Студопедия

Главная страница Случайная страница

КАТЕГОРИИ:

АвтомобилиАстрономияБиологияГеографияДом и садДругие языкиДругоеИнформатикаИсторияКультураЛитератураЛогикаМатематикаМедицинаМеталлургияМеханикаОбразованиеОхрана трудаПедагогикаПолитикаПравоПсихологияРелигияРиторикаСоциологияСпортСтроительствоТехнологияТуризмФизикаФилософияФинансыХимияЧерчениеЭкологияЭкономикаЭлектроника






Влиянием изучаемых факторов.






2. Влиянием однородности совокупности.

3. Влиянием размаха вариации.

4. Влиянием средней величины.

5. Влиянием коэффициента вариации.

48. Чем объясняется остаточная (или средняя внутригрупповых) дисперсия?

Варианты ответа:

 

1. Влиянием средней величины.

Влиянием остальных факторов за исключением фактора положенного в основу группировки.

3. Влиянием однородности совокупности.

4. Влиянием размаха вариации.

5. Отсутствием влияния других факторов.

49. Чем объясняется общая дисперсия?

Варианты ответа:

 

1. Влиянием размаха вариации.

2. Влиянием однородности совокупности.

Влиянием всех факторов.

4. Влиянием коэффициента вариации.

5. Влиянием средней величины

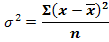
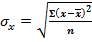
50. Что такое дисперсия признака?

 

Варианты ответа:

 

1. .

2. .

3. .

4. .

5. .

51. Что представляет собой выборочный метод?

Варианты ответа:

 


Поделиться с друзьями:

mylektsii.su - Мои Лекции - 2015-2026 год. (1.267 сек.)Все материалы представленные на сайте исключительно с целью ознакомления читателями и не преследуют коммерческих целей или нарушение авторских прав Пожаловаться на материал