Студопедия

Главная страница Случайная страница

КАТЕГОРИИ:

АвтомобилиАстрономияБиологияГеографияДом и садДругие языкиДругоеИнформатикаИсторияКультураЛитератураЛогикаМатематикаМедицинаМеталлургияМеханикаОбразованиеОхрана трудаПедагогикаПолитикаПравоПсихологияРелигияРиторикаСоциологияСпортСтроительствоТехнологияТуризмФизикаФилософияФинансыХимияЧерчениеЭкологияЭкономикаЭлектроника






Гидравлический расчет сети низкого давления.






Гидравлический расчет газовых сетей состоит в определении диаметров газопроводов, которые зависят от расчетных расходов газа и допустимых потерь давления.

Распределительные сети низкого давления обслуживают коммунально-бытовое потребление с расходами газа не более 50 м3/ч. Располагаемый перепад давления в распределительных газопроводах низкого давления принимается равным 1200 Па.

При расчете кольцевых и тупиковых систем необходимо выполнить 2 условия:

· Потери по полукольцам должны быть равны.

· Сумма потерь давления от ГРП (или другого источника питания) до концевой точки или точки схода не должна превышать располагаемый перепад давления.

Для определения расчетных часовых расходов на участках сети с равномерно распределенным расходом необходимо определить удельный, путевой и транзитный расходы газа.

Для определения путевых расходов:

а) всю газифицируемую территорию разбивают на площади с одинаковым удельным потреблением газа, которые получают газ от определенных контуров или участков сети.

б) вычисляют количества газа, которое потребляют на этих площадях.

в) рассчитывают удельный путевой расход путем деления потребляемого газа на этих площадях на периметр сети, от которой подается газ.

Удельный путевой расход:

, м3/ч (2.1)

где:

Σ Lр – общая протяжённость сети (суммарная приведенная длина участков), использующей газ:

 

 

при двухсторонней раздаче

при односторонней раздаче

при отсутствии раздачи

Σ V – общий расчетный часовой расход газа на сеть низкого давления;

1, 1 – коэффициент, учитывающий потери давления на местные сопротивления.

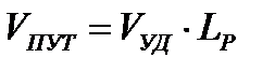
г) определяют путевой расход участка, умножая удельный расход на его длину.

Путевой расход газа:

, м3/ч (2.2)

Расчетным расходом на участке, имеющем переменную нагрузку называется такой постоянный расход, который эквивалентен по создаваемой потере давления совместному действию путевого и транзитного расходов.

Расчетный расход:

(2.3)

Для определения диаметров труб найдем удельные потери по длине всей ветки:

(2.4)

Затем с помощью номограммы низкого давления подбираем диаметр и находим Rуд для каждого участка. Если с помощью номограммы потребуется вычислить потери давления для газа с другой плотностью по сравнению с принятой при составлении номограммы, то полученную потерю давления необходимо умножить на поправочный коэффициент, равный отношению плотности, или использовать вспомогательные таблицы.

Потери давления на участке:

Δ Р=1, 1∙ Rуд∙ Lдейств (2.5)

Гидростатические потери:

(2.6)

где:

-высота рассчитываемого участка со знаком, зависящим от движения газа (вверх или вниз).

= 1, 23 кг/м3 – плотность воздуха

= 0, 723 кг/м3 – плотность газа

Степень использования газа предприятиями и учреждениями коммунально-бытового обслуживания населения 15 % от пропускной способности этих предприятий.

 

Удельный путевой расход газа

 

Расчет путевых и транзитных расходов, подбор диаметров, определение перепада давления в сети низкого давления приводим в таблице №3.


 

 

 

 

Рис 1. Расчетная схема СНД.

 

Рис 2. Монтажная схема СНД.

 



Поделиться с друзьями:

mylektsii.su - Мои Лекции - 2015-2026 год. (1.788 сек.)Все материалы представленные на сайте исключительно с целью ознакомления читателями и не преследуют коммерческих целей или нарушение авторских прав Пожаловаться на материал