Студопедия

Главная страница Случайная страница

КАТЕГОРИИ:

АвтомобилиАстрономияБиологияГеографияДом и садДругие языкиДругоеИнформатикаИсторияКультураЛитератураЛогикаМатематикаМедицинаМеталлургияМеханикаОбразованиеОхрана трудаПедагогикаПолитикаПравоПсихологияРелигияРиторикаСоциологияСпортСтроительствоТехнологияТуризмФизикаФилософияФинансыХимияЧерчениеЭкологияЭкономикаЭлектроника






Теплопроводность через многослойную цилиндрическую стенку






Предположим, что цилиндрическая стенка состоит из трех плот­но прилегающих друг к другу слоев. Температура внутренней по­верхности стенки t'ст, наружной t'ст,; коэффициенты теплопровод­ности слоев λ 1, λ 2, λ 3; диаметры слоев d1 d2, d3, d4. Температура каждого слоя стенки изменяется по логарифмической кривой. Общая температурная кривая представляет собой ломаную лога­рифмическую кривую. При стационарном режиме через все слои проходит один и тот же тепловой поток. Для каждого слоя тепловой поток будет равен

Решая полученные уравнения относительно разности темпе­ратур и почленно складывая, получаем

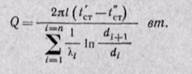
откуда

(23-17)

Для многослойной цилиндрической стенки, имеющей n слоев,

(23-18)

Вводя в уравнение теплового потока (23-18) эквивалентный коэф­фициент теплопроводности, получим

(23-19)

Величина эквивалентного коэффициента теплопроводности для цилиндрической стенки определяется так же, как и для плоской. Из сравнения двух уравнений (23-18) и (23-19) имеем

(23-20)

Температуры между слоями находим из следующих уравнений:

(23-21)

 


Поделиться с друзьями:

mylektsii.su - Мои Лекции - 2015-2026 год. (0.312 сек.)Все материалы представленные на сайте исключительно с целью ознакомления читателями и не преследуют коммерческих целей или нарушение авторских прав Пожаловаться на материал