Студопедия

Главная страница Случайная страница

КАТЕГОРИИ:

АвтомобилиАстрономияБиологияГеографияДом и садДругие языкиДругоеИнформатикаИсторияКультураЛитератураЛогикаМатематикаМедицинаМеталлургияМеханикаОбразованиеОхрана трудаПедагогикаПолитикаПравоПсихологияРелигияРиторикаСоциологияСпортСтроительствоТехнологияТуризмФизикаФилософияФинансыХимияЧерчениеЭкологияЭкономикаЭлектроника






Теоретическое введение. Сравнение двух случайных выборок (нахождение оценок параметров распределения, проверка статистических гипотез)






Сравнение двух случайных выборок (нахождение оценок параметров распределения, проверка статистических гипотез)

Теоретическое введение

3.1.1 Точечные оценки параметров распределения
Распределение случайной величины Х характеризуется рядом параметров (математическое ожидание, дисперсия и т.д.). Эти параметры называют параметрами генеральной совокупности. Важной задачей математической статистики является нахождение по случайной выборке приближенных значений каждого из параметров, называемых точечными оценками параметров, или просто оценками. Таким образом, оценкой параметра β называется функция f (X 1, X 2,..., Xn) от случайной выборки, значение которой принимается в качестве приближенного для данного параметра и обозначается :

β ≈ = f (X 1, X 2,..., Xn). (3.1)

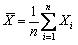
Пусть задана повторная случайная выборка X 1, X 2,..., Xn. За оценку математического ожидания a принимается среднее арифметическое элементов выборки:

(3.2)

Оценкой дисперсии σ 2 при неизвестном математическом ожидании является величина S 2, которую называют эмпирической дисперсией:

(3.3)

Оценкой среднего квадратического отклонения σ при этом является, соответственно, величина

(3.4)

Для практических расчетов формулу (3.3) целесообразно преобразовать к следующему виду:

(3.5)

Вычисление среднего значения и оценки дисперсии S 2 упрощается, если отсчет значений Xi вести от подходящим образом выбранного начала отсчета С и в подходящем масштабе, т.е. сделать линейную замену (кодирование):

Xi = C + hUi (i = 1, 2,..., n). (3.6)

При такой замене формулы (3.2), (3.3), (3.4) принимают следующий вид:

(3.7)

 

(3.8)

Для контроля правильности вычислений весь расчет следует повторить при другом начале отсчета С: результаты должны совпадать с точностью до величины возможных ошибок округления.

3.1.2 Доверительные интервалы параметров нормального распределения
Доверительным интервалом параметра β называется интервал со случайными границами ( – ε 1; + ε 2), который накрывает истинное значение параметра β с заданной вероятностью P, которая называется доверительной вероятностью. Величина α = 1 – P называется уровнем значимости. При этом обычно требуют, чтобы вероятности выхода за границы доверительного интервала в обе стороны были равны между собой, а именно:
P (β < – ε 1) = P (β > + ε 2) = (1 – P)/2 = α /2.
Это дополнительное требование обеспечивает единственность решения задачи.
Пусть задана повторная случайная выборка X 1, X 2,..., Xn из нормальной генеральной совокупности. Это означает, что результаты эксперимента независимы и подчиняются нормальному закону распределения с одинаковыми параметрами Xi ~ N (a; σ).
С вероятностью P математическое ожидание принадлежит интервалу

a є ( – ε, + ε); (3.9)

 

(3.10)

где – оценка математического ожидания (3.2); – оценка среднего квадратического отклонения σ (3.4);
t 1–α /2(k) – квантиль распределения Стьюдента с k степенями свободы; n – объем выборки; k – число степеней свободы при вычислении оценки S.
Часто доверительный интервал для математического ожидания записывают символически:

α = ± ε. (3.11)

Доверительный интервал для среднего квадратического отклонения σ при доверительной вероятности P = 1 – α имеет следующий вид:

(3.12)

где S – оценка среднего квадратического отклонения σ (1.6) при неизвестном математическом ожидании; χ P 2(k) – квантиль распределения Пирсона с k степенями свободы; k – число степеней свободы оценки S.

