Студопедия

Главная страница Случайная страница

КАТЕГОРИИ:

АвтомобилиАстрономияБиологияГеографияДом и садДругие языкиДругоеИнформатикаИсторияКультураЛитератураЛогикаМатематикаМедицинаМеталлургияМеханикаОбразованиеОхрана трудаПедагогикаПолитикаПравоПсихологияРелигияРиторикаСоциологияСпортСтроительствоТехнологияТуризмФизикаФилософияФинансыХимияЧерчениеЭкологияЭкономикаЭлектроника






Уравнения Максвелла. Открытие Максвеллом тока смещения привело его к созданию единой теории электрических и магнитных явлений.






Открытие Максвеллом тока смещения привело его к созданию единой теории электрических и магнитных явлений.

В основе теории Максвелла лежат четыре уравнения.

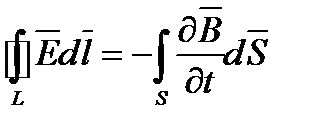
1. Электрическое поле может быть потенциальным (его циркуляция определяется по формуле ), так и вихревым (его циркуляция определяется по формуле , где символ частной производной подчеркивает тот факт, что интеграл является функцией только времени). Поэтому циркуляция вектора напряженности суммарного электрического поля равна

(1)

 

Это уравнение Максвелла показывает, что источниками электрического поля могут быть не только электрические заряды, но и изменяющиеся во времени магнитные поля.

2. Введя понятие тока смещения, Максвелл обобщил теорему о циркуляции вектора , добавив в правую часть уравнения ток смещения сквозь поверхность , натянутую на замкнутый контур :

 

(2)

 

Это выражение – обобщенная теорема о циркуляции вектора : циркуляция вектора напряженности магнитного поля по произвольному неподвижному замкнутому контуру равна алгебраической сумме токов проводимости и тока смещения, охватываемых этим контуром.

Данное уравнение показывает, что магнитные поля могут возбуждаться либо движущимися зарядами (электрическими токами), либо переменными электрическими полями.

3. Теорема Гаусса для поля , которая, как предположил Максвелл, справедлива для любого электрического поля, как стационарного, так и переменного,

,

где - алгебраическая сумма заключенных внутри поверхности свободных электрических зарядов.

Если заряд распределен внутри замкнутой поверхности непрерывно с объемной плотностью , то эта формула запишется в виде

 

(3)

 

4. Теорема Гаусса для поля :

 

(4)

Уравнения (1) – (4) представляют собой полную систему уравнений Максвелла в интегральной форме:

 

;

 

; (5)

Величины, входящие в уравнения Максвелла, не являются независимыми и между ними существует следующая связь (изотропные не сегнетоэлектрические и неферромагнитные среды):

,

где - соответственно электрическая и магнитная постоянные; - соответственно диэлектрическая и магнитная проницаемости; - удельная проводимость вещества.

Из уравнений Максвелла вытекает, что источниками электрического поля могут быть либо электрические заряды, либо изменяющиеся во времени магнитные поля, а магнитные поля могут возбуждаться либо движущимися электрическими зарядами (электрическими токами), либо переменными электрическими полями. Уравнения Максвелла не симметричны относительно электрического и магнитного полей. Это связано с тем, что в природе существуют электрические заряды, но отсутствуют магнитные.

Для стационарных полей ()уравнения Максвелла примут вид:

Т.е. источниками электрического поля в данном случае являются только электрические заряды, а источниками магнитного – только токи проводимости. Электрические и магнитные поля независимы друг от друга, что позволяет изучать отдельно постоянные электрические и магнитные поля.

Уравнения Максвелла – наиболее общие уравнения для электрических и магнитных полей в покоящихся средах. В учении об электромагнетизме они играют такую же роль, как законы Ньютона в механике.


Поделиться с друзьями:

mylektsii.su - Мои Лекции - 2015-2026 год. (2.391 сек.)Все материалы представленные на сайте исключительно с целью ознакомления читателями и не преследуют коммерческих целей или нарушение авторских прав Пожаловаться на материал