Студопедия

Главная страница Случайная страница

КАТЕГОРИИ:

АвтомобилиАстрономияБиологияГеографияДом и садДругие языкиДругоеИнформатикаИсторияКультураЛитератураЛогикаМатематикаМедицинаМеталлургияМеханикаОбразованиеОхрана трудаПедагогикаПолитикаПравоПсихологияРелигияРиторикаСоциологияСпортСтроительствоТехнологияТуризмФизикаФилософияФинансыХимияЧерчениеЭкологияЭкономикаЭлектроника






Ппппппппппппппп






Паскаль дегеніміз: ; H∙ м-2; .

Планетаның массасы М, радиусы R. Планета бетiндегi еркiн тү су ү деуі қ андай: ; ; .

Планетаның массасы мен радиусы Жердiкiмен бiрдей R=6, 4 106м, М=6 1024кг. Планетьаның экваторындағ ы еркiн тү су ү деуi нө лге тең. Планетаның бұ рыштық жылдамдығ ы неге тең? E) 0, 0012 рад/c.

Потенциалдық энергия деп нені айтамыз: Денелердің немесе дене бө ліктерінің ө зара орналасуына байланысты болатын энергияны айтамыз; серіппенің деформациялану энергиясын айтады; Дененің жерге салыстырғ анда орналасуына қ атысты энергияны айтады.

Потенциялық деп қ андай энергияны айтуғ а болады: серпімді деформацияланғ ан дененің энергиясын; ауырлық кү ш ө рісіндегі дененің энергиясын; нормалауғ а болатын энергияны.

Потенциялық деп қ андай энергияны айтуғ а болады? C) серпімді деформацияланғ ан дененің энергиясын;

Потенциялық шұ ң қ ыр туралы қ ай тұ жырымдұ рыс: Потенциялық шұ ң қ ырдағ ы бө лшек азғ антай аймақ та ғ ана қ озғ ала алады; Потенциялық шұ ң қ ырда орнық ты тепе-тең діктің шарты болып табылатын потенциялық энергияның минимумді; Бө лшек қ озғ алысы финитті.

Потенциялық энергия деген не: бір нү ктеден екінші нү ктеге ө ткендегі кему шамасы осы нү ктелер арасындағ ы кез -келген жолда істелетін жұ мысқ а тең физикалық шама; толық механикалық энергияның бір қ ұ раушысы болып табылады; мә ні нормалауғ а жататын энергия.

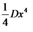
Пружинаның серiппелiк кү шi мына заң дылық пен ө згередi. Пружинаның х шамағ а ұ зарғ андағ ы потенциялық энергиясы неге тең егер х=0 болғ анда, оның потенциялық энергиясы U=0 болса: ; ; .

Пружинаның серiппелiк кү шi мына заң дылық пен ө згередi. Пружинаның х шамағ а ұ зарғ андағ ы потенциялық энергиясы неге тең егер х=0 болғ анда, оның потенциялық энергиясы U=0 болса? C) Dx4/4

Пружинаның серпiмдi кү шi мына тү рде жазылады Пружинаның потенциялық энергиясының дұ рыс тү рiн табың дар? D) U = kx2/2 - ax4 /4 + bx6/6; +

Пуазейль формуласында сұ йық шығ ыны қ андай шамаларғ а пропорционал: қ ысымдар айырымытың бiр дә режесiне; тү тіктің радиусының тө рт дә режесiне; тұ тқ ырлық коэффицентінің минус бір дә режесiне.

Пуазейль формуласында сұ йық шығ ыны тү тiк радиусының қ андай дә режесiне пропорционал? D) тө ртiншi дә режесiне; +


Поделиться с друзьями:

mylektsii.su - Мои Лекции - 2015-2026 год. (0.801 сек.)Все материалы представленные на сайте исключительно с целью ознакомления читателями и не преследуют коммерческих целей или нарушение авторских прав Пожаловаться на материал