Студопедия

Главная страница Случайная страница

КАТЕГОРИИ:

АвтомобилиАстрономияБиологияГеографияДом и садДругие языкиДругоеИнформатикаИсторияКультураЛитератураЛогикаМатематикаМедицинаМеталлургияМеханикаОбразованиеОхрана трудаПедагогикаПолитикаПравоПсихологияРелигияРиторикаСоциологияСпортСтроительствоТехнологияТуризмФизикаФилософияФинансыХимияЧерчениеЭкологияЭкономикаЭлектроника






Круглое наружное центровое шлифование с продольной подачей






 

Черновое шлифование:

 

Инструмент: шлифовальный круг 1 250х25х32 25A F40 K 6 V 35 м/с А 1 кл. ГОСТ 2424-83.

 

Определим основные параметры резания при шлифовании: [4]

 

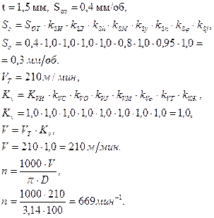
Глубина шлифования t=0, 02 мм; [10]

Скорость вращения шлифовального круга vк=35 м/с;

Частота вращения шлифовального круга:

Припуск на шлифование z=0, 7 мм;

 

Окружная скорость заготовки:

где - диаметр обрабатываемой поверхности,

- частота вращения заготовки;

, ;

;

 

Выберем параметры по: [4]

 

Продольная подача:

Чистовое шлифование:

Инструмент: шлифовальный круг 1 250х25х32 25A F40 K 6 V 35 м/с А 1 кл. ГОСТ 2424-83.

Определим основные параметры резания при шлифовании: [4]

 

Глубина шлифования t=0, 005 мм; [10]

Скорость вращения шлифовального круга vк=35 м/с;

Частота вращения шлифовального круга:

 

Припуск на шлифование z = 0, 4 мм;

 

Окружная скорость заготовки:

где - диаметр обрабатываемой поверхности,

- частота вращения заготовки;

, ;

 

;

 

Выберем параметры по: [4]

Продольная подача:

 

Тонкое шлифование:

 

Инструмент: шлифовальный круг 1 250х25х32 25A F40 K 6 V 35 м/с А 1 кл. ГОСТ 2424-83.

 

Определим основные параметры резания при шлифовании: [4]

Глубина шлифования t=0, 001 мм; [10]

Скорость вращения шлифовального круга vк=35 м/с;

Частота вращения шлифовального круга:

 

Припуск на шлифование z = 0, 1 мм;

 

Окружная скорость заготовки:

где - диаметр обрабатываемой поверхности,

- частота вращения заготовки;

, ;

 

;

 

 

Выберем параметры по: [4]

Режимы резания на остальные обрабатываемые поверхности назначим по справочнику [6] и полученные результаты сведём в таблицу (таблицу 3.3)

Поверхность 3

Черновая токарная

 

 

Получистовая токарная

 

Поверхность 1

 

Черновое растачивание Получистовое растачивание

Поверхность 2

Черновое растачивание Получистовое растачивание

Поверхность 3, 4

Черновое токарная Получистовое токарная

 

 

Поверхность 5, 6

Черновая токарная Получистовая токарная

Поверхность 9, 10

Черновая подрезка торца Получистовая подрезка торца

 

Поверхность 11

Черновая токарная Получистовая токарная

 

Таблица 3.3.Режимы резания на остальные обрабатываемые поверхности

 

№ пов. Метод обработки  
           
  1) Черновое растачивание   S=1, 04м/мин    
2) Получистовое растачивание 1, 5 S=0, 887м/мин    
3) Черновое шлифование 0, 06 Vsпр=6, 763 м/мин  
4) Чистовое шлифование 0, 02 Vsпр=6, 763 м/мин  
5) Хонингование 0, 005 - -
  1) Черновое растачивание          
2) Получистовое растачивание 1, 5 0, 4    
3)Черновое шлифование   0, 04 Vsпр=2, 34 м/мин  
4) Чистовое шлифование 0, 02 Vsпр=2, 34 м/мин  
  1) Черновая токарная   1, 3 112, 7  
2) Получистовая токарная 1, 5 0, 88    
3) Черновое шлифование 0, 04 Vsпр=1, 54 м/мин 44, 6 56, 5
4) Однократное шлифование 0, 02 Vsпр=1, 54 м/мин 44, 6 56, 5
  1) Черновая токарная   1, 3    
2) Получистовое точение 1, 5 0, 88    
3) Черновое шлифование 0, 04 Vsпр=1, 54 м/мин 55, 7
4) Чистовое шлифование 0, 02 Vsпр=1, 54 м/мин 55, 7
5) Тонкое шлифование 0, 005 Vsпр=1, 54 м/мин 55, 7
  1)Черновая токарная   1, 3    
2)Получистовая токарная 1, 5 0, 82    
  1) Черновая токарная   1, 3    
2) Получистовая токарная 1, 5 0, 82    
  1)Сверление   0, 2 34, 5  
  1) Черновое фрезерование   0, 84    
  1)Черновая токарная 2, 2 0, 83    
2)Получистовая токарная 1, 5 0, 63    
  1)Черновая токарная 2, 2 0, 83    
2) Получистовая токарная 1, 5 0, 63    
  1)Черновое точение   1, 3 236, 5  
2)Получистовое точение 1, 5 0, 82    

 


Поделиться с друзьями:

mylektsii.su - Мои Лекции - 2015-2026 год. (0.524 сек.)Все материалы представленные на сайте исключительно с целью ознакомления читателями и не преследуют коммерческих целей или нарушение авторских прав Пожаловаться на материал