Студопедия

Главная страница Случайная страница

КАТЕГОРИИ:

АвтомобилиАстрономияБиологияГеографияДом и садДругие языкиДругоеИнформатикаИсторияКультураЛитератураЛогикаМатематикаМедицинаМеталлургияМеханикаОбразованиеОхрана трудаПедагогикаПолитикаПравоПсихологияРелигияРиторикаСоциологияСпортСтроительствоТехнологияТуризмФизикаФилософияФинансыХимияЧерчениеЭкологияЭкономикаЭлектроника






Рррррррррррррр






Радиусi 50 м айналымнан бұ рылғ ан кездегi трамвайдың центрге тартқ ыш ү деуi қ анша, егер де трамвай 5 м/с жылдамдық пен қ озғ алып келе жатса? B) 0.5 м/с2; +

Радиустары бірдей тұ тас цилиндр мен шар кө лбеу жазық тық пен сырғ анамай бірдей биіктікпен домалап келеді. Шар мен цилиндрдің жылдамдық тарының қ атынасы қ андай? C) шардың жылдамдығ ы ү лкен;

Радиусы R дө ң гелек орбита бойынша жер серігінің Жерді айналу периоды орбитаның радиусының дә режесіне пропорционал: 1; ; .

Радиусы R дө ң гелек орбитамен айналатын Жер серiгiнiң айналым периоды пропорционал: B) R3/2;

Радиусы R массасы m тұ тас бiртектi цилиндр геометриялық симметрия ө сiн айнала  бұ рыштық жылдамдық пен айналып тұ р. Қ ай жауапта импульc , импульс моментi жә не энергия Е дұ рыс кө рсетiлген? B) , , E = J  /2, мұ нда J=mR2/2

Радиусы R обруч горизонтал бетпен сырғ анамай домалап келеді. Обручтың ең жоғ арғ ы нү ктенің траекториясының қ исық тық радиусы неге тең? E) 4R.

Радиусы R, массасы m бiртектi шар қ озғ алмайтын ө стi  жылдамдық пен айналады. Ө сь шар бетiне жанама бойымен орналасақ ан. Осы қ озғ алыстың кинетикалық энергиясы Е неге тең? D) E = (7/10)mR2 2

Радиусі 50 м айналымнан бұ рылғ ан кездегі трамвайдың центрге тартқ ыш ү деуі қ анша, егер де трамвай 5 м/с жылдамдық пен қ озғ алып келе жатса: 0.5 м/с2; 0, 0005км/с2; 50 см/с2.

Рейнольдс санының дұ рыс жазылғ анын кө рсетiң iз. ( -динамикалық тұ тқ ырлық, ν -кинематикалық тұ тқ ырлық, v-сипаттауыш жылдамдық, -сұ йық тығ ыздығ ы, R-радиус, d-сипаттауыш диаметр): ; Re=Vd/ν; Re=V2R/ν.

Рейнольдс санының физикалық мағ ынасы не: инерциялық кү штiң тұ тқ ырлық кү шiне қ атынасы; ламинарлық ағ ыстан турбуленттік ағ ысқ а ө ту; тұ тқ ыр сұ йық тық пен газағ ысының ұ қ састық критериі.

Релятивистiк бө лшектiң импульсi дегенiмiз не? B) Релятивистiк массаның жылдамдық а кө бейтiндiсi; C) Бiр денелердiң екiншiлерге ә серiн сипаттайтын векторлық шама

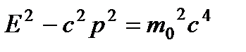
Релятивистiк бө лшектiң энергиясы мен импульсiнiң байланысы қ андай: ; ; .

Релятивистiк емес бө лшектiң энергиясы мен импульciнiң байланысы қ андай: ; E=1/2mp-2; .

Релятивистік бө лшектің импульсі дегеніміз не: релятивистік массаның жылдамдық қ а кө бейтіндісі; релятивистік массаның жарық жылдамдығ ына жақ ын жылдамдық қ а кө бейтіндісі; m∙ v-ғ а тең шама, мұ ндағ ы m- релятивистік масса.


Поделиться с друзьями:

mylektsii.su - Мои Лекции - 2015-2026 год. (1.325 сек.)Все материалы представленные на сайте исключительно с целью ознакомления читателями и не преследуют коммерческих целей или нарушение авторских прав Пожаловаться на материал