Студопедия

Главная страница Случайная страница

КАТЕГОРИИ:

АвтомобилиАстрономияБиологияГеографияДом и садДругие языкиДругоеИнформатикаИсторияКультураЛитератураЛогикаМатематикаМедицинаМеталлургияМеханикаОбразованиеОхрана трудаПедагогикаПолитикаПравоПсихологияРелигияРиторикаСоциологияСпортСтроительствоТехнологияТуризмФизикаФилософияФинансыХимияЧерчениеЭкологияЭкономикаЭлектроника






Теоретическое введение. Дискретные случайные величины, их числовые характеристики






Дискретные случайные величины, их числовые характеристики

Теоретическое введение

1.1.1 Непосредственный расчет вероятностей
Событием называется эксперимент с двумя возможными исходами («да» или «нет»). Случайным называется такое событие, результат которого нельзя предсказать до проведения эксперимента.
Рассмотрим множество Ω всех возможных, взаимно исключающих друг друга, исходов некоторого испытания (эксперимента). Это множество будем называть пространством элементарных исходов, а сами эти исходы будем рассматривать, как точки ω є Ω. Число исходов, входящих в пространство Ω может быть конечным или бесконечным.
Случайное событие А есть некоторое множество точек пространства Ω, т.е. некоторое подмножество множества Ω. Если при испытании осуществился исход ω є А, то говорят, что произошло событие А. В частности, если А = Ω, то событие называется достоверным, если А = Ø, то событие называется невозможным.
С каждым событием А связывается число р (А) – вероятность события А, отражающее степень объективной возможности наступления этого события. Вероятность достоверного события равна единице, вероятность невозможного события равна нулю, для всех остальных событий А: 0 < p (A) < 1.
Наиболее просто вероятность находится в классической модели – эксперименте удовлетворяющем двум условиям:
1) множество элементарных исходов конечно Ω = {ω 1, ω 2,..., ω N };
2) все исходы испытания равновозможны.
Равновозможность исходов устанавливается либо из соображений симметрии, как при подбрасывании монеты (мы считаем, что герб и решка равновозможны), при бросании игрального кубика (выпадения любого числа очков от 1 до 6 равновозможны), либо из условия тщательного предварительного “перемешивания” исходов, как при розыгрыше лотереи, игре в карты, “Домино” и т. п.
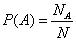
В этом случае полагают, что вероятность любого исхода события А одинакова pk = Pk) = 1/ N и вероятность любого события А равна

, (1.1)

где NA – число исходов, входящих в множество А, или, как обычно говорят, число исходов, благоприятствующих событию А; N – общее число возможных исходов.

Пример 1.1. 13 человек рассаживается за круглым столом случайным образом. Найти вероятность того, что Иванов и Петров окажутся рядом.
Решение: Пусть Иванов сел на произвольное место за столом. Для Петрова осталось 13 – 1 = 12 мест, N = 12, около Иванова есть только два соседних места, слева и справа, т. е. NA = 2, поэтому
.


Поделиться с друзьями:

mylektsii.su - Мои Лекции - 2015-2026 год. (1.299 сек.)Все материалы представленные на сайте исключительно с целью ознакомления читателями и не преследуют коммерческих целей или нарушение авторских прав Пожаловаться на материал