Студопедия

Главная страница Случайная страница

КАТЕГОРИИ:

АвтомобилиАстрономияБиологияГеографияДом и садДругие языкиДругоеИнформатикаИсторияКультураЛитератураЛогикаМатематикаМедицинаМеталлургияМеханикаОбразованиеОхрана трудаПедагогикаПолитикаПравоПсихологияРелигияРиторикаСоциологияСпортСтроительствоТехнологияТуризмФизикаФилософияФинансыХимияЧерчениеЭкологияЭкономикаЭлектроника






Суть метода динамического программирования.






Содержание

1. Динамическое программирование. Основные понятия…………………2

2. Суть метода динамического программирования………………………..4

3. Пример решения задачи методом динамического программирования………………………………………………………...7

Список используемых источников……………………………………...11


Динамическое программирование. Основные понятия.

 

Динамическое программирование (ДП) в теории вычислительных систем — способ решения сложных задач путём разбиения их на более простые подзадачи. Он применим к задачам с оптимальной подструктурой, выглядящим как набор перекрывающихся подзадач, сложность которых чуть меньше исходной. В этом случае время вычислений, по сравнению с «наивными» методами, можно значительно сократить.

Ключевая идея в динамическом программировании достаточно проста. Как правило, чтобы решить поставленную задачу, требуется решить отдельные части задачи (подзадачи), после чего объединить решения подзадач в одно общее решение. Часто многие из этих подзадач одинаковы. Подход динамического программирования состоит в том, чтобы решить каждую подзадачу только один раз, сократив тем самым количество вычислений. Это особенно полезно в случаях, когда число повторяющихся подзадач экспоненциально велико.

Динамическое программирование представляет собой математический аппарат, который подходит к решению некоторого класса задач путем их разложения на части, небольшие и менее сложные задачи. При этом отличительной особенностью является решение задач по этапам, через фиксированные интервалы, промежутки времени, что и определило появление термина динамическое программирование. Следует заметить, что методы динамического программирования успешно применяются и при решении задач, в которых фактор времени не учитывается. В целом математический аппарат можно представить как пошаговое или поэтапное программирование. Решение задач методами динамического программирования проводится на основе сформулированного Р. Э. Беллманом принципа оптимальности: оптимальное поведение обладает тем свойством, что каким бы ни было первоначальное состояние системы и первоначальное решение, последующее решение должно определять оптимальное поведение относительно состояния, полученного в результате первоначального решения.
Из этого следует, что планирование каждого шага должно проводиться с учетом общей выгоды, получаемой по завершении всего процесса, что и позволяет оптимизировать конечный результат по выбранному критерию.[1]

Таким образом, динамическое программирование в широком смысле представляет собой оптимальное управление процессом, посредством изменения управляемых параметров на каждом шаге, и, следовательно, воздействуя на ход процесса, изменяя на каждом шаге состояние системы.

В целом динамическое программирование представляет собой стройную теорию для восприятия и достаточно простую для применения в коммерческой деятельности при решении как линейных, так и нелинейных задач.

Динамическое программирование является одним из разделов оптимального программирования. Для него характерны специфические методы и приемы, применительные к операциям, в которых процесс принятия решения разбит на этапы (шаги). Методами динамического программирования решаются вариантные оптимизационные задачи с заданными критериями оптимальности, с определенными связями между переменными и целевой функцией, выраженными системой уравнений или неравенств. При этом, как и в задачах, решаемых методами линейного программирования, ограничения могут быть даны в виде равенств или неравенств. Однако если в задачах линейного программирования зависимости между критериальной функцией и переменными обязательно линейны, то в задачах динамического программирования эти зависимости могут иметь еще и нелинейный характер. Динамическое программирование можно использовать как для решения задач, связанных с динамикой процесса или системы, так и для статических задач, связанных, например, с распределением ресурсов. Это значительно расширяет область применения динамического программирования для решения задач управления. А возможность упрощения процесса решения, которая достигается за счет ограничения области и количества, исследуемых при переходе к очередному этапу вариантов, увеличивает достоинства этого комплекса методов.

Вместе с тем динамическому программированию свойственны и недостатки. Прежде всего, в нем нет единого универсального метода решения. Практически каждая задача, решаемая этим методом, характеризуется своими особенностями и требует проведения поиска наиболее приемлемой совокупности методов для ее решения. Кроме того, большие объемы и трудоемкость решения многошаговых задач, имеющих множество состояний, приводят к необходимости отбора задач малой размерности либо использования сжатой информации. Последнее достигается с помощью методов анализа вариантов и переработки списка состояний.

Для процессов с непрерывным временем динамическое программирование рассматривается как предельный вариант дискретной схемы решения. Получаемые при этом результаты практически совпадают с теми, которые получаются методами максимума Л. С. Понтрягина или Гамильтона-Якоби-Беллмана.

