Студопедия

Главная страница Случайная страница

КАТЕГОРИИ:

АвтомобилиАстрономияБиологияГеографияДом и садДругие языкиДругоеИнформатикаИсторияКультураЛитератураЛогикаМатематикаМедицинаМеталлургияМеханикаОбразованиеОхрана трудаПедагогикаПолитикаПравоПсихологияРелигияРиторикаСоциологияСпортСтроительствоТехнологияТуризмФизикаФилософияФинансыХимияЧерчениеЭкологияЭкономикаЭлектроника






Методы регулирования






РЕЖИМЫ РЕГУЛИРОВАНИЯ СИСТЕМ ЦЕНТРАЛИЗОВАННОГО ТЕПЛОСНАБЖЕНИЯ

Тепловая нагрузка абонентов непосто­янна. Она изменяется в зависимости от ме­теорологических условий (температуры на­ружного воздуха, скорости ветра, инсоля­ции), режима расхода воды на горячее водо­снабжение, режима работы технологиче­ского оборудования и других факторов. Для обеспечения высокого качества теплоснаб­жения, а также экономичных режимов вы­работки теплоты на ТЭЦ или в котельных и транспортировки ее по тепловым сетям вы­бирается соответствующий метод регу­лирования.

В зависимости от пункта осуществления регулирования различают центральное, групповое, местное и индивидуальное ре­гулирование. Центральное регулирование выполняется на ТЭЦ или в котельной; групповое — на групповых тепловых подстан­циях (ГТП); местное — на местных тепло­вых подстанциях (МТП), называемых часто абонентскими вводами; индивидуальное — непосредственно на теплопотребляющих приборах. В большинстве случаев тепловая нагрузка в районе разнородна. В одном и том же районе и даже на одном и том же абонентском вводе к тепловой сети присое­диняется разнородная тепловая нагрузка, например: отопление и горячее водоснаб­жение; отопление, вентиляция и горячее во­доснабжение и т.д. Кроме того, в крупных городах с протяженными тепловыми сетя­ми абоненты, расположенные на разном расстоянии от ТЭЦ, из-за транспортного запаздывания теплоносителя находятся в неодинаковых условиях.

Для обеспечения высокой экономичнос­ти теплоснабжения следует применять ком­бинированное регулирование, которое долж­но являться рациональным сочетанием, по крайней мере, трех ступеней регулирова­ния — центрального, группового или мест­ного и индивидуального.

Эффективное регулирование может быть достигнуто только с помощью соответствующих систем автоматического регу­лирования (САР), а не вручную, как это имело место в начальный период развития централизованного теплоснабжения.

Центральное регулирование ведется по типовой тепловой нагрузке, характерной для большинства абонентов района. Такой нагрузкой может быть как один вид на­грузки, например отопление, так и два раз­ных вида при определенном их количествен­ном соотношении, например отопление и горячее водоснабжение при заданном от­ношении расчетных значений этих нагрузок.

В 1970—1980 гг. нашло широкое приме­нение центральное регулирование по со­вмещенной нагрузке — отопления и горяче­го водоснабжения, так как эти нагрузки яв­ляются основными в современных городах и при рассматриваемом методе регулирова­ния можно удовлетворять нагрузку горяче­го водоснабжения без дополнительного увеличения или с незначительным увеличе­нием расчетного расхода воды в сети по сравнению с расчетным расходом воды на отопление. Снижение расчетного расхо­да воды в сети приводит к уменьшению диаметров трубопроводов тепловых сетей, а следовательно, и к снижению начальных затрат на их сооружение.

Как при групповом, так и при местном регулировании используются САР, управ­ляющие подачей теплоты в группы одно­типных теплопотребляющих установок или приборов. При таком решении значительно сокращается количество устанавливаемых авторегуляторов, однако подача теплоты проводится по усредненному параметру для каждого вида тепловой нагрузки, изме­ряемому в одной или нескольких контроль­ных точках установки. При наличии в мест­ной системе разрегулировки нарушается требуемый температурный режим в отдель­ных точках, хотя среднее значение регули­руемого параметра в контрольной точке системы при этом выдерживается. Для обеспечения высокого качества и эконо­мичности теплоснабжения необходима тщательная начальная регулировка або­нентской установки, обеспечивающая пра­вильное распределение теплоносителя по отдельным приборам местной системы.

Основное количество теплоты в або­нентских системах расходуется для нагре­вательных целей, поэтому тепловая нагруз­ка зависит в первую очередь от режима теп­лоотдачи нагревательных приборов. Нагре­вательные приборы абонентских установок весьма разнообразны по своему характеру, конструкции и техническому оформлению: это отопительные приборы, отдающие теп­лоту воздуху излучением и свободной кон­векцией; вентиляционные калориферы, на­гревающие воздух, движущийся с большой скоростью вдоль поверхности нагрева; раз­личные технологические аппараты, в кото­рых пар или вода нагревают вторичный агент. Несмотря на все многообразие, теп­лоотдача всех видов нагревательных прибо­ров может быть описана общим уравнением

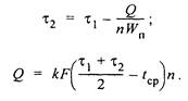
где Q — количество теплоты, отданное за время; kF — произведение коэффициента теплопередачи нагревательных приборов на их поверхность нагрева; Dt — средняя разность температур между греющей и на­греваемой средой; Wn — эквивалент расхо­да первичной (греющей) среды; t1 и t2 — температуры первичной (греющей) среды на входе в нагревательный прибор и на вы­ходе из него.

