Студопедия

Главная страница Случайная страница

КАТЕГОРИИ:

АвтомобилиАстрономияