определить: напряжение смещения затвор-исток UЗИ, крутизну транзистора в рабочей точке S, сопротивление резистора в цепи истока R1, сопротивление нагрузки в цепи стока R2, напряжение сток-исток UСИ.


Рис. 2.13

 

Решение:

Для решения задачи необходимо использовать основные соотношения для полевого транзистора с встроенным затвором:

,

,

.

1) Определим напряжение смещения затвор-исток UЗИ:

В

2) Рассчитаем максимальную крутизну:

А/В = 5 мА/В

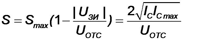
Найдем крутизну транзистора в рабочей точке S:

А/В =
= 3, 16 мА/В.

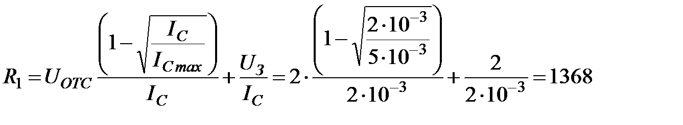
3) Сопротивление резистора в цепи истока R1:

Ом

4) Сопротивление нагрузки в цепи стока R2:

Ом = 2, 53 кОм

5) Напряжение сток-исток UСИ:

В

Ответ: UЗИ = 0, 735 В, S = 3, 16 мА/В, R1 = 1368 Ом, R2 = 2530 Ом,
UСИ = 12, 2 В.


Поделиться с друзьями:

mylektsii.su - Мои Лекции - 2015-2026 год. (0.889 сек.)Все материалы представленные на сайте исключительно с целью ознакомления читателями и не преследуют коммерческих целей или нарушение авторских прав Пожаловаться на материал