Средняя разность температур может быть представлена в первом приближении как разность между среднеарифметически­ми температурами греющей и нагреваемой среды:

c

где tср - средняя температура нагреваемой среды; t2, t1 — температуры вторичной (нагреваемой) среды на входе в нагреватель­ный прибор и на выходе из него.

Как следует из уравнений (4.1) и (4.2),

Из совместного решения находим

 

Как видно, тепловая нагрузка принципиально может регулироваться за счет изменения пяти параметров: коэффи­циента теплопередачи нагревательных при­боров k, площади включенной поверхности нагрева F, температуры греющего теплоно­сителя на входе в прибор t1, эквивалента расхода греющего теплоносителя Wn, вре­мени работы прибора п.

Для центрального регулирования из этих пяти параметров практически можно использовать только t1 и Wn. При этом не­обходимо учитывать, что возможный диа­пазон изменения t1, и Wn в реальных усло­виях ограничен рядом обстоятельств.

При разнородной тепловой нагрузке нижним пределом t1 является обычно тем­пература, требуемая для горячего водо­снабжения (обычно 60 °С). Верхний предел t1 определяется допустимым давлением в подающей линии тепловой сети из усло­вия невскипания воды. Верхний предел Wn определяется располагаемым напором на ГТП или МТП и гидравлическим сопротив­лением абонентских установок. Что же ка­сается параметров k, F и п, то ими можно пользоваться для изменения расхода тепло­ты, как правило, только при местном регу­лировании.

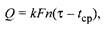
Если теплоносителем служит насыщен­ный пар, то, уравнение принимает вид

где t — температура конденсации пара, °С.

Основной метод регулирования тепло­вой нагрузки нагревательных приборов при использовании пара заключается в измене­нии температуры конденсации посредством дросселирования или же в изменении вре­мени работы прибора, т.е. работа так на­зываемыми «пропусками». Оба метода ре­гулирования являются местными.

В водяных системах централизованного теплоснабжения (СЦТ) принципиально воз­можно использовать три метода централь­ного регулирования:

1) качественный, заключающийся в ре­гулировании отпуска теплоты за счет изме­нения температуры теплоносителя на входе в прибор при сохранении постоянным коли­чества (расхода) теплоносителя, подавае­мого в регулируемую установку;

2) количественный, заключающийся в регулировании отпуска теплоты путем из­менения расхода теплоносителя при посто­янной температуре его на входе в регули­руемую установку;

3) качественно-количественный, заклю­чающийся в регулировании отпуска тепло­ты посредством одновременного изменения расхода Gn(Wn) и температуры теплоно­сителя t1.

При автоматизации абонентских вводов основное применение в городах получило центральное качественное регулирование, дополняемое на ГТП или МТП количест­венным регулированием или регулирова­ние пропусками.

Качественная работа отопительных ус­тановок жилых и общественных зданий при применении количественного регулирова­ния или регулирования пропусками воз­можна только при присоединении этих ус­тановок к тепловой сети по независимой схеме или по зависимой схеме со смеси­тельным насосом, так как только при этих схемах присое­динения в местных отопительных установ­ках может поддерживаться расчетный рас­ход воды независимо от ее расхода из тепло­вой сети.

При присоединении отопительных уста­новок к тепловой сети по зависимой схеме с элеватором без дополнительного смеси­тельного насоса снижение расхода сетевой воды вызывает пропорциональное измене­ние ее расхода в местной системе. При уменьшении расхода воды в отопительной установке увеличивается перепад темпера­тур воды в отопительных приборах и воз­растает гравитационный перепад, что при­водит к вертикальной разрегулировке ото­пительных систем. Это обстоятельство ог­раничивает использование количественно­го регулирования в двухтрубных отопи­тельных установках жилых зданий, имею­щих, как правило, значительную высоту и небольшую потерю напора при расчетном расходе воды.

Разрегулировка в отопительных уста­новках возникает также при регулировании пропусками, так как при периодических вы­ключениях и включениях циркуляции ото­пительные приборы, находящиеся на раз­личном расстоянии от узла регулирования, находятся в неодинаковых условиях.

При теплоснабжении от ТЭЦ комбини­рованная выработка электрической энергии при центральном качественном регулирова­нии больше, чем при других методах цен­трального регулирования. Центральное ко­личественное регулирование уступает каче­ственному в отношении стабильности теп­лового режима отопительных установок, присоединенных к тепловой сети по зависи­мой схеме с элеваторным смешением без установки дополнительного смесительного насоса. Вследствие переменного расхода воды в сети расход электроэнергии на перекачку при количественном регулировании меньше, чем при качественном.

Центральное регулирование отпуска те­плоты принципиально может осуществ­ляться как при непрерывной, так и при пе­риодической подаче теплоты абонентам — «пропусками». В последнем случае увязка графиков подачи и использования теплоты осуществляется с помощью различных теплоаккумулирующих установок.


 


Поделиться с друзьями:

mylektsii.su - Мои Лекции - 2015-2026 год. (0.747 сек.)Все материалы представленные на сайте исключительно с целью ознакомления читателями и не преследуют коммерческих целей или нарушение авторских прав Пожаловаться на материал