Студопедия

Главная страница Случайная страница

КАТЕГОРИИ:

АвтомобилиАстрономияБиологияГеографияДом и садДругие языкиДругоеИнформатикаИсторияКультураЛитератураЛогикаМатематикаМедицинаМеталлургияМеханикаОбразованиеОхрана трудаПедагогикаПолитикаПравоПсихологияРелигияРиторикаСоциологияСпортСтроительствоТехнологияТуризмФизикаФилософияФинансыХимияЧерчениеЭкологияЭкономикаЭлектроника






Дисперсия.






3. Среднее квадратическое отклонение.

4. Коэффициент вариации.

5. Размах вариации.

 

43. По формуле рассчитывается:

Варианты ответа:

1. Среднее линейное отклонение.

2. Дисперсия.

Среднее квадратическое отклонение.

4. Коэффициент вариации.

5. Размах вариации.

 

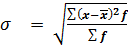
44. По формуле рассчитывается:

Варианты ответа:

1. Среднее линейное отклонение.

2. Дисперсия.

3. Среднее квадратическое отклонение.

4. Коэффициент вариации.

Размах вариации.

45. Выберите формулу простого среднеквадратического отклонения:

Варианты ответа:

1.

 

2.

 

3.

4. ;

 

5. .

46. При каком значении коэффициента вариации совокупность считается наиболее однородной (выровненной)?

 

Варианты ответа:

 

1. 85%.

2.60%.

3.50%.

4.40%.

5.10%.

47. Чем объясняется факторная (или межгрупповая) дисперсия?

 

Варианты ответа:

 


Поделиться с друзьями:

mylektsii.su - Мои Лекции - 2015-2026 год. (2.171 сек.)Все материалы представленные на сайте исключительно с целью ознакомления читателями и не преследуют коммерческих целей или нарушение авторских прав Пожаловаться на материал