Студопедия

Главная страница Случайная страница

КАТЕГОРИИ:

АвтомобилиАстрономияБиологияГеографияДом и садДругие языкиДругоеИнформатикаИсторияКультураЛитератураЛогикаМатематикаМедицинаМеталлургияМеханикаОбразованиеОхрана трудаПедагогикаПолитикаПравоПсихологияРелигияРиторикаСоциологияСпортСтроительствоТехнологияТуризмФизикаФилософияФинансыХимияЧерчениеЭкологияЭкономикаЭлектроника






Расчет оголовка.






Опорная плита.

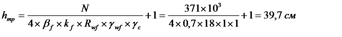
Для узла толщину плиты принимаем конструктивно . Для узла толщина плиты должна быть проверена на срез по формуле [5]:

=176, 67/45*1421=2, 8см

Здесь R – опорная реакция главной балки; bf – ширина опорного ребра главной балки.

Горизонтальные сварные швы Ш1 принимаем конструктивно:

, см табл. 38 [1].

.

Здесь tmin – толщина стенки ветви (см. п. 14.1.7г [1]).

Для исключения работы плиты на изгиб предусматриваем диафрагму 1.

Размер диафрагмы.

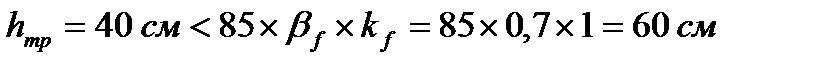
Высоту диафрагмы принимают по требуемой длине швов Ш2 ее прикрепления к планкам и не менее . При минимальном катете этих швов (см. табл. 38 [1]) максимальная длина швов Ш2 равна .

 

Принимаем высоту диафрагмы в пределах:

;

Тогда требуемый катет швов Ш2:

.

 

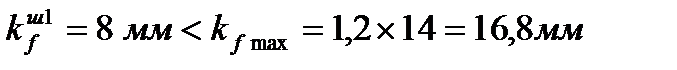
Назначаем катет шва .

Рассмотрим второй вариант. Для повышения технологичности конструкции следует попытаться уменьшить катет шва.

 

Изм.
Лист т
№ докум.
Подп.
Дата а
Лист  
 
СВГУ.ПИ.ПГС-21.129882.КП  
Уменьшим катет шва до значения 10 мм (то же значение, что для траверс базы). Тогда требуемая высота диафрагмы увеличится до значения:

.

.

Таким образом окончательно принимаем катет швов Ш2; .

Требуемую толщину диафрагмы определяют из условия прочности сечения по ее торцу и условия прочности на срез. Оголовках со строганной поверхностью плиты и фрезерованным торцом диафрагмы расчет в торцевом сечении ведут по величине , а горизонтальные сварные швы Ш3 назначают конструктивно. В оголовках с необработанными поверхностями – швы расчетные, а прочность диафрагмы проверяют по величине . Принимаем первый вариант конструкции.

Тогда требуемая толщина диафрагмы из условия прочности торца на сжатие:

,

и - см. п.7.11.2.

Требуемая толщина диафрагмы из условия прочности на срез:

.

Здесь - см. п. 5.

Принимаем

Принятая толщина находится вне диапазона толщин до 20 мм для стали С245, для которых были первоначально приняты значения и по табл. 2 и табл. В.5 приложения В [1]. Принимаем для мм по табл. 2 и табл. В.5 [1] и стали С255:

Тогда .

Принимаем окончательно диафрагму из стали С255 толщиной 34 мм.

 

Размер планок.

Толщина планок принимается: .

Принимаем .

 

 

СПИСОК ЛИТЕРАТУРЫ

 

  1. СП 16.13330.2011. Стальные конструкции/ Актуализированная редакция СНиП II-23-81*/ Мин. Регион. Развития Р.Ф. 2011 г.
  2. СП.20.13330.2011.Нагрузки и воздействия/ Актуализированная редакция СНиП 2.01.07-85*/ Мин. Регион. Развития Р.Ф. 2011 г.
  3. Изм.
    Лист т
    № докум.
    Подп.
    Дата а
    Лист  
     
    СВГУ.ПИ.ПГС-21.129882.КП  
    СНиП 2.01.07-85. Нагрузки и воздействия (Дополнения. Разд. 10. Прогибы и перемещения)/Госстрой СССР. – М.: ЦИТП Госстроя СССР, 1988.- 8с.
  4. СНиП 2.03.01-84. Бетонные и железобетонные конструкции/ Госстрой СССР. – М.: ЦИТП Госстроя СССР, 1985. – 79 с.
  5. Узлы стальных конструкций производственных зданий промышленных предприятий:

Типовые конструкции, изделия и узлы зданий и сооружений. Серия 2.440-2. Выпуск 1. Шарнирные узлы балочных клеток и рамные узлы примыкания ригелей к колоннам. Чертежи КМ – М.: ЦИТП Госстроя, СССР, 1989, - 80 с.

  1. Стальные конструкции производственных зданий: справочник / А.А. Нилов, В.А. Пермяков, А.Я. Прицкер. – К.: Будивельник, 1986. – 272 с.
  2. Рабочая площадка промышленного здания: Методические указания к выполнению курсовой работы для студентов специальности 1202- промышленное и гражданское строительство – Л.: ЛИСИ, 1987.-65 с.

 


Поделиться с друзьями:

mylektsii.su - Мои Лекции - 2015-2026 год. (2.063 сек.)Все материалы представленные на сайте исключительно с целью ознакомления читателями и не преследуют коммерческих целей или нарушение авторских прав Пожаловаться на материал