Студопедия

Главная страница Случайная страница

КАТЕГОРИИ:

АвтомобилиАстрономияБиологияГеографияДом и садДругие языкиДругоеИнформатикаИсторияКультураЛитератураЛогикаМатематикаМедицинаМеталлургияМеханикаОбразованиеОхрана трудаПедагогикаПолитикаПравоПсихологияРелигияРиторикаСоциологияСпортСтроительствоТехнологияТуризмФизикаФилософияФинансыХимияЧерчениеЭкологияЭкономикаЭлектроника






Дифференцирование функций






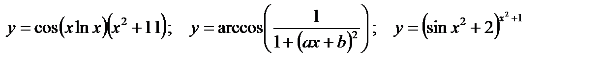
Вычислить производные функций в численном и символьном виде:

Вариант Производные
 
 
 
 
 
 
 
 
 
 
 
 
 
 
 
 
 
 
 
 
 
 
 
 
 
 
 
 
 
 

 

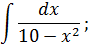
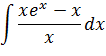
Вычисление неопределенных интегралов

Вариант Неопределенный интеграл
 
 
 
 
 
 
   
 
 
 
 
 
 
 
 
 
 
 
   
 
   
 
 
 
 
 
 
 
 
 

 

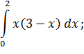
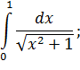
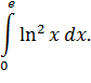
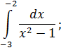
Вычисление определенных интегралов

Вариант Интеграл  
   
   
   
   
 
 
 
 
 
 
 
 
 
 
 
 
 
 
 
 
 
 
 
 
 
         

 


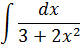
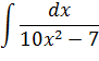
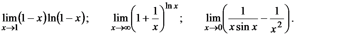
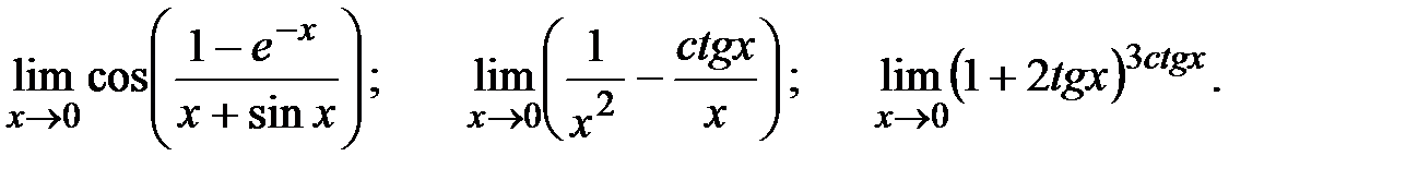
Вычисление пределов

 

Вариант Пределы
 
 
 
 
 
 
 
 
 
 
 
 
 
 
 
 
 
 
 
 
 
 
 
 
 
 
 
 
 
 

 

Решение нелинейных уравнений

 

Решить уравнения в численном и ы символьном виде

Вариант Уравнение
  Tg(x) = 1/x
  Ln(x) = 1/x
  Ln(x) = Sin(x)
  2 cos x -7x = 0
  10x – e-2x = 0
  x2 lg x – 3, 8 = 0
  x3 – 2x2 + 9x – 4/x = 0
  sin 3x – 2, 5x + 6, 2 =0
  e-x – 2, 6x + 4, 3 = 0
  e1, 5x + 3x – 4, 5 = 0
  x ln x – 14 = 0
  e-x – 4, 7x + 1, 6 = 0
  cos x – 3, 6x + 1, 2 = 0
  x2 lg x – 3, 8 = 0
  sin x – 2, 3x – 2, 8 = 0
  x ln x – 3, 2 = 0
  ex – x2 – 3, 4 = 0
  x 2x + x – 3, 1 = 0
  ex + 2, 4x – 3, 7 = 0
  x2 lg x – 3, 8 = 0
  x3 – 2x2 + 9x – 4/x = 0
  sin 3x – 2, 5x + 6, 2 =0
  e-x – 2, 6x + 4, 3 = 0
  e1, 5x + 3x – 4, 5 = 0
  x ln x – 14 = 0

 

Нахождение корней полинома

Найти все корни полинома

Вариант Полином
  x3 – 2, 92x2 + 1, 435x + 0, 791 = 0
  x3 – 2, 56x2 – 1, 332x + 4, 395 = 0
  x3 – 2, 84x2 – 5, 606x – 14, 766 = 0
  x3 + 1, 41x2 – 5, 472x – 7, 380 = 0
  x3 + 0, 85x2 – 0, 431x + 0, 043 = 0
  x3 – 0, 12x2 – 1, 477x + 0, 191 = 0
  x3 + 0, 77x2 – 0, 251x + 0, 016 = 0
  x3 + 0, 88x2 – 0, 399x + 0, 037 = 0
  x3 + 0, 78x2 – 0, 826x + 0, 146 = 0
  x3 + 2, 28x2 – 1, 934x – 3, 907 = 0
  x3 – 2, 82x2 + 1, 435x + 0, 791 = 0
  x3 – 2, 61x2 – 1, 342x + 4, 351 = 0
  x3 – 2, 78x2 – 5, 508x – 14, 872 = 0
  x3 + 1, 45x2 – 5, 582x – 7, 803 = 0
  x3 + 0, 75x2 – 0, 481x + 0, 123 = 0
  x3 – 0, 13x2 – 1, 387x + 0, 221 = 0
  x3 + 0, 77x2 – 0, 251x + 0, 016 = 0
  x3 + 0, 78x2 – 0, 429x + 0, 027 = 0
  x3 + 0, 75x2 – 0, 728x + 0, 134 = 0
  x3 + 2, 23x2 – 1, 854x – 3, 457 = 0
  x3 – 2, 92x2 + 1, 435x + 0, 791 = 0
  x3 – 2, 56x2 – 1, 332x + 4, 395 = 0
  x3 – 2, 84x2 – 5, 606x – 14, 766 = 0
  x3 + 1, 41x2 – 5, 472x – 7, 380 = 0
  x3 + 0, 85x2 – 0, 431x + 0, 043 = 0
  x3 – 0, 12x2 – 1, 477x + 0, 191 = 0
  x3 + 0, 77x2 – 0, 251x + 0, 016 = 0
  x3 + 0, 88x2 – 0, 399x + 0, 037 = 0
  x3 + 0, 78x2 – 0, 826x + 0, 146 = 0
  x3 + 2, 28x2 – 1, 934x – 3, 907 = 0

 


Поделиться с друзьями:

mylektsii.su - Мои Лекции - 2015-2026 год. (0.497 сек.)Все материалы представленные на сайте исключительно с целью ознакомления читателями и не преследуют коммерческих целей или нарушение авторских прав Пожаловаться на материал