3.1.3 Проверка статистических гипотез
Пусть Х – наблюдаемая случайная величина. Статистической гипотезой Н называется предположение относительно параметров или вида распределения случайной величины Х. Проверяемая гипотеза называется нуль-гипотезой и обозначается Н 0. При постановке нуль-гипотезы сразу ставится альтернативная гипотеза Н 1, т.е. то предположение, которое следует принять, если нуль-гипотеза будет отвергнута.
Правило, позволяющее принять или отвергнуть гипотезу Н 0 – некоторая функция результатов эксперимента Q (X 1, X 2,..., Xn), распределение которой вполне определено при условии истинности гипотезы Н 0.
Пусть заданы две независимые выборки из двух нормальных генеральных совокупностей. Первая выборка имеет объем n 1, элементы выборки Х i(1) ~ N(a 1; σ 1); вторая – объем n2, элементы выборки Х i(2) ~ N(a 2; σ 2). Необходимо проверить гипотезу о равенстве дисперсий этих двух генеральных совокупностей, т.е. Н 0: σ 12 = σ 22. Математические ожидания a 1 и a 2 неизвестны.
В этом случае по каждой выборке находят несмещенные оценки дисперсий S 12 и S 22 с числами степеней свободы k 1 = n 1 – 1 и k 2 = n 2 – 1 соответственно. Гипотезу проверяют по критерию Фишера, функция критерия

F = S 12/ S 22 (3.13)

имеет F -распределение Фишера с k 1 и k 2 степенями свободы, т.е. F = F (k 1, k 2).
Если альтернативная гипотеза Н 1: σ 12 ≠ σ 22, то критерий Фишера рассчитывается как отношение большей по величине оценки дисперсии к меньшей:

F = (S бол)2/(S мен)2 > 1. (3.14)

Гипотеза принимается при выполнении неравенства

F < F 1–α /2(k Sбол, k Sмен), (3.15)

в противоположном случае гипотеза отвергается. Здесь k Sбол – число степеней свободы большей оценки дисперсии; k Sмен – число степеней свободы меньшей оценки дисперсии.
Если гипотеза о равенстве дисперсий принимается, то за оценку общей σ может быть взята , полученная по формуле для сводной оценки дисперсии:

(3.16)

где S 12, S 22 – несмещенные оценки дисперсии первой и второй выборок соответственно.
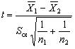
Пусть заданы две независимые выборки из двух нормальных генеральных совокупностей. Первая выборка имеет объем n 1, элементы выборки Х i(1) ~ N(a 1; σ 1); вторая – объем n 2, элементы выборки Х i(2) ~ N(a 2; σ 2). Математические ожидания a 1 и a 2 неизвестны.
Проверяем гипотезу о равенстве математических ожиданий этих двух генеральных совокупностей, т.е. Н 0: a 1 = a 2. По каждой выборке находим оценки математических ожиданий 1 и 2. При этом дисперсии σ 12 и σ 22 неизвестны, но гипотеза о равенстве дисперсий принимается; S 12 и S 22 – несмещенные оценки дисперсий первой и второй выборок. Находим сводную оценку дисперсии (3.16).
Гипотеза проверяется по критерию Стьюдента, функция критерия

(3.17)

имеет t -распределение Стьюдента с kCB степенями свободы, т.е. t = t (kCB); ­ ­ kCB = k 1 + k 2 – число степеней свободы при вычислении оценки . При альтернативной гипотезе Н 1: а 1а 2, гипотеза принимается при выполнении неравенства

| t | < t 1–α /2(kCB), (3.18)

в противоположном случае гипотеза отвергается.
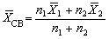
Если гипотеза о равенстве математических ожиданий принимается, то за оценку общего математического ожидания может быть взята сводная оценка математического ожидания, которая определяется как средняя по обеим выборкам:

. (3.19)

Доверительный интервал для математического ожидания при этом можно пересчитать, заменив в формулах (3.10) – (3.11) на CB; S на SCB; k на kCB = k 1 + k 2, n на n 1 + n 2.