Динамическое программирование применяется для решения задач, в которых поиск оптимума возможен при поэтапном подходе, например, распределение дефицитных капитальных вложений между новыми направлениями их использования; разработка правил управления спросом или запасами, устанавливающими момент пополнения запаса и размер пополняющего заказа; разработка принципов календарного планирования производства и выравнивания занятости в условиях колеблющегося спроса на продукцию; составление календарных планов текущего и капитального ремонтов оборудования и его замены; поиск кратчайших расстояний на транспортной сети; формирование последовательности развития коммерческой операции и т. д.[2]

 

 


Суть метода динамического программирования.

 

В основу метода динамического программирования положен принцип оптимальности, сформулированный в 1957 г. американским математиком Ричардом Беллманом: «Оптимальное поведение обладает тем свойством, что каковы бы ни были первоначальные состояние и решение в начальный момент времени, последующие решения должны составлять оптимальное поведение относительно состояния, получающегося в результате первого решения».

Физическая сущность принципа оптимальности заключается в том, что ошибка выбора решения в данный момент не может быть исправлена в будущем.

Рассматривается следующая общая задача. Имеется некоторая физическая система, в которой происходит какой-то процесс, состоящий из n шагов. Эффективность процесса характеризуется некоторым показателем W, который называют выигрышем. Пусть общий выигрыш W за все n шагов процесса складывается из выигрышей на отдельных шагах

(2.1)

где wi — выигрыш на i -м шаге. Если W обладает таким свойством, то его называют аддитивным критерием.

Процесс, о котором идет речь, представляет собой управляемый процесс, т.е. имеется возможность выбирать какие-то параметры, влияющие на его ход и исход, причем на каждом шаге выбирается какое-то решение, от которого зависит выигрыш на данном шаге. Это решение называется шаговым управлением. Совокупность всех шаговых управлений представляет собой управление процессом в целом. Обозначим его буквой U, а шаговые управления — буквами . Тогда

Шаговые управления в общем случае не числа, а, как правило, векторы, функции и т.п.

В модели динамического программирования процесс на каждом шаге находится в одном из состояний s множества состояний S. Считается, что всякому состоянию сопоставлены некоторые шаговые управления. Эти управления таковы, что управление, выбранное в данном состоянии при любой предыстории процесса, определяет полностью следующее состояние процесса. Обычно выделены два особых состояния: s 0 — начальное и sw — конечное.

Итак, пусть каждому состоянию поставлено множество допустимых шаговых управлений , и каждому шаговому управлению , соответствует — состояние, в которое процесс попадает из si в результате использования шагового управления u. Пусть процесс находится в начальном состоянии s 0. Выбор переводит процесс в состояние s 1 = σ (s 0, u 1), выбор — в состояние s 2 = σ (s 1, u 2) и т.д. В результате получается траектория процесса, которая состоит из последовательности пар

и заканчивается конечным состоянием. Для единообразия можно считать, что включает только одно состояние , оставляющее процесс в том же конечном состоянии. Следует отметить, что множества допустимых состояний и управлений

(2.2)

(2.3)

конечны и Us для различных s не пересекаются.

В общем виде задача динамического программирования формулируется следующим образом: найти такую траекторию процесса, при которой выигрыш (2.1)будет максимальным.

То управление, при котором достигается максимальный выигрыш, называется оптимальным управлением. Оно состоит из совокупности шаговых управлений

(2.4)

Тот максимальный выигрыш, который достигается при этом управлении обозначим Wmax:

Wmax = max U { W (u)}. (2.5)

Рассмотрим на примере задачи о рюкзаке, что понимается под шагом, состоянием, управлением и выигрышем.

Загрузку рюкзака можно представить себе как процесс, состоящий из n шагов. На каждом шаге требуется ответить на вопрос: взять данный предмет в рюкзак, или нет? Таким образом, шаг процесса — присваивание переменной xi значения 1 или 0.

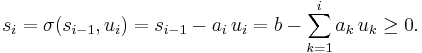
Теперь определим состояния. Очевидно, что текущее состояние процесса характеризует остаточная грузоподъёмность рюкзака — вес, который остался в нашем распоряжении до конца (до полной укладки рюкзака). Следовательно, под состоянием перед i -м шагом понимается величина

(2.6)

при этом s 0 является начальным состоянием, которому соответствует величина b — исходная грузоподъемность рюкзака.

Управление на i -м шаге означает присваивание двоичной переменной xi значения 0 или 1. Значит, на каждом шаге имеем всего два управления. Причем допустимость управления ui, устанавливающего xi = 1, определяется условием

(2.7)

Далее везде вместо переменных будем использовать соответствующие управления . Тогда формулы (2.6), (2.7) примут следующий вид:

(2.8)

(2.9)

Шаговый выигрыш можно определить как . Поэтому

(2.10)

Требуется найти оптимальное управление , при котором величина выигрыша (2.10) обращается в максимум.[3]

 



Поделиться с друзьями:

mylektsii.su - Мои Лекции - 2015-2026 год. (1.756 сек.)Все материалы представленные на сайте исключительно с целью ознакомления читателями и не преследуют коммерческих целей или нарушение авторских прав Пожаловаться на материал