Студопедия

Главная страница Случайная страница

КАТЕГОРИИ:

АвтомобилиАстрономияБиологияГеографияДом и садДругие языкиДругоеИнформатикаИсторияКультураЛитератураЛогикаМатематикаМедицинаМеталлургияМеханикаОбразованиеОхрана трудаПедагогикаПолитикаПравоПсихологияРелигияРиторикаСоциологияСпортСтроительствоТехнологияТуризмФизикаФилософияФинансыХимияЧерчениеЭкологияЭкономикаЭлектроника






Метод амперметра – вольтметра






Цей метод є непрямим, найбільш простим і найменш точним, так як правило при його використанні вимірюється повний комплексний опір вимірювального об'єкта

,, що вносить значну похибку. Вимірювання рекомендується виконувати по схемам, зображених на рисунку 1

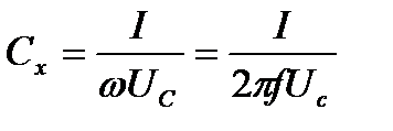
Вимірювана ємність обчислюється за формулою

індуктивність

де UC і UL – напруга на обкладинках конденсатора і зажимах котушки індуктивності.

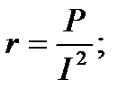
При використанні цього методу необхідно знати робочу частоту (f). Різновидністю цього методу, що дозволяє одержати велику точність вимірювання, є метод чотирьох приладів, де поряд з амперметром і вольтметром у вимірювальне коло включається частотомір і ватметр. Вимірювальні опори при цьому розраховуються за формулами

де Pw – потужність, що вимірюється ватметром;

f – покази частотоміру;

U, І – покази ватметра і амперметра.

Обидва описані методи є непрямими методами вимірювання L і С.

 


Поделиться с друзьями:

mylektsii.su - Мои Лекции - 2015-2026 год. (1.757 сек.)Все материалы представленные на сайте исключительно с целью ознакомления читателями и не преследуют коммерческих целей или нарушение авторских прав Пожаловаться на материал