Студопедия

Главная страница Случайная страница

КАТЕГОРИИ:

АвтомобилиАстрономияБиологияГеографияДом и садДругие языкиДругоеИнформатикаИсторияКультураЛитератураЛогикаМатематикаМедицинаМеталлургияМеханикаОбразованиеОхрана трудаПедагогикаПолитикаПравоПсихологияРелигияРиторикаСоциологияСпортСтроительствоТехнологияТуризмФизикаФилософияФинансыХимияЧерчениеЭкологияЭкономикаЭлектроника






Методические указания по выполнению контрольной работы № 1






(Предельные износы в парах трения)

2.1. Критерии предельного износа

Выход величины износа за допустимые значения ведёт к нарушению работоспособности пары трения. Поэтому, последовательно для каждого сопряжения, рассчитывается предельно допустимая величина износа наиболее изнашиваемой и сопряженной с ней детали.

Прежде чем в рассматриваемом узле приступать к определению допустимой величины износа для пары трения в, необходимо установить критерий, определяющий его работоспособность.

Такими критериям могут быть:

- прекращение функционирования изделия. (Например, при определённом износе клиньев в барабане разматывателя станет невозможна фиксация рулона на барабане разматывателя);

- изнашивание упрочнённых поверхностей, приводящее к взаимодействию не упрочнённых поверхностей и, как следствие, к интенсивному изнашиванию и возможному схватыванию материалов пары трения, то есть к нарушению работоспособности изделия;

- возникновение в деталях напряжений, превышающих допустимые значения и являющихся следствием возникновения динамических нагрузок при повышенных зазорах в результате износа сопряжения или ослабления сечения детали в результате её износа;

- нарушение режима жидкостной смазки в подшипниках скольжения, как результат увеличения диаметрального зазора в процессе изнашивания вкладыша;

- переход пары трения в область интенсивного изнашивания, (например, переход трения качения в трение скольжения)

- повышенные утечки рабочей жидкости в управляющих устройствах и приводах гидравлических систем;

- нарушение посадки соединения с натягом в результате пере прессовок при ремонтах и вследствие этого не обеспечивающих передачу заданного крутящего момента;

- и другие критерии, характеризующие выход изделия из области работоспособного состояния.

В соответствии с установленным критерием ведется расчет допустимой величины износа деталей в сопряжении.

Полученные данные округляются до технически приемлемых значений, определяемых точностью применяемых измерительных инструментов. Здесь же приводится характеристика измерительного инструмента.

 

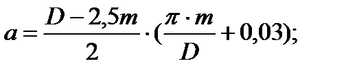
2.2. Определение величины предельного износа в зубчатом зацеплении по условию прочности.

 

Значения максимально допустимой величины износа [U] для тихоходных зубчатых (окружная скорость V˂ 1 м/с) передач можно найти по зависимости:

;

где, – предел текучести;

– толщина зуба в основании;

m – модуль зацепления;

D – диаметр делительной окружности шестерни;

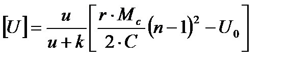
Для быстроходных зубчатых передач (окружная скорость V> 1 м/с) при определении [U] из условия прочности необходимо также учесть возрастание динамических нагрузок при увеличении зазора в зацеплении.

В этом случае используется зависимость

где u – передаточное число передачи;

n – запас прочности,

 

коэффициент, равный отношению износостойкости колеса к износостойкости шестерни, или твёрдости колеса к твёрдости шестерни.

С – жесткость наиболее податливого звена в линии привода (как правило шпиндель или промвал), МН/рад;

Мс – статический момент сил сопротивления в зацеплении, МНм;

Uо – начальный зазор в сопряжении (табл), м;

r – радиус делительной окружности шестерни, м.

 

Пример 2.1. Найти предельную величину износа шестерни первой ступени редуктора – шестерённой клети в линии привода первой клети стана 2000 холодной прокатки.

Исходные данные:

Мощность привода, N = 5482 кВт

Частота вращения, n = 264/886

Модуль зацепления, m = 20 мм

Число зубьев шестерни, = 24
число зубьев колеса = 62

Межосевое расстояние, А = 900 мм

Коэффициент относительной износостойкости

колеса и шестерни, k = 1

жёсткость наиболее податливого звена (карданный вал) 39 МН/рад

 

Решение.

Предельную величину износа шестерни определяем из зависимости

Находим:

a. наибольший момент на входном валу редуктора

b. радиус шестерни r и передаточное число u

Из табл. Для А = 900 мм и сопряжения Д принимаем гарантированный начальный боковой зазор

Тогда предельная величина износа шестерни

. Принимаем [U] = 0.3 мм.

 

 

2.3. Определение величины предельного износа в подшипнике скольжения.

 

В процессе эксплуатации узла трения с подшипником скольжения происходит износ вкладышей или втулки, что ведёт к увеличению радиального зазора, и как следствие, к нарушению режима гидродинамической смазки

Предельное значение зазора , при котором еще реализуется гидродинамическая жидкостная смазка, находится из зависимости

;.

d – номинальный диаметр вала, м

– длина подшипника, м

– динамическая вязкость при рабочей температуре t, Па·с

- номинальное давление, Па

- угловая скорость вала,

 

Пример 2. Определить предельную величину зазора по износу вкладышей в ПЖТ валков клети дуо 1150× 2800

Исходные данные:

длина втулки подшипника 620 мм

внутренний диаметр втулки подшипника 690 мм;

давление металла на валки 17 МН;

частота вращения валков 120 об./мин

посадка подшипника E9/h8 ()

Смазочный материал И-Т-В-460

Рабочая температура ПЖТ 50

Решение. Предельное значение зазора

Предельное значение зазора найдём из зависимости

Находим:

a. значения угловой скорости и номинального давления

b. значение динамической вязкости при рабочей температуре.

 

Кинематическая вязкость смазочного материала И-Т-В-460 при эталонной температуре 40

,

тогда динамическая вязкость

где плотность смазочного материала,

Динамическая вязкость при рабочей температуре 50

тогда

Предельное значение зазора ,

Принимаем предельное значение зазора ,

 

 


Поделиться с друзьями:

mylektsii.su - Мои Лекции - 2015-2026 год. (0.917 сек.)Все материалы представленные на сайте исключительно с целью ознакомления читателями и не преследуют коммерческих целей или нарушение авторских прав Пожаловаться на материал