3.1.4 Проверка гипотезы о виде распределения генеральной совокупности
Если распределение случайной величины Х не известно, можно рассмотреть гипотезу о том, что Х имеет функцию распределения F (x). Критерии значимости для проверки таких гипотез называются критериями согласия.
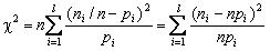
Пусть X 1, X 2,..., Xn – выборка наблюдений случайной величины Х. Проверяется гипотеза Н 0, утверждающая, что Х имеет функцию распределения F (x).
Проверку гипотезы Н 0 при помощи критерия χ 2 проводят следующим образом. По выборке находят оценки неизвестных параметров предполагаемого закона распределения случайной величины Х. Область возможных значений случайной величины Х разбивают на l интервалов. Подсчитывают числа ni попаданий результатов экспериментов в каждый i -й интервал. Используя предполагаемый закон распределения случайной величины Х, находят вероятности рi того, что значение Х принадлежит i -му интервалу. Затем сравнивают полученные частоты ni /n с вероятностями рi. Критерий согласия Пирсона требует принятия гипотезы о пригодности проверяемого распределения с уровнем значимости α, если значение взвешенной суммы квадратов отклонений

. (3.20)

меньше квантиля распределения χ 2-распределения с k = l – 1 степенями свободы, т.е. χ 2 < (χ 1–α )2(k),
в противоположном случае эта гипотеза отвергается, как противоречащая результатам эксперимента. Если при этом некоторые параметры распределения оценивают по результатам той же выборки, то квантиль χ 2-распределения следует брать для k = l – 1 – m степеней свободы, где m – число оцениваемых параметров.

3.1.5 Построение гистограммы (эмпирической функции распределения)
Для наглядного представления о выборке часто используют график, называемый гистограммой. Для построения гистограммы интервал, содержащий все элементы выборки, разбивают на l непересекающихся интервалов (как правило, равной длины). Подсчитывают числа ni попаданий результатов экспериментов в каждый i -й интервал и строят столбиковую диаграмму, откладывая по оси ординат значения средней плотности ni /(nhi), где hi – длина i -го интервала. Площадь каждого столбика равна ni /n, что соответствует относительной частоте попадания элементов выборки в i -й интервал. Площадь под всей ступенчатой фигурой равна единице.
При увеличении объема выборки и уменьшении интервалов группировки гистограмма приближается к функции плотности генеральной совокупности. Гистограмма является эмпирической функцией плотности, она дает приближенную функцию плотности генеральной совокупности (ее оценку) по случайной выборке.

Содержание типового расчета

Заданы результаты двух серий измерений (две случайные выборки) объема n 1 и n 2.
Требуется: По каждой выборке найти оценку математического ожидания, дисперсии и среднего квадратического отклонения. Предполагая, что результаты измерений в каждой серии независимы и имеют нормальное распределение, найти доверительные интервалы для математического ожидания и среднего квадратического отклонения с доверительной вероятностью Р = 0, 95. С уровнем значимости α = 0, 05 проверить гипотезы о равенстве дисперсий и о равенстве математических ожиданий этих двух выборок при альтернативных гипотезах: дисперсии не равны друг другу, математические ожидания не равны друг другу. Проверить гипотезу о нормальном распределении объединения данных двух выборок, используя интервалы равной вероятности в количестве L. Построить гистограмму объединения данных двух выборок.


Поделиться с друзьями:

mylektsii.su - Мои Лекции - 2015-2026 год. (0.888 сек.)Все материалы представленные на сайте исключительно с целью ознакомления читателями и не преследуют коммерческих целей или нарушение авторских прав Пожаловаться на материал