Студопедия

Главная страница Случайная страница

КАТЕГОРИИ:

АвтомобилиАстрономияБиологияГеографияДом и садДругие языкиДругоеИнформатикаИсторияКультураЛитератураЛогикаМатематикаМедицинаМеталлургияМеханикаОбразованиеОхрана трудаПедагогикаПолитикаПравоПсихологияРелигияРиторикаСоциологияСпортСтроительствоТехнологияТуризмФизикаФилософияФинансыХимияЧерчениеЭкологияЭкономикаЭлектроника






Работа с векторами и матрицами






Ввод и вычисление выражений

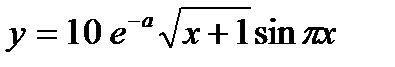
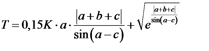
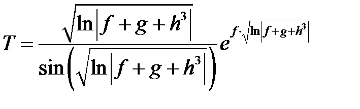
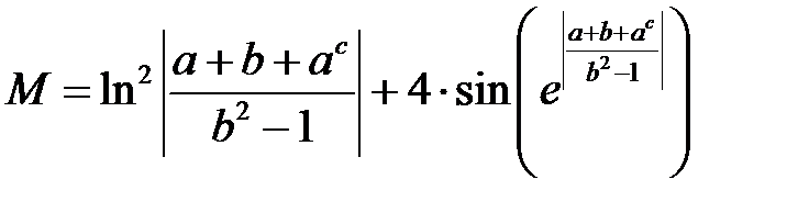
Вычислить значение выражения (значения аргументов задать самостоятельно):

Вариант Выражение
 
 
 
 
 
 
 
 
 
 
 
 
 
 
 
 
 
 
 
 
 
 
 
 
 
 
 
 
 
 

 

2. Работа с дискретными аргументами + построение графиков на плоскости

Протабулировать функцию f(x) на интервале [a, b] c шагом d и построить ее график. При необходимости недостающие значения параметров задать самостоятельно.

Вариант Функция f(x) Интервал [a, b] Шаг d
  [-2; 7] 0, 1
  [-1; 1] 0, 01
  [-1; 1] 0, 01
  [-π; π ] 0, 01
  [-3; 3] 0, 01
  [-π; π ] 0, 01
  [-1; 2] 0, 1
  [0; π ] 0, 1
  [-2; 3] 0, 1
  [-3π; 5π ] 0, 1
  [-4; 4] 0, 2
  [0; 7, 5] 0, 5
  a=1.6x3-1.5 [-1, 1] 0, 1
  [1; 5] 0, 1
  , [0; 1] 0, 001
  y=e-at [2; 4] 0, 2
  у=x³ -9x² +1.7x-8.2 [0, 5] 0, 1
  у=4x² -2x+5 [1, 7] 0, 1
  y=3 sin x² +5 [–π, π ] 0, 15
  на [0, 5] 0, 1
  [-1; 1] 0, 01
  [-1; 1] 0, 01
  [-π; π ] 0, 01
  [-3; 3] 0, 01
  [-π; π ] 0, 01
  [-10; 2] 0, 1
  [0; π ] 0, 1
  [-2; 3] 0, 1
  [-3π; 5π ] 0, 1
  [-4; 4] 0, 2

Работа с векторами и матрицами

Задание:

1. Для заданной матрицы А вычислить:

- максимальное значение,

- минимальное значение,

- сумму элементов главной диагонали,

- определитель,

- ранг матрицы.

При вычислениях использовать стандартные функции MathCad.

2. В одномерный массив В записать элементы первого (по счету) столбца матрицы А, а в массив С – элементы первой (по счету) строки матрицы А (для этого матрицу необходимо предварительно транспонировать).

3. Вычислить значение элементов матрицы D по заданной формуле.

 

Вариант № 1

 

A=

 

D=

 

Вариант № 2

 

A =

D=

Вариант № 3

 

A=

 

D=

 

Вариант № 4

A=

 

D=

 

Вариант № 5

 

A=

D=

 

 

Вариант № 6

 

A=

D=

 

Вариант № 7

 

A=

D=

Вариант № 8

 

A=

D=

 

Вариант № 9

 

A=

D=

 

Вариант № 10

 

A=

D=

 

Вариант № 11

 

A=

D=

 

Вариант № 12

 

A=

D=

 

 

Вариант № 13

 

A=

D=

 

Вариант № 14

 

A=

D=

 

Вариант № 15

 

A=

D=

 

Вариант № 16

 

A=

D=

 

Вариант № 17

 

A=

 

D=

 

Вариант № 18

 

A=

D=


 

Вариант № 19

 

A=

D=

 

Вариант № 20

 

A=

D=

 

Вариант № 21

 

A=

D=

 

Вариант № 22

 

A=

D=

 

Вариант № 23

 

A=

D==

 

Вариант № 24

 

A==

 

D==

 

Вариант № 25

A=

D==

 

Вариант № 26

 

A==

D==

 

Вариант № 27

 

A=

D==

 

Вариант № 28

 

A==

D==

 

 

Вариант № 29

 

A==

 

D==

 

Вариант № 30

 

A=

D==



Поделиться с друзьями:

mylektsii.su - Мои Лекции - 2015-2026 год. (1.004 сек.)Все материалы представленные на сайте исключительно с целью ознакомления читателями и не преследуют коммерческих целей или нарушение авторских прав Пожаловаться на материал