Студопедия

Главная страница Случайная страница

КАТЕГОРИИ:

АвтомобилиАстрономияБиологияГеографияДом и садДругие языкиДругоеИнформатикаИсторияКультураЛитератураЛогикаМатематикаМедицинаМеталлургияМеханикаОбразованиеОхрана трудаПедагогикаПолитикаПравоПсихологияРелигияРиторикаСоциологияСпортСтроительствоТехнологияТуризмФизикаФилософияФинансыХимияЧерчениеЭкологияЭкономикаЭлектроника






Краткое описание заданной системы с принципиальной схемой. 1. Краткое описание заданной системы с принципиальной схемой 3






Содержание

1. Краткое описание заданной системы с принципиальной схемой…...3

2. Структурный и функциональный анализ системы…………………...6

3. Расчет показателей безотказности системы и ее элементов…………7

4. Анализ эксплуатационной технологичности………………………..11

5. Рекомендации по конструктивному усовершенствованию заданной системы………………………………………………………………...13

6. Выводы…………………………………………………………………14

7. Список использованной литературы…………………………………15

 

 

Краткое описание заданной системы с принципиальной схемой

Топливная система самолета служит для питания топливом основных двигателей и вспомогательной силовой установки (ВСУ).

Топливная система включает в себя следующие системы:

- питания основных двигателей;

- перекачки в расходный бак;

- управления и измерения топлива (СУИТ4-1Т);

- измерения температуры топлива в баках № 3;

- измерения расхода топлива (СИРТ-2Т);

- дренажа топливных баков;

- питания ВСУ;

- заправки самолета топливом;

- слива топлива.

Топливо размещается в шести топливных баках:

- баки № 2 (левый и правый) - в центроплане крыла, между нервюрами 3…14;

- баки № 3 (левый и правый) - в отъемной части крыла, между нервюрами 14…45;

- бак № 1 находится в подфюзеляжной части центроплана, между бортовыми нервюрами № 3, средним и задним лонжеронами центроплана;

- бак № 4 (дополнительный) расположен перед баком № 1, т.е. между нервюрами № 3, передним и средним лонжеронами центроплана.

Баки герметизированы герметиками У3О-МЭС и УТ-32, являются самостоятельными отсеками крыла, соединены с расходным баком № 1 трубопроводами перекачки топлива.

Для контроля температуры топлива, имеющего ограничения по температуре, в баках № 3 установлены два индикатора температуры (с № 517), а на рабочем месте бортинженера - сигнализатор.

В топливо добавляются противокристаллизационные жидкости (ПВЖК): И, ТГФ, ТГФ-М, И-М в количестве 0, 3 % (И, ТГФ) или 0, 15 % (И-М, ТГФ-М). При наличии на самолете системы подачи противокристаллизационной жидкости непосредственно в топливо она не добавляется: по сигналу увеличенного перепада давления на фильтрах (DP ³ 0, 5 кг/см2, " Фильтр засорен", загорается табло) бортинженер включает переключатель " Жидкость " И" циклично" в положение " Вкл.". После включения тумблера и подачи ПВЖК в топливо табло продолжает гореть в течение примерно 60 с.

Максимальное количество топлива, заправляемого в самолет: 49687 л (или 39750 кг при плотности 0, 8 кг/смз); без бака № 4 - 41437 кг (или 33150 кг).

Бак № 1 является расходным, из которого топливо подается на питание всех двигателей; в течение всего полета он должен быть заполнен топливом не менее чем на 95% своего объема. Из баков № 2, 3, 4 топливо перекачивается в расходный бак № 1 по заданной программе.

 

 

 

 

Рис.1. Схема топливной систем самолета:

1, 2 – трубопроводы верхнего перелива из баков 4 и 1 в бак 2; 3 – краны резервной перекачки; 4 – перекрывные (противопожарные) краны; 5 – краны слива; 6 – штуцер консервации двигателя.

 

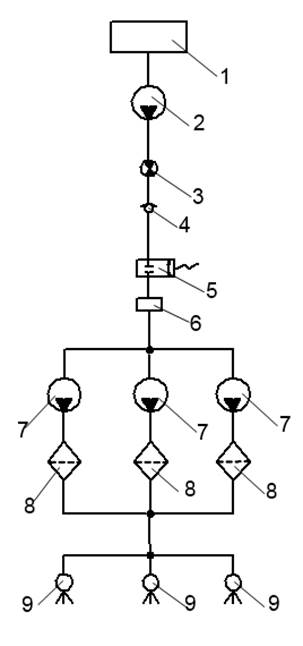
Рис.2. Принципиальная схема топливной системы самолета:

1 - расходный бак; 2 - подкачивающий насос ЭЦН-325; 3 - датчик (сигнализатор) давления; 4 - обратный клапан; 5 - перекрывной (противопожарный) кран; 6 - датчик расходомера ДРТМС-20АТ; 7 - подкачивающий насос двигателя ДЦН 44ТВ-Т; 8 - топливный фильтр двигателя; 9 - форсунка.

 

 


Поделиться с друзьями:

mylektsii.su - Мои Лекции - 2015-2026 год. (0.854 сек.)Все материалы представленные на сайте исключительно с целью ознакомления читателями и не преследуют коммерческих целей или нарушение авторских прав Пожаловаться на материал