Студопедия

Главная страница Случайная страница

КАТЕГОРИИ:

АвтомобилиАстрономияБиологияГеографияДом и садДругие языкиДругоеИнформатикаИсторияКультураЛитератураЛогикаМатематикаМедицинаМеталлургияМеханикаОбразованиеОхрана трудаПедагогикаПолитикаПравоПсихологияРелигияРиторикаСоциологияСпортСтроительствоТехнологияТуризмФизикаФилософияФинансыХимияЧерчениеЭкологияЭкономикаЭлектроника






Вычисляемые характеристики грунтов






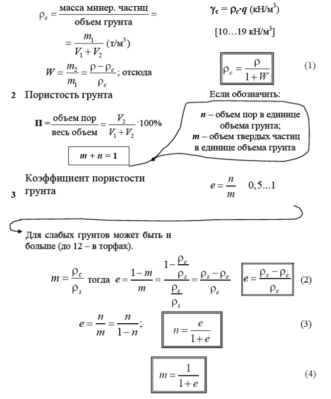
Зная величины ρ, ρ S и ω, можно вычислить ряд характеристик грунта. Введем понятие плотности (объемной массы) скелета грунта ρ с (в СНиП 2.02.01-83 называется плотностью в сухом состоянии), равной отношению массы твердых частиц грунта к объему образца ненарушенной структуры до высушивания.

Зная плотность грунта (обычно выражаемую в т/м3), легко найти удельный вес грунта (в кН/м3) по формуле:

где g – ускорение свободного падения, равное 9, 81 м/с2 (часто принимают 10 м/с2).

По аналогии удельный вес скелета грунта γ, и твердых частиц грунта γ d найдем из выражений:

 

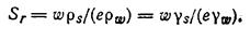
Состояние грунтов по водонасыщенности (коэффициент водонасыщенности Sr)

устанавливается в зависимости от коэффициента водонасыщенности Sr, (в СНиПе – степень влажности), который равен отношению естественной влажности грунта к влажности, соответствующей полному заполнению пор водой (без пузырьков воздуха), т. е. к полной влагоемкости ω sat:

Согласно определению,

где ρ w – плотность (объемная масса) воды.

Подставив значение ω sat в выражение , найдем

 

Коэффициент водонасыщенности в ряде случаев характеризует качество грунтов. По водонасыщенности (степени влажности) различают грунты:

Грунты называют насыщенными водой при Sr > 0, 8, потому что они не содержат воздуха, сообщающегося с атмосферой. Пылевато-глинистые грунты (не лессовые) ниже зоны аэрация чаще всего имеют Sr > 0, 8. В связи с этим состояние по водонасыщенности используют как характеристику преимущественно для песчаных, крупнообломочных и лессовых грунтов.

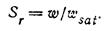
При полной водонасыщенности грунтов (Sr =1) из выражения устанавливается зависимость между влажностью и коэффициентом пористости е:

В формулах плотность воды ρ w обычно принимают равной 1 г/см3 (или 1 т/м3). Строго говоря, это не соответствует действительности, так как плотность прочносвязанной воды, как сказано ранее, существенно больше единицы.

Выталкивающая сила (по закону Архимеда):

 


Поделиться с друзьями:

mylektsii.su - Мои Лекции - 2015-2026 год. (0.519 сек.)Все материалы представленные на сайте исключительно с целью ознакомления читателями и не преследуют коммерческих целей или нарушение авторских прав Пожаловаться на материал