Студопедия

Главная страница Случайная страница

КАТЕГОРИИ:

АвтомобилиАстрономияБиологияГеографияДом и садДругие языкиДругоеИнформатикаИсторияКультураЛитератураЛогикаМатематикаМедицинаМеталлургияМеханикаОбразованиеОхрана трудаПедагогикаПолитикаПравоПсихологияРелигияРиторикаСоциологияСпортСтроительствоТехнологияТуризмФизикаФилософияФинансыХимияЧерчениеЭкологияЭкономикаЭлектроника






Пример краевой задачи для уравнения Гельмгольца в двумерном случае.






Рассмотрим основные краевые задачи для уравнения Гельмгольца в двумерном случае. Начнем с задачи Дирихле (рис.3).

 

где - фактически функция одной переменной, т.к. на и связаны между собой.

- ограниченная область, - кусочно-гладкая кривая – граница области, - входные данные.

1) Дискретизация области.

Будем строить двумерную сетку. Проводим систему прямых, параллельных и на одинаковом расстоянии друг от друга.

Точки пересечения этих линий – узлы сетки. Каждому узлу ставятся в соответствие координаты , т.е. ему соответствуют индексы . Некоторые узлы оказались внутри области, некоторые – вне области, некоторые на границе. Обозначим .

Построим дискретную область (рис.4). Для каждого узла определим соседей . Такое определение соседей связано с уравнением. Узел считается принадлежащим дискретной области , если сам он и все его соседи . Отметим узлы, принадлежащие синим цветом. Построим . , если сам узел , то хотя бы один из его соседей (эти узлы красного цвета).

Возьмем для примера в виде прямоугольника (рис.5).

 

Здесь .

2) Дискретизация задачи.

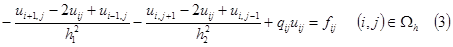
В каждом узле области заменяем производные, входящие в (1), разностными отношениями по формулам числового дифференцирования. Обозначим , тогда после замены:

 

 

Такая аппроксимация содержит 5 точек. Теперь понятно, почему определялась именно так. В (3) столько уравнений, сколько точек в . В случае прямоугольника можно более конкретно записать: .

Все остальные этапы метода конечных разностей аналогичны одномерной задаче.

 


Поделиться с друзьями:

mylektsii.su - Мои Лекции - 2015-2026 год. (1.693 сек.)Все материалы представленные на сайте исключительно с целью ознакомления читателями и не преследуют коммерческих целей или нарушение авторских прав Пожаловаться на материал