Студопедия

Главная страница Случайная страница

КАТЕГОРИИ:

АвтомобилиАстрономияБиологияГеографияДом и садДругие языкиДругоеИнформатикаИсторияКультураЛитератураЛогикаМатематикаМедицинаМеталлургияМеханикаОбразованиеОхрана трудаПедагогикаПолитикаПравоПсихологияРелигияРиторикаСоциологияСпортСтроительствоТехнологияТуризмФизикаФилософияФинансыХимияЧерчениеЭкологияЭкономикаЭлектроника






Натягом.






 

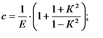
В соединениях с натягом должна быть обеспечена возможность передачи заданного крутящего момента, для которого в первом приближении величина натяга, в случае тепловой посадки, находится из зависимости

По полученному значению для соединения выбирается посадка с натягом (табл.), диапазон отклонений которой охватывает значение

Если при эксплуатации такого соединения требуется многократная пере прессовка, то величина натяга должна находиться в упруго - пластической или упругой зонах контакта (ННУК), которые реализуется для заданной комплексной характеристики шероховатости при величине натяга

В других случаях виды контакта устанавливаются по величине натяга из следующих зависимостей:

ННПК

(ненасыщенный пластический контакт)

НПК

(насыщенный пластический контакт)

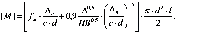
Где НВ - твёрдость менее твёрдой поверхности в

сопряжении, МПа;

Е – модуль упругости, МПа;

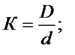
D – наружный диаметр ступицы, м;

D – диаметр вала, м.

Как правило, в соединениях с натягом, если не принимать специальных мер по подготовке контактирующих поверхностей, реализуется ННПК или НПК. Как видно, граничным условием перехода одного вида контакта в другой является равенство

Для выявления возможности передачи соединением заданного крутящего момента М, при установленном виде контакта, находятся максимальные величины крутящего момента для крайних значений отклонений посадки, по следующим зависимостям

ННУК

ННПК

НПК

- молекулярную составляющую коэффициента трения принимать равной 0, 12.

Значение [ , при котором , является предельным, при котором эксплуатация соединения недопустима.

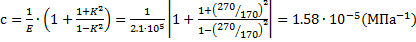
Пример 2.3. Определить минимальную величину натяга, обеспечивающей передачу заданного крутящего момента зубчатой муфтой МЗП со следующими характеристиками:

Внутренний диаметр вала, d = 170 мм

Диаметр ступицы, D = 270 мм

Длина посадочной поверхности ступицы.

Передаваемый крутящий момент, =

Комплексная характеристика шероховатости вала Δ =

Твёрдость материала вала НВ = 3000МПа

Твёрдость материала ступицы НВ = 2500МПа

Решение.

1. в первом приближении величину натяга определяем из зависимости

При коэффициенте упругости

,

2. выбираем посадку, обеспечивающую данный натяг из табл.1.3.3.,

3. находим граничное условие

4. так как выполняется условие

то, в соединении реализуется насыщенный пластический контакт.

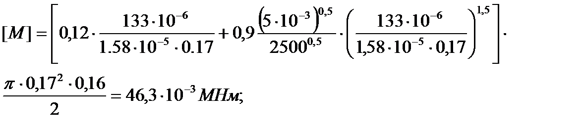
5. Определяем величины моментов, которые могут быть переданы данным соединением в условиях НПК.

Для величины натяга 133мкм

Для величины натяга 68 мкм

При минимальной величине натяга равной 68 мкм передача заданного крутящего момента равного 23кНм не обеспечивается.

Заданный крутящий момент может быть передан только при нижнем значении натяга, равном 100 мкм в, либо дополнительно требуется выполнить шпоночное соединение.


Поделиться с друзьями:

mylektsii.su - Мои Лекции - 2015-2026 год. (1.985 сек.)Все материалы представленные на сайте исключительно с целью ознакомления читателями и не преследуют коммерческих целей или нарушение авторских прав Пожаловаться на материал