Студопедия

Главная страница Случайная страница

КАТЕГОРИИ:

АвтомобилиАстрономияБиологияГеографияДом и садДругие языкиДругоеИнформатикаИсторияКультураЛитератураЛогикаМатематикаМедицинаМеталлургияМеханикаОбразованиеОхрана трудаПедагогикаПолитикаПравоПсихологияРелигияРиторикаСоциологияСпортСтроительствоТехнологияТуризмФизикаФилософияФинансыХимияЧерчениеЭкологияЭкономикаЭлектроника






Действие вертикальной сосредоточенной силы, приложенной к поверхности линейно-деформируемого полупространства (задача Буссинеску 1885 г.)






Рассмотрим действие вертикальной сосредоточенной силы N, приложенной в точке О к горизонтальной плоскости, являющейся поверхностью линейно-деформируемого полупространства, простирающегося в бесконечность ниже этой плоскости (рис. 6.2, а). От действия силы N во всех точках полупространства возникает сложное напряженное состояние. В общем случае в каждой точке полупространства, несколько удаленной от точки О, в декартовой системе координат будет действовать шесть составляющих . Решение этой задачи было выполнено Буссинеском (1885 г.).

Пусть положение точки М1 (рис. 6.2, а) определяется полярными координатами R и β системы координат с началом в точке приложения силы N. Под действием силы N точка М1 переместится в направлении радиуса R на величину S1. Чем дальше от точки О будет расположена точка М1, тем меньше будет ее перемещение; при R =∞ перемещение точки М1 будет равно нулю. Следовательно S1 можно принять обратно пропорциональным R. В то же время при одном и том же значении R для различных величин угла β перемещения точек будут неодинаковы. Наибольшее перемещение получит точка, расположенная на оси z, т. е. при β = 0. С увеличением угла β перемещения по направлению радиуса R уменьшаются, и в случае β =90° (на поверхности грунта) при малых деформациях будут равны нулю. В связи с этим можно принять, что перемещение точки М1 по направлению радиуса, кроме зоны около точки приложения силы N, будет

где α 1 — коэффициент пропорциональности.

Рис. 6.2. Схема к выводу формулы (6.1)

а — расположение точек М1 и М2 в полупространстве; б — распределение напряжений по волушаровой поверхности с радиусом R; в — напряжения, действующие в точке М1.

 

Эта зависимость удовлетворяет граничным условиям. Рассмотрим теперь точку М2 на продолжении радиуса R. Пусть точка М2 находится на расстоянии dR от точки М1. Руководствуясь записанным выражением, найдем перемещение точки М2 по направлению радиуса R:

В таком случае относительная деформация грунта на отрезке dR составит:

Пренебрегая величиной RdR, малой по сравнению с R2, и учитывая линейную зависимость между напряжениями и деформациями, найдем выражение для напряжений сжатия, действующих на площадки, перпендикулярные направлению радиуса R, без учета силы тяжести грунта:

(а)

Для нахождения произведения коэффициентов α α 2 отсечем мысленно часть полупространства полушаровой поверхностью (рис. 6.2, б), имеющей центр в точке О и радиус R, и составим уравнение равновесия проекций на ось z всех сил, действующих на отсеченный элемент, для невесомой среды. В таком случае получим:

(б)

где dA — площадь кольца полушаровой поверхности при изменении угла β величину .

Подставив в уравнение (б) значение σ R, определенное по выражению (а), и решив его, найдем произведение коэффициентов α α 2. После подстановки значения α α 2 в выражение (а) получим:

Напряжение σ R действует на наклонную площадку dA. Рассматривая равновесие элементарной треугольной призмы (рис. 6.2, в), составим уравнение проекций всех сил на вертикальную ось:

Подставив в полученное уравнение значение σ R, по выражению (в), найдем вертикальное напряжение, которое принимается с положительным знаком при сжатии:

Аналогично могут быть найдены остальные пять компонентов напряжения в точке М1.

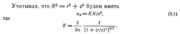
Подставляя в формулу (6.1) значение коэффициента К, найденного по табл. 6.1, определяют вертикальное сжимающее напряжение σ Z, развивающееся в грунтах при действии сосредоточенной силы.

 

 

Определение напряжений σ Z в массиве грунта от действия нескольких сосредоточенных сил (принцип Сен-Венана – принцип независимости действия сил)

Если к поверхности изотропного линейно-деформируемого полупространства приложено несколько сил (P1, P2, P3 на рис. 6.3), то при прямой пропорциональности между напряжениями и деформациями можно использовать принцип суперпозиции и найти значение σ Z в любой точке М простым суммированием:

 

 

где Ki определяется в зависимости от соотношения ri/z, причем координата z постоянна для данной точки М.

 

 

Определение напряжений σ Z при действии любой распределенной нагрузки (метод элементарного суммирования)

Пусть к поверхности изотропного линейно-деформируемого полупространства в пределах площади А приложено распределенное давление (рис. 6.4, а). Загруженную площадь можно разбить на небольшие прямоугольники со сторонами bi и li более сложные фигуры по ее контуру. С некоторым приближением давление, распределенное в пределах i-го прямоугольника, можно заменить равнодействующей N1, приложенной в центре тяжести этого давления. Вертикальное сжимающее напряжение от действия силы Ni составит .

Определив величину от нагрузки каждой из небольших фигур, на которые разбита площадь А, и произведя суммирование этих напряжений, определим напряжение σ Z от действия распределенной местной нагрузки:

где Кi — коэффициент зависит от отношения ri/z и берется по табл. 6.1.

Точность расчета увеличивается с уменьшением bi и li.

Рис. 6.4. Схемы к расчету действия любой распределенной нагрузки

 

 


Определение σ Z – под центром прямоугольной площадки загружения при равномерной нагрузке

Если закон распределенная давления по поверхности изотропного линейно-деформируемого полупространства известен, то элементарное суммирование можно заменить интегрированием. При равномерно распределенном давлении после интегрирования по прямоугольной площади загружения значения σ Z для точек, расположенных под центром прямоугольной площади загружения (рис. 6.4, б), будут

где α – коэффициент, принимаемый по табл. 6.2;

р – равномерно распределенное давление.

При определении напряжения σ Z на глубине z под центром площади загружения значение α принимают в зависимости от величин и (где l – длинная сторона прямоугольной площади загружения; b – ее ширина).

При нахождении σ Z под угловыми точками прямоугольной площади загружения (например, под точкой С на рис. 6.4, б) значения α, также можно принимать по табл. 6.2 в зависимости от величин и . В этом случае . Напряжение под угловыми точками определяют по формуле

 

Рис. 6.4. Схемы к расчету действия равномерно-распределенного давления в пределах прямоугольной площадки загружения.


Поделиться с друзьями:

mylektsii.su - Мои Лекции - 2015-2026 год. (0.982 сек.)Все материалы представленные на сайте исключительно с целью ознакомления читателями и не преследуют коммерческих целей или нарушение авторских прав Пожаловаться на материал