Студопедия

Главная страница Случайная страница

КАТЕГОРИИ:

АвтомобилиАстрономияБиологияГеографияДом и садДругие языкиДругоеИнформатикаИсторияКультураЛитератураЛогикаМатематикаМедицинаМеталлургияМеханикаОбразованиеОхрана трудаПедагогикаПолитикаПравоПсихологияРелигияРиторикаСоциологияСпортСтроительствоТехнологияТуризмФизикаФилософияФинансыХимияЧерчениеЭкологияЭкономикаЭлектроника






Характеристика важнейших свойств строительных материалов

 

№ п/п Наименование свойства или коэффициента   Определение   Формула   Размерность   Пояснения
           
  Истинная плотность   Масса единицы объема в абсолютно плотном состоянии г/см3, кг/м3 m – масса образца материала, г; Va - объем в абсолютно плотном состоянии (без пор), см3
  Средняя плотность   Масса единицы объема в естественном состоянии (вместе с порами) г/см3, кг/м3 Vе - объем в естественном состоянии (с порами), см3
  Относительная плотность   Отношение плотности материала к плотности воды безразмерная величина г/см3 - плотность воды
  Пористость   Степень заполнения объема материала порами     % П=Vп/Vе=(Vе-Vа)/Vе=1-Vа/Vе, где Vп – объем пор. Величина пор: от нескольких ангстрем (1 А= 10-10 м) до нескольких мм.
  Коэффициент плотности   Степень заполнения объема материала твердым веществом Кпл % или безразмерная величина П+К пл = 100 % (или 1)
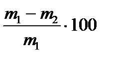
  Влажность Содержание влаги в материале в данный момент по отношению к массе сухого материала   Wm=|(m1-m2)/m2|.100%   %   m1 – масса материала в состоянии естественной влажности, г; m2 – масса материала, высушенного до постоянной массы, г
  Гигроскопично-сть   Способность капиллярно--пористого материала поглощать водяной пар из воздуха     Процесс носит обратимый характер. Высокая гигроскопичность у материалов с развитой внутренней поверхностью: древесина, теплоизоляционные, стеновые материалы
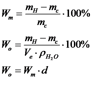
  Водопоглощение   Свойство материала поглощать и удерживать воду при непосредственном контакте с ней % Wm- водопоглощение по массе, %; mн - масса насыщенного водой материала, г; mс - масса сухого материала, г; Wо - водопоглощение по объему, %
  Коэффициент насыщения пор водой   Отношение водопоглощения по объему к пористости Кн Безразмерная величина Кн = 0...1; Кн = 0 – поры отсутствуют или все поры замкнутые; Кн = 1 - все поры открытые, сообщающиеся. Кн косвенно характеризует морозостойкость материала
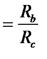
  Водостойкость   Способность материала сохранять прочность в водонасыщенном состоянии Кр безразмерная величина Кр - коэффициент размягчения; Rc и Rв- соответственно пределы прочности материала в сухом и водонасыщенном состоянии, МПа; Кр = 0...1. При Кр, равном 0, 8 и более материал считается водостойким
  Водопроницаемость Способность материала пропускать воду под давлением     Кф   м/с Кф - коэффициент фильтрации; Vb - объем воды, м3; t - время, с; S - площадь, м2; а - толщина слоя материала, м; (Р1 - Р2) - давление, м водного столба
11а Водонепрони-цаемость Способность материала не пропускать воду под давлением   W2,... W12 кгс/см2, атм W2, W4 и т.д. - марки материала по водонепроницаемости; 2,...12 - величина одностороннего гидростатического давления, которое выдерживает образец бетона  
  Паро- и газопроницаемость Способность материала пропускать через свою толщу водяной пар или газ (например, воздух)     Кп кг/(м.с.Па) Кг - коэффициент паропроницаемости; а - толщина слоя, м; V - объем пара, м3; r - плотность пара, кг/м3; t - время, с; S - площадь, м2; Dр– разность давлений, Па
  Морозостойкость Cвойство материала в насыщенном водой состоянии не разрушаться под действием многократного попеременного замораживания и оттаивания   F50, F100 и т.д.   циклы F50, F100 - марки материала по морозостойкости 1 цикл: 1 замораживание при минус 15...20оС + 1 оттаивание в воде комнатной температуры. Материал выдержал испытания, если потеря прочности R 5-25% (для разных материалов), m 5%.
  Теплопроводность Свойство материала передавать тепло через свою толщу от одной поверхности к другой Bт/(м.0С) Q - количества тепла, Дж; а - толщина слоя, м; t - время, с; S - площадь, м2; Dt - разность температур, 0С    
  Теплоемкость Свойство материала аккумулировать тепло при нагревании кДж/(кг. 0С) m - масса материала, кг
  Огнеупорность Способность материала выдерживать действие высоких температур (свыше 1580 0С)   0С Материалы, выдерживающие t> 1580 0С – огнеупорные, 1350-15800С – тугоплавкие, менее 13500С – легкоплавкие.
  Огнестойкость Свойство материала сопротивляться действию огня в условиях пожара в течение определенного времени     единицы времени По степени огнестойкости: - несгораемые, - трудносгораемые, - сгораемые
  Тепловое расширение Свойство материала деформироваться при изменении температуры: расширяться при нагревании, сжиматься при охлаждении Т ТКЛР, ТКОР     1/оС ТКЛР (ТКОР) – температурный коэффициент линейного (объемного) расширения
  Прочность Способность материала сопротивляться разрушению под действием внутренних напряжений, вызванных внешними воздействиями   R = , R изг= кН/см2, кгс/см2, МПа Rсж - предел прочности при сжатии; P - разрушающее усилие, кН; F - площадь поперечного сечения стандартного образца, см2; Rизг -предел прочности при изгибе; l - расстояние между опорами, см; b и h - размеры поперечного сечения образца, см.
  Упругость Свойство материала самопроизвольно восстанавливать первоначальную форму и размеры после прекращения действия внешних сил % или безразмерная величина - относительная деформация; l - первоначальный линейный размер образца; Dl - абсолютная деформация; s - одноосное напряжение, МПа; Е - модуль упругости (модуль Юнга), МПа. Упругая деформация – обратимая.
  Пластичность Свойство материала изменять форму и размеры под действием внешних сил, не разрушаясь, и сохранять эти изменения после снятия нагрузки     Пластическая, остаточная деформация – необратимая.  
  Хрупкость Свойство материала под действием нагрузки разрушаться без заметной пластической деформации (“внезапное” разрушение)     Для хрупких материалов R /Rp = 10...15 и более, Rp - предел прочности при растяжении
  Удельная прочность (коэффициент конструктивного качества) Отношение прочности материала к его относительной плотности   Rудкк=   МПа Примеры: Сталь: Rуд МПа; Стеклопластик: Rуд МПа. Является характеристикой прочностной эффективности материала.
  Истираемость Способность материала сопротивляться истираю-щим воздействиям И = г/ см2; кг/ м2 m1 - масса образца до истирания, г; m2 - масса после истирания, г; F - площадь образца, см2
  Твердость Способность материала сопротивляться проникновению в него другого более твердого HB =   МПа, кгс/мм2 Р - нагрузка, кН, кгс; F - площадь отпечатка, мм2 Твердость каменных материалов оценивают по шкале твердости Мооса в баллах от 1 до 10: самый мягкий – тальк (1), самый твердый – алмаз (10).
  Износ Способность материала сопротивляться одновременному воздействию истирания и удара   uзн=     % m1 и m2- массы образца соответственно до и после испытания, г

 

 

<== предыдущаЯ лекциЯ | следующаЯ лекциЯ ==>
Технічна документація на резервуар | Производство портландцемента

Данная страница нарушает авторские права?


mylektsii.su - Мои Лекции - 2015-2026 год. (1.275 сек.)Все материалы представленные на сайте исключительно с целью ознакомления читателями и не преследуют коммерческих целей или нарушение авторских прав Пожаловаться на материал