Студопедия

Главная страница Случайная страница

КАТЕГОРИИ:

АвтомобилиАстрономияБиологияГеографияДом и садДругие языкиДругоеИнформатикаИсторияКультураЛитератураЛогикаМатематикаМедицинаМеталлургияМеханикаОбразованиеОхрана трудаПедагогикаПолитикаПравоПсихологияРелигияРиторикаСоциологияСпортСтроительствоТехнологияТуризмФизикаФилософияФинансыХимияЧерчениеЭкологияЭкономикаЭлектроника






Источники формирования оборотных средств (см. вопрос 7). Показатели эффективности использования оборотных средств.






Таблица 4

 

Показатели эффективности использования оборотных средств

 

Показатели Методика расчета показателей
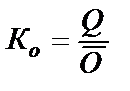
Скорость оборота оборотных средств (коэффициент оборачиваемости), Ко
Коэффициент закрепления оборотных средств, Кз
Длительность одного оборота оборотных средств в днях, в
Абсолютное высвобождение оборотных средств Разница между плановой потребностью на данный период и фактической суммой средних остатков нормируемых оборотных средств
Условное (относительное) высвобождение или относительная экономия нормируемых оборотных средств, Э
Сумма дополнительного выпуска продукции в рублях, полученная за счет ускорения оборачиваемости оборотных средств, Qдоп
Рентабельность текущих активов, RTA

 

 


Поделиться с друзьями:

mylektsii.su - Мои Лекции - 2015-2026 год. (1.343 сек.)Все материалы представленные на сайте исключительно с целью ознакомления читателями и не преследуют коммерческих целей или нарушение авторских прав Пожаловаться на материал