Студопедия

Главная страница Случайная страница

КАТЕГОРИИ:

АвтомобилиАстрономияБиологияГеографияДом и садДругие языкиДругоеИнформатикаИсторияКультураЛитератураЛогикаМатематикаМедицинаМеталлургияМеханикаОбразованиеОхрана трудаПедагогикаПолитикаПравоПсихологияРелигияРиторикаСоциологияСпортСтроительствоТехнологияТуризмФизикаФилософияФинансыХимияЧерчениеЭкологияЭкономикаЭлектроника






Пример выполнения типового расчета. 1. Первичная обработка результатов измерений Рассчитать для каждой выборки оценку математического ожидания






1. Первичная обработка результатов измерений
Рассчитать для каждой выборки оценку математического ожидания, несмещенную оценку дисперсии, оценку среднего квадратического отклонения.
Для упрощения расчетов и последующего контроля результатов вычислений следует провести кодировку данных по формуле (3.6), и найти оценки по формулам (3.7), (3.8), (3.4). Для контроля вычислений весь расчет необходимо повторить с другим началом отсчета. Результаты расчета должны совпасть с точностью до возможных ошибок округления. Пример расчета приведен в задаче 1.

Задача 1. В таблице 1 в первом столбце записаны результаты n = 18 независимых равноточных измерений величины заряда электрона q = X · 10–10 (в единицах CGSE), полученных Милликеном. Вычислить оценки математического ожидания, дисперсии и среднего квадратического отклонения величины X, провести контроль правильности расчетов.

Таблица 1. Исходные данные и результаты расчетов (к задаче 1)  
Значение X Результаты расчетов Контроль правильности расчетов  
U U 2 V V 2  
4, 761 –19   –29    
4, 792          
4, 758 –22   –32    
4, 764 –16   –26    
4, 810          
4, 799          
4, 797          
4, 790          
4, 747 –33   –43    
4, 769 –11   –21    
4, 806          
4, 779 –1   –11    
4, 785     –5    
4, 790          
4, 777 –3   –13    
4, 749 –31   –41    
4, 781     –9    
4, 799          
Сумма     –167    


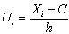
Решение. Выберем С = 4, 780 и, полагая h = 10–3, подсчитаем значения
Ui = (Xi – C) / h = (Xi – 4, 780) /10–3 и Ui 2.
Суммы чисел второго и третьего столбца дают возможность рассчитать и S 2:
= 13/18 = 0, 72;
= 4, 780 + 0, 72 · 10–3 = 4, 7807;
S 2 = 10–6(6239 – 132/18) /17 = 3, 66 · 10–4,
откуда
В последних двух столбцах приведены расчеты при другом начале отсчета С 1 = 4, 790. Новые кодированные значения обозначены как Vi = (Xi – 4, 790)/10–3. Эти расчеты приводят к тем же значениям и S:
= 167/18 = –9, 2, = 4, 790 – 9, 28 ·10–3 = 4, 7807;
S 2 = 10–6(7779 – (1672) /18) /17 = 3, 66 · 10–4, S = 1, 91 · 10–2.
Внимание! Для упрощения последующих расчетов при выборе параметров кодировки C 1(1), C 2(1) первой серии измерений и C 1(2), C 2(2) второй серии измерений следует одно из начал отсчета Cj (1), Cj (2) сделать одинаковым.

2. Построение доверительных интервалов
По условию, в каждой выборке результаты измерений независимы и имеют нормальное распределение с одинаковыми параметрами. Для каждой выборки необходимо найти доверительные интервалы для математического ожидания и среднего квадратического отклонения с доверительной вероятностью P, которую задает преподаватель. Построение доверительных интервалов для математического ожидания а и стандартного отклонения σ рассмотрено в задаче 2.
Задача 2. В задаче 1 для n = 18 результатов независимых измерений величины заряда электрона q = х · 10–10 были вычислены = 4, 7807 и S = 0, 0191. Предполагая, что результаты измерений независимы и имеют нормальное распределение с одинаковыми параметрами. построить доверительные интервалы для математического ожидания и среднего квадратического отклонения с доверительной вероятностью P = 0, 95.
Решение. По формуле (3.10) . В таблице квантилей распределения Стьюдента находим
t 1–α /2(k) = t 0, 975(17) = 2, 11. Тогда

По формуле (3.11) a = 4, 7807 ± 0, 0095, т.е. с вероятностью P = 0, 95 выполняется неравенство 4, 7712 < a < 4, 7902.
В таблице квантилей хи-квадрат распределения находим:
χ 2α /2(k) = χ 20, 025(17) = 7, 56; χ 21-α /2(k) = χ 20, 975(17) = 30, 2.
По формуле (3.12) получаем
0, 0191 < σ < 0, 0191 ,
откуда
σ є (0, 0143; 0, 0287),
т.е. среднее квадратическое отклонение заключено между 0, 0143 и 0, 0287 с вероятностью 0, 95.

3. Проверка гипотез о равенстве дисперсий, о равенстве математических ожиданий
Проверить гипотезу о равенстве дисперсий в двух сериях измерений Н 0: σ 12 = σ 22 (математические ожидания a 1 и a 2 неизвестны) с уровнем значимости α при альтернативной гипотезе Н 1: σ 12 ≠ σ 22.
Если гипотеза о равенстве дисперсий отвергается, перейти к проверке гипотезы о нормальном распределении объединения двух случайных выборок, рассмотренной в следующем пункте. Если же гипотеза о равенстве дисперсий не противоречит экспериментальным данным, найти сводную оценку дисперсии (3.16) и построить доверительный интервал для σ, используя сводную оценку дисперсии.
Проверка указанной гипотезы рассмотрена в задачах 3 и 4.

Задача 3. По случайной нормальной выборке объема n 1 = 11 найдена выборочная дисперсия S 12 = 0, 373. По другой случайной нормальной выборке объема n 2 = 9 также найдена выборочная дисперсия S 22 = 0, 0955. Проверить гипотезу о равенстве дисперсий Н 0: ­ ­ σ 12 = σ 22 при альтернативной гипотезе Н 1: ­ ­ σ 12 ≠ σ 22 с уровнем значимости α = 0, 05. Если гипотеза о равенстве дисперсий не противоречит экспериментальным данным, найти сводную оценку дисперсии и построить доверительный интервал для σ, используя сводную оценку дисперсии, с доверительной вероятностью P = 0, 95.
Решение. Вычислим отношение большей дисперсии S 12 к меньшей S 22 по формуле (3.14): . По таблице квантилей распределения Фишера найдем F 0, 975(10; 8) = 4, 30. Так как отношение выборочных дисперсий F = 3, 91 меньше значения квантили 4, 30, гипотеза о равенстве дисперсий принимается (см. формулу (3.15)), как не противоречащая результатам эксперимента с уровнем значимости 0, 05. Тогда можно вычислить сводную оценку дисперсии (3.16):

с числом степеней свободы kCB = k 1 + k 2 = 10 + 8 = 18.
Рассчитаем доверительный интервал для σ. По таблице квантилей хи-квадрат распределения находим: χ 2α /2(k) = χ 20, 025(18) = 8, 23; χ 21–α /2(k) = χ 20, 975(18) = 31, 5.
По формуле (3.12) получаем: 0, 5 < σ < 0, 5 , откуда 0, 378 < σ < 0, 739.

Задача 4. Задача аналогична задаче 3, но с другими исходными данными: n 1 = 26; ­ ­ S 12 = 0, 395; ­ ­ n 2 = 19; ­ ­ S 22 = 1, 67.
Решение. Найдем отношение большей дисперсии S 22 к меньшей S 12: ­ ­ . По таблице квантилей распределения Фишера находим F 0, 975(18; 25) = 2, 35.
Так как отношение выборочных дисперсий F = 4, 23 больше значения квантили 2, 35, гипотезу о равенстве дисперсий отвергаем с уровнем значимости α = 0, 05.
Затем необходимо проверить гипотезу о равенстве математических ожиданий в двух сериях измерений Н 0: ­ а 1 = а 2 при альтернативной гипотезе Н 1: ­ а 1а 2 с уровнем значимости α. Если гипотеза о равенстве математических ожиданий отвергается, перейти к выполнению следующего пункта. Если же гипотеза о равенстве математических ожиданий не противоречит экспериментальным данным, найти сводную оценку математического ожидания и доверительный интервал для математического ожидания, используя сводную оценку дисперсии.
Проверка гипотезы о равенстве математических ожиданий рассмотрена в задачах 5 и 6.

Задача 5. По двум случайным нормальным выборкам получены выборочные средние 1 = 12, 95 и 2 = 12, 13. Объемы выборок равны соответственно n 1 = 12 и n 2 = 15. Дисперсии обеих выборок одинаковы. Сводная оценка среднего квадратического отклонения SCB = 0, 872 с числом степеней свободы kCB = 25. Проверить гипотезу H 0 о равенстве математических ожиданий при альтернативной гипотезе H 1: ­ а 1а 2 с уровнем значимости α = 0, 05. Если гипотеза о равенстве математических ожиданий не противоречит экспериментальным данным, найти сводную оценку математического ожидания и доверительный интервал для математического ожидания, используя сводную оценку математического ожидания и сводную оценку дисперсии с доверительной вероятностью P = 0, 95.
Решение. Найдем значение критерия Стьюдента t по формуле (3.17):

По таблице квантилей распределения Стьюдента t 0, 975(25) = 2, 06. Так как вычисленное значение | t | = 2, 43 больше этого значения, гипотезу о равенстве математических ожиданий отвергаем с уровнем значимости α = 0, 05 (см. формулу (3.18)).

Задача 6. Задача аналогична задаче 5, но с другими исходными данными: 1 = 27, 43; n 1 = 16; 2 = 28, 76; n 2 = 21; SCB = 2, 35; kCB = 35.
Решение. Найдем значение критерия Стьюдента t по формуле (3.17):

По таблице квантилей распределения Стьюдента t 0, 975(35) = 2, 03. Так как вычисленное значение | t | = 1, 71 меньше табличного, гипотезу о равенстве математических ожиданий принимаем как не противоречащую выборочным данным с уровнем значимости 0, 05. Сводную оценку математического ожидания определим по формуле (3.19)

доверительный интервал для математического ожидания по формулам (3.10) и (3.11):
= t 0, 975(35) 2, 35 = 0, 78;
a = CB ± ε = 28, 18 ± 0, 78.

4. Проверка гипотезы о нормальном распределении объединения двух случайных выборок
На этом этапе расчета следует проверить гипотезу о нормальном распределении объединения двух заданных случайных выборок, величину уровня значимости α выбрать ту же, что и в предыдущем пункте расчета.
Для проверки гипотезы о нормальном распределении случайной величины Х по критерию согласия Пирсона весь диапазон возможных значений этой величины разбивается на l интервалов (значение l задано в условии типового расчета), вычисляется pi – вероятность попадания в каждый из интервалов (i = 1, 2,..., l). Затем вычисляется величина χ 2 по формуле (3.20) и сравнивается с квантилью χ 21–α (k) распределения Пирсона. Так как для вычисления вероятностей pi параметры нормального распределения оцениваются по той же выборке, по которой строится критерий согласия, то число степеней свободы k = l – 3. Если χ 2 > χ 21–α (k), гипотеза отвергается при заданном уровне значимости α = 1 – P. Если χ 2 < χ 21–α (k), гипотеза принимается, как не противоречащая результатам эксперимента.
В общем случае вероятности pi определяются с помощью интеграла вероятностей Φ (t). При этом оценками параметров нормального распределения являются и S, найденные по объединению данных двух выборок. За оценку математического ожидания принимается среднее арифметическое по объединению двух выборок (3.19).
Оценка среднего квадратического отклонения σ объединения выборок зависит от результата проверки гипотезы о равенстве математических ожиданий этих выборок. Если гипотеза о равенстве математических ожиданий принимается, то за оценку σ может быть взята , полученная по формуле для сводной оценки дисперсии (3.15).
Если гипотеза о равенстве математических ожиданий отвергнута, необходимо рассчитать несмещенную оценку дисперсии объединения выборок по основной формуле (3.3):

(3.21)

Чтобы не выполнять заново расчет оценок дисперсии, можно использовать следующий прием. Для упрощения расчетов и организации контроля при нахождении оценок математического ожидания и дисперсии по выборкам исходные данные рекомендуется кодировать (см. формулу (3.8)): ­ , и расчет Sj 2 вести по формуле (3.10):

Если заранее выбрать h и C одинаковыми для обеих выборок, расчет оценки дисперсии объединения выборок может быть выполнен по формуле:

, (3.22)

где первая сумма квадратов кодированных данных относится к первой выборке, вторая – ко второй.
При расчетах будем использовать интервалы равной вероятности, т.е. весь диапазон возможных значений случайной величины разобъем на такие интервалы, чтобы вероятности pi попадания в каждый из них были бы одинаковы, т.е. pi = 1/ l. Для нахождения границ таких интервалов xi необходимо с помощью интеграла вероятностей Φ (t) найти границы интервалов равной вероятности ui для случайной величины U, имеющей стандартное нормальное распределение. Тогда оценочные границы интервалов равной вероятности xi случайной величины Х могут быть найдены по формуле

xi = + Sui. (3.23)

Затем для получения χ 2 необходимо найти числа ni значений величины Х, принадлежащих каждому полученному интервалу, и произвести вычисления по формуле (3.20).

Задача 7. Проверить гипотезу о нормальности распределения величины Х по случайной выборке объема n = 51, выбрав число интервалов равной вероятности l = 5. Оценки параметров нормального распределения: = 28, 23; S = 2, 37.
Решение. Если число интервалов равной вероятности l = 5, то вероятность попадания в каждый из этих интервалов p = 1/ l = 0, 2.
Найдем границы этих интервалов ui для случайной величины со стандартным нормальным распределением.
Если разбить область под графиком функции плотности стандартного нормального распределения на криволинейные трапеции равной площади, то площадь каждой трапеции будет равна р = 0, 2 (рис. 1), а границы оснований этих трапеций будут искомыми числами ui. Следовательно, ui – соответствующие квантили стандартного нормального распределения. Для их нахождения в первом столбце результатов расчета таблицы (табл. 2) записываем значения функции распределения F (u) в искомых точках ui (вероятность попадания случайной величины U левее этой точки). Это будут числа, кратные р = 0, 2, начиная с нуля (что соответствует левой бесконечной границе) и кончая единицей (соответствует правой бесконечной границе). Во втором столбце записываем значения интеграла вероятности Φ (u) в искомых точках: Φ (u) = F (u) – 0, 5. Используя таблицу значений функции Φ (u), находим для положительных значений функции Φ (u) значения ui как обратной к функции Φ (u), т.е. по известным значениям функции определяем соответствующие значения аргументов. Для отрицательных значений функции Φ (u) используем свойство нечетности этой функции: Φ (– u) = – Φ (u).


Рис. 1. Пример разбиения области под графиком функции плотности вероятностей на криволинейные трапеции равной площади


При нахождении ui по значению Φ (ui) используем метод линейной интерполяции. Например, значения Φ (u) = 0, 1 в таблице нет. Выписываем ближайшие значения Φ (u): 0, 0987 и 0, 1026. Им соответствуют значения аргумента 0, 25 и 0, 26. Тогда
ui ≈ 0, 25 + (0, 26 – 0, 25)
Границы интервалов равной вероятности xi для рассматриваемой величины Х находим по формуле (3.5). Значения xi желательно вычислять с одним запасным знаком по сравнению с элементами случайной выборки. Это делается для того, чтобы элементы выборки, по возможности, не попадали на границы интервалов. Результаты расчетов приведены в табл. 2.

Таблица 2. Результаты расчетов границ интервалов равной вероятности (к задаче 7)
F (ui) Φ (ui) ui xi
  – 0, 5 – ∞ – ∞
0, 2 – 0, 3 – 0, 842 26, 235
0, 4 – 0, 1 – 0, 253 27, 631
0, 6 0, 1 0, 253 28, 829
0, 8 0, 3 0, 842 30, 225
1, 0 0, 5 + ∞ + ∞

Найдя границы интервалов равной вероятности, подсчитываем числа ni попадания элементов случайной выборки в каждый из l интервалов. npi = 51/5 = 10, 2. Расчет величины χ 2 по формуле (3.20) дает значение χ 2 = 46, 8/10, 2 = 4, 59. Результаты расчетов приведены в табл. 3.

Таблица 3. Результаты расчетов величины критерия χ 2 (к задаче 7)
i (xi, xi+1) ni ni - npi (ni - npi)2
  (– ∞; 26, 235)   1, 8 3, 24
  (26, 235; 27, 631)   –1, 2 1, 44
  (27, 631; 28, 829)   –5, 2 27, 04
  (28, 829; 30, 225)   3, 8 14, 44
  (30, 225; + ∞)   0, 8 0, 64
    46, 80

Сравнивая найденное значение χ 2 с квантилью χ 21–α (k) при уровне значимости α = 0, 05 и при k = 5 – 3 = 2, т.е. χ 20, 95(2) = 5, 99, замечаем, что 4, 59 < 5, 99. Следовательно, можно считать, что при заданном уровне значимости α = 0, 05, гипотеза о нормальном распределении величины Х не противоречит результатам эксперимента.

5. Построение гистограмм распределения объединения двух случайных выборок
На этом этапе расчета следует построить гистограмму распределения объединения двух заданных выборок, разбив диапазон изменения значений элементов выборок на l интервалов равной длины. В качестве l для определенности взять число интервалов равной вероятности, используемых при проверке гипотезы о нормальности распределения на предыдущем этапе расчета.
Для построения гистограммы диапазон изменения значений элементов выборки накрывают отрезком чуть более широким, чтобы наибольшее и наименьшее значения выборки являлись внутренними точками этого отрезка. Полученный отрезок разбивают на l интервалов равной длины, подсчитывают числа ni попаданий элементов выборки в каждый i -й интервал. При этом желательно, чтобы элементы выборки не попадали на границы интервалов. Затем строят столбиковую диаграмму, откладывая по оси ординат величины, пропорциональные ni (можно откладывать значения ni).

Задача 8. Построить гистограмму по случайной выборке объема n = 50. Наибольший элемент выборки 12, 73, наименьший 9, 51, значения всех элементов выборки записаны с двумя знаками после запятой. Выбрано число интервалов l = 5.
Решение. Длина диапазона изменения элементов выборки равна 12, 73 – 9, 51 = = 3, 22. Увеличим эту длину до ближайшего числа, которое при делении на l дает частное с числом знаков после запятой не большим, чем у элементов выборки. В данной задаче таким числом является 3, 25, т.е. длину диапазона необходимо увеличить на 0, 03. При этом левую границу сдвинем влево, например, на 0, 01, правую границу сдвинем вправо на 0, 02. Получаем отрезок [9, 50; 12, 75], для которого все элементы выборки являются внутренними точками. Делим отрезок на 5 интервалов равной длины, длина каждого интервала равна h = 3, 25/5 = 0, 65.
Полученное разбиение на интервалы имеет недостаток: элементы выборки могут попасть на границы интервалов. Этого можно избежать, если сдвинуть полученный выше отрезок на половину последнего разряда значений элементов выборки, т.е. на величину 0, 005. Сдвинем отрезок на эту величину, например, влево. Получим отрезок [9, 495; 12, 745] с шагом разбиения h = 0, 65. Затем подсчитаем числа ni попаданий элементов выборки в каждый интервал (табл. 4) и построим гистограмму (рис. 2.)

Таблица 4. Результаты расчетов(к задаче 8)
Номер Граница интервала ni
  (9, 495; 10, 145)  
  (10, 145; 10, 795)  
  (10, 795; 11, 445)  
  (11, 445; 12, 095)  
  (12, 0925; 12, 745)  
 

 


Рис. 2. Гистограмма

 


Поделиться с друзьями:

mylektsii.su - Мои Лекции - 2015-2026 год. (3.097 сек.)Все материалы представленные на сайте исключительно с целью ознакомления читателями и не преследуют коммерческих целей или нарушение авторских прав Пожаловаться на материал