Студопедия

Главная страница Случайная страница

КАТЕГОРИИ:

АвтомобилиАстрономияБиологияГеографияДом и садДругие языкиДругоеИнформатикаИсторияКультураЛитератураЛогикаМатематикаМедицинаМеталлургияМеханикаОбразованиеОхрана трудаПедагогикаПолитикаПравоПсихологияРелигияРиторикаСоциологияСпортСтроительствоТехнологияТуризмФизикаФилософияФинансыХимияЧерчениеЭкологияЭкономикаЭлектроника






Технико-эксплуатационная характеристика РЦС






 

Основными задачами регионального центра являются:

а) Обеспечение услугами технологической связи всех структурных подразделений ОАО " РЖД", находящихся в границах обслуживания Дирекции, а также при необходимости всех структурных подразделений ОАО " РЖД", для организации перевозочного процесса, управления структурными подразделениями ОАО " РЖД", финансовыми ресурсами и персоналом, с приоритетом обеспечения безопасности движения поездов.

б) Оказание возмездных услуг связи в рамках выданных ОАО " РЖД" уполномоченным органом государственной власти РФ и внутренними документами ОАО " РЖД" и филиала.

в) Осуществление иных видов деятельности, предусмотренных законодательными и другими нормативными актами РФ.

Региональный центр связи выполняет следующие функции:

а) Разработка и проведение мероприятий по обеспечению безопасности движения поездов.

б) Рациональное использование основных производственных фондов и оборотных средств, экономия эксплуатационных расходов и материально-технических ресурсов, внедрение мероприятий по повышению производительности труда.

в) Организация бесперебойной работы средств связи и содержание в исправном состоянии сооружений, устройств и аппаратуры связи, разработка и осуществление мероприятий по предупреждению крушений, аварий и случаев брака в работе.

г) Развитие материально-технической базы и социальной сферы, модернизация и реконструкция технических средств связи.

д) Предоставлению в дирекцию предложений по обновлению, модернизации и капитальному ремонту устройств связи.

е) Обеспечение мобилизационной готовности систем связи, находящихся в ведении Регионального центра связи, для работы в чрезвычайных ситуациях.

ж) Разработка мер по защите инфраструктуры и объектов связи от террористических актов и актов вандализма.

з) Организация изучения научно-технической информации, распространения и внедрения передового опыта коллективов и новаторов производства, осуществление методического руководства избирательской и рационализаторской деятельностью.

и) Обеспечение единой технической политики, обеспечивающей решение задач по приоритетным направлениям развития средств связи.

к) Взаимодействие с операторами связи по вопросам предоставления возмездных услуг связи. Проведение маркетинговых исследований, производство расчетов стоимости услуг связи.

 

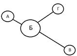
Рисунок 1 - Схема РЦС

 

В РЦС имеются четыре основные станции, между которыми находятся промежуточные. Станция Б - является распорядительной, а станции А, В, Г - являются исполнительными. Общая протяженность линии РЦС составляет 272 км.

Длинна участка А-Б составляет 69км. количество промежуточных станций на участке - 4. Длинна участка Б-В составляет 57 км. количество промежуточных станций на участке - 6. Длинна участка Б-Г составляет 146 км. количество промежуточных станций на участке - 9. На каждой основной станции оборудование делится на 3 группы:

Устройства проводной связи (ПС). Они включают в себя автоматическую телефонную станцию цифровую так и координатная (АТСЦ, АТСК), телефонные аппараты аналоговые и цифровые (ТА), Аппаратуру связи совещаний (АСС), коммутатор междугородних и местных телефонных станций (КТС), коммутатор оперативно-технологической связи (КОТС), промпункты оперативно-технологической связи (ППОТС), автоматизированное место телеграфиста (АРМТ), аппаратуру передачи данных (АПД) и телеграфные аппараты F-2000-эл.

Устройства радиосвязи (РС). Они включают в себя радиостанции локомотивные (РЛ), громкоговорители (ГР), устройства радиосвязи (РС), усилитель мощностью 600 Ватт (У-600).

Устройства пассажирской автоматики (ПА). Они включают в себя автоматические справочные установки (АСУ), билетопечатающие машины, автоматические камеры хранения, переговорные устройства " Пассажир - кассир" (ПУ), кабельные линии местной связи (КЛМС) и персональные ЭВМ (ПЭВМ).

Кроме того, на каждом участке предусмотрена АТСЦ-DX-500 - одна на 10 номеров. Так же на каждой промежуточной станции участка установлены телефонные аппараты аналоговые и цифровые, усилители стоваттные, громкоговорители, ПЭВМ, радиостанции стационарные, локомотивные, носимые, часы электронные, автоматические камеры хранения.

региональный центр связь производительность



Поделиться с друзьями:

mylektsii.su - Мои Лекции - 2015-2026 год. (0.363 сек.)Все материалы представленные на сайте исключительно с целью ознакомления читателями и не преследуют коммерческих целей или нарушение авторских прав Пожаловаться на материал