Студопедия

Главная страница Случайная страница

КАТЕГОРИИ:

АвтомобилиАстрономияБиологияГеографияДом и садДругие языкиДругоеИнформатикаИсторияКультураЛитератураЛогикаМатематикаМедицинаМеталлургияМеханикаОбразованиеОхрана трудаПедагогикаПолитикаПравоПсихологияРелигияРиторикаСоциологияСпортСтроительствоТехнологияТуризмФизикаФилософияФинансыХимияЧерчениеЭкологияЭкономикаЭлектроника






Работа с нивелиром на станции






Для определения превышений между связующими точками, на каждой станции нивелир устанавливают посредине между ними (рис. 90). За связующие точки принимают пикеты или плюсовые точки, но чтобы расстояние между ними не более 150 м, а превышения несколько меньше длины рейки. При этом для контроля превышения на станции в комплект должны входить две рейки с разностью по красным сторонам реек на 100 мм. Например, одна рейка с началом отсчета 4687 мм, а вторая – 4787 мм.

Рис. 90. Нивелирование трассы

 

Отсчеты по рейкам, установленным на связующие точки, берут в следующей последовательности:

1) по черной стороне рейки на заднюю точку Зч;

2) по красной стороне рейки на заднюю точку Зк;

3) по черной стороне рейки на переднюю точку Пч;

4) по красной стороне рейки на переднюю точку Пк.

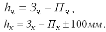
Вычисляют превышения

Если полученные превышения оказались равными или отличаются не более чем на 5 мм, то из них рассчитывают среднее превышение. В противном случае работу переделывают.

Пример:

Если между связующими точками находятся промежуточные (рельефные или контурные) плюсовые точки, задний реечник поочередно ставит на них рейку, и нивелировщик берёт только по её черной стороне промежуточный отсчет С (рис. 90 точки ПК0+29, ПК1+71).

После этого работу на станции заканчивают и переходят на следующую. При этом задний реечник с промежуточной точки переходит на переднюю точку новой станции. Передний реечник остается на месте и на новой станции он будет задним.

На новой станции и на всех последующих работу ведут в таком же порядке.

В зависимости от местных условий за связующие точки берут и плюсовые. Например, на станциях III и IV (рис. 90) за связующую принята плюсовая точка ПК2+59.

На крутых склонах, где превышение между пикетами больше 3 м, приходится ставить дополнительные связующие точки. Например, пикет ПК3 и ПК4 лежат на ровном крутом скате и превышение между ними больше длины рейки. В этом случае превышение между пикетами измеряют по частям, используя дополнительную связующую точку, называемую икс-точкой. Рейку в икс-точке ставят на колышек или переносной башмак. На очень крутых склонах ставят несколько икс-точек. На профиль икс-точки не наносят и расстояния от них до пикетов не измеряют. Они служат только для передачи превышений


Поделиться с друзьями:

mylektsii.su - Мои Лекции - 2015-2026 год. (1.135 сек.)Все материалы представленные на сайте исключительно с целью ознакомления читателями и не преследуют коммерческих целей или нарушение авторских прав Пожаловаться на материал