Студопедия

Главная страница Случайная страница

КАТЕГОРИИ:

АвтомобилиАстрономияБиологияГеографияДом и садДругие языкиДругоеИнформатикаИсторияКультураЛитератураЛогикаМатематикаМедицинаМеталлургияМеханикаОбразованиеОхрана трудаПедагогикаПолитикаПравоПсихологияРелигияРиторикаСоциологияСпортСтроительствоТехнологияТуризмФизикаФилософияФинансыХимияЧерчениеЭкологияЭкономикаЭлектроника






Решение. 1 этап. Условная оптимизация (k=6,5,4,3,2,1)






 

1 этап. Условная оптимизация (k=6, 5, 4, 3, 2, 1)

1 шаг ( k=6).

На этом шаге функция Беллмана имеет вид

 

и определяет доход за последний 6 год эксплуатации оборудования.

Первое выражение для сохранения оборудования, второе для его замены. Если значение первого выражения больше, то оборудование сохраняется, если больше второе, то оборудование заменяется. Если они равны, то решение принимает руководитель.

2 шаг ( k=5).

На этом шаге функция Беллмана с 5 по 6 год эксплуатации оборудования и имеет вид

 

 

F6(t+1) определяет доход, который принесла эксплуатация оборудования за один 6 год. Таким образом, общий доход за 5 год составит сумму дохода за один год при соответствующем возрасте оборудования и дохода за 6 год при возрасте оборудования на один год больше (если оборудование год эксплуатировалось, то в новый год эксплуатации, оно войдет с доход на год старше).

При замене оборудования добавиться F6(1), так как один шестой год оборудование эксплуатировалось.

На основании функция Беллмана будут получены значения дохода за пятый год эксплуатации с учетом доходов шестого года.

 

 

3 шаг ( k=4).

На этом шаге функция Беллмана имеет вид

 

 

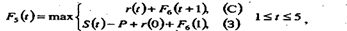
4 шаг ( k=3).

На этом шаге функция Беллмана имеет вид

5 шаг ( k=2).

На этом шаге функция Беллмана имеет вид

 

 

6 шаг ( k=1).

На этом шаге функция Беллмана имеет вид

 

 

Результаты вычислений значений функции Беллмана на каждом шаге условной оптимизации представлены в таблице.

 

k / t            
             
             
             
             
             
             

 

В таблице использованы обозначения

k – год эксплуатации;

t – возраст оборудования.

В таблице выделено значение функции, соответствующее замене оборудования.

 

2 этап. Безусловная оптимизация.

Безусловная оптимизация, которая начинается с последнего шага условной оптимизации.

Максимально возможный суммарный доход с первого по шестой год эксплуатации оборудования составляет F1(1) = 37 (С). Этот оптимальный выигрыш достигается, если на первом году не производить замену оборудования (6 шаг).

К началу второго года возраст оборудования увеличится на единицу.

 

t2 = t1 + 1 = 1 + 1 = 2

 

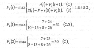
При эксплуатации оборудования со 2 по 6 год максимальный доход составляет F2(2) = 30 (С), если оборудование не заменяется (5 шаг).

К началу третьего года возраст оборудования станет равным

 

t3 = t2 + 1 = 2 + 1 = 3

 

При эксплуатации оборудования со 3 по 6 год максимальный доход составляет F3(3) = 23 (З) и для получения максимума дохода за эти оставшиеся годы оборудование надо заменить (4 шаг).

К началу четвертого года эксплуатации возраст оборудования после его замены t4 = 1 году максимальный доход при эксплуатации оборудования со 4 по 6 год составит F4(1) = 20 (С) и оборудование заменять не надо (3 шаг).

Далее соответственно

t5 = t4 + 1 = 1 + 1 = 2

t6 = t5 + 1 = 2 + 1 = 3

 

При значениях F5(2) = 13 (С) оборудование заменять не надо (2 шаг).

При F6(6) = 6 (С) также до окончания шестого года не надо производить замену оборудования (1 шаг).

Таким образом, за шесть лет эксплуатации замену оборудования надо произвести только один раз – в начале третьего года эксплуатации.

Если на каком-либо шаге условной оптимизации можно либо сохранить, либо заменить оборудование (С/З), то может быть принято любое решение и будет получен максимально возможный доход от эксплуатации оборудования.

 


Поделиться с друзьями:

mylektsii.su - Мои Лекции - 2015-2026 год. (1.702 сек.)Все материалы представленные на сайте исключительно с целью ознакомления читателями и не преследуют коммерческих целей или нарушение авторских прав Пожаловаться на материал