Студопедия

Главная страница Случайная страница

КАТЕГОРИИ:

АвтомобилиАстрономияБиологияГеографияДом и садДругие языкиДругоеИнформатикаИсторияКультураЛитератураЛогикаМатематикаМедицинаМеталлургияМеханикаОбразованиеОхрана трудаПедагогикаПолитикаПравоПсихологияРелигияРиторикаСоциологияСпортСтроительствоТехнологияТуризмФизикаФилософияФинансыХимияЧерчениеЭкологияЭкономикаЭлектроника






Теоретичні відомості. Мета Вивчити методи вимірювання електричної ємності та індуктивності та прилади, що використовуються для цього






ЛАБОРАТОРНА РОБОТА № 6 – 7

Тема: ВИВЧЕННЯ МЕТОДІВ ТА ЗАСОБІВ ВИМІРЮВАННЯ ЕЛЕКТРИЧНОЇ ЄМНОСТІ ТА ІНДУКТИВНОСТІ

Мета Вивчити методи вимірювання електричної ємності та індуктивності та прилади, що використовуються для цього. Ознайомитись з будовою мостів змінного струму і універсальних мостів, з будовою і застосуванням резонансних вимірювачів індуктивності (L) і ємності (С). Отримати навички практичного виконання вимірювань ємності і індуктивності.

 

Теоретичні відомості

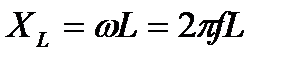
Процеси, що проходять в колах змінного струму, характеризуються тим, що при кожному вимірюванні струму (напруги) змінюються електричні і магнітні поля, зв'язані з цими колами. В котушках індуктивності виникають ЕРС самоіндукції і взаємоіндукції, а в конденсаторах виникають зарядні і розрядні точки. Котушки індуктивності і конденсатори в колах змінного струму називають резистивними елементами. Для змінного струму вони є реактивними опорами. Зміна струму в колі з індуктивністю (L) або взаємоіндукцією (М) викликає виникнення ЕРС самоіндукції (еL) або взаємоіндукції (еМ), яка за законом Ленца протидіє зміні струму. Для струму, що змінюється по гармонічному закону миттєве значення напруги (U) на зажимах котушки індуктивності в кожен момент часу рівне по модулю значенню ЕРС самоіндукції і протилежне їй за знаком

де ULm і Іm – амплітуди напруги і струму в котушці.

Для діючих значень струму і напруги - має розмірність опору і називається індуктивним опором ХL.

У колі з індуктивним опором струм відстає по фазі від напруги на кут φ = 90° і називається реактивним намагнічуючим струмом.

В електричному колі синусоїдального струму, що містить ємність (С), проходить безперервно перезарядження конденсатора і встановлюється струм

Величину Хс називають ємнісним опором. Діюче значення струму в колі із ємнісним опором визначають з виразу

/

У такому колі струм випереджує по фазі напругу на кут φ = 90°.(Uс – напруга на обкладинках конденсатора). У системі СІ за одиницю електричної ємності прийнята Фарада (Ф).

Фарада – ємність провідника, потенціал якого підвищується на 1 В, якщо на цей провідник помістити заряд в 1 кулон.

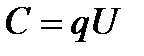
Електричний конденсатор – це прилад, що складається із двох провідників електричного струму (обкладинок), розділених діелектриком, який має здатність накопичувати електричну енергію. Ємність конденсатора визначається відношенням накопиченого у ньому електричного заряду (q) до напруги на його обкладинках (U)

На практиці для зміни ємності використовуються більш малі похідні від Фаради одиниці: мікрофаради (мкФ), нанофаради (нФ) і пікофаради (пФ).

За одиницю вимірювання індуктивності прийнятий Генрі (Гн). Індуктивність в 1 Гн має така котушка, в якої при зміні струму на 1 А за 1 секунду розвивається ЕРС самоіндукції, рівна 1 В. В електро і радіотехніці звичайно приймають більш менші одиниці: мілігенрі (мГн) і мікрогенрі (мкГн)

Індуктивність характеризує собою кількість енергії, збереженої котушкою індуктивності, при протіканні по ній електричного струму.

Конденсатори і котушки індуктивності характеризуються рядом параметрів, які, в свою чергу, поділяються на основні, похідні і остаточні.

Основним параметром конденсатора є номінальна ємність (Сном), а для котушок індуктивності – номінальне значення індуктивності (Lном).

Похідними параметрами є тангенс кута втрат (tgδ), добротність (Q), стала часу (τ), температурний коефіцієнт і т.д.

До остаточних параметрів відносяться власна ємність і активний опір котушок індуктивності і втрати конденсаторів. Наявність остаточних параметрів викликає недосконалість конструкції і приводить до зміни основних параметрів. З врахуванням остаточних параметрів конденсатори і котушки індуктивності характеризують ефективними значеннями, що залежать від частоти змінного струму (f). Із збільшенням частоти індуктивний опір зростає, а ємність – зменшується. У зв'язку з цим калібрування котушок індуктивності і конденсаторів проводиться на номінальній частоті fном=1000 Гц.

За конструкцією конденсатори поділяються на два типи: постійної ємності (маркуються буквою " К") і змінної – " КТ". Крім того на маркуванні вказується матеріал, з якого виготовлений діелектрик, призначення конденсатора, номінальна ємність і номінальна робоча напруга.

Конденсатори постійної ємності поділяються на керамічні (позначаються К10 чи К15), кварцові (К20), скляні (К21), склокерамічні (К22), склоемальові (К23), слюдяні (К31, К32), паперові (К40, К41, К42), електролітичні алюмінієві (К50), танталові (К51, К52), повітряні (К60), вакуумні (К61), полістіролові (К70, К71), фторопластові (К72) і т.д. В залежності від діелектрика, що використовується, конденсатори можуть пропускати через себе постійний струм, який називається струмом втрати (ів). Відношення прикладеної до конденсатора напруги (U) до струму втрати визначає опір ізоляції Rіз. Постійний струм, що протікає через конденсатор, складає втрати енергії (Рвтрат). Величина втрат характеризується тангенсом кута втрат (tgδ), де δ – кут втрат. Завдяки втратам кут зсуву фаз між струмом і напругою в реальних електричних колах з реактивним опором є звичайно меншим 90° на кут δ.

Як правило, цей кут невеликий і часто не враховується. Однак при високих частотах активні і реактивні опори стають взаємовимірювані і кут втрат необхідно враховувати. Тангенс кута втрат характеризує відношення активної і (Рвтрат) і реактивної (Qр) потужності резистивного елемента

де X – реактивний опір.

У залежності від втрат конденсатори умовно поділяють на три групи: без втрат (tgδ = 0), з малими втратами (tgδ < 0.01) і з великими втратами (tgδ > 0.01).

Котушки індуктивності характеризуються величиною, зворотною tgδ, яка називається добротністю (Q).

З підвищенням частоти, температури і вологості добротність, як правило, зменшується.

У залежності від втрат повний опір конденсатора (котушки індуктивності) може бути представлений у вигляді еквівалентних схем двополюсників.

Так для конденсаторів без втрат (tgδ = 0), еквівалентна схема , для конденсаторів з малими втратами використовується еквівалентеа послідовна схема заміщення, для конденсаторів з великими втратам паралельна схема заміщення.

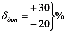
Аналогічні схеми використовуються і для котушок індуктивності. Згідно ГОСТ 2519-67 встановлено 6 рядів номінальної ємності конденсаторів, представляючі собою ряди ±геометричної прогресії із знаменником qn= де n = 6, 12, 24, 48 96, 192. Допустимі відхилення ємності конденсаторів від номінальних значень визначені ГОСТ 9661-61, у відповідності з якою вони ділятья на класи точності:

І клас точності δ доп = ± 5%

ІІ клас точності δ доп = ± 10%

ІІІ клас точності δ доп = ±20%

IV клас точності

V клас точності

VI клас точності

Номінальну ємність маркують на конденсаторі повністю, а для мініатюрних конденсаторів використовують код, згідно якого ємності до 100 пФ виражаються в пікофарадах, позначаючи їх буквою " П". Ємності від 100 пФ до 105 пФ виражаються в нанофарадах (буква " Н"), а ємності від 0.1 мкФ і вище – в мікрофарадах (буква " М"). При цьому, положення букви відповідає положенню коми між цифрами, що позначають ємність. Наприклад: 3пФ позначають 3п; 150 пФ = 0.15 нФ – Н15; 1500 пФ = 1.5 нФ – 1Н5; 0.015 мкФ – 15 Н; 0.15 мкФ – М15.

Котушки індуктивності по конструкції можуть бути з магнітними і немагнітними осердями або без осердь, циліндричні або плоскі, сталої або змінної індуктивності, каркасні або безкаркасні, одношарові або багатошарові. Класифікація котушок і конденсаторів більш детально розглянута у довідниках.

Слід мати на увазі, що реактивні опори в колах змінного струму виникають не тільки між обкладками конденсаторів і котушок індуктивності, а й електричними провідниками, витками обмоток електродвигунів, трансформаторів, дроселів, електровимірювальних приладів і т.п.

Облік впливу реактивних опорів на роботу реальних електричних кіл вимагає їх вимірювання. В робочих умовах вимірювання реактивних опорів здійснюється чотирма основними методами: амперметра – вольтметра, безпосередньої оцінки, нульовим (мостовим) і резонансним.

 

 

Рисунок 1

Схеми вимірювання ємності (а) та індуктивності (б) методом амперметра і вольтметра

 

 

 

 

 

 

Рисунок 2 Схема моста змінного струму

 

Рисунок 3

 

Схеми мостів змінного струму для вимірювання параметрів конденсатора

а) для конденсаторів без втрат

б) для конденсаторів з малими втратами

в) для конденсаторів з великими втратами

 


Поделиться с друзьями:

mylektsii.su - Мои Лекции - 2015-2026 год. (1.852 сек.)Все материалы представленные на сайте исключительно с целью ознакомления читателями и не преследуют коммерческих целей или нарушение авторских прав Пожаловаться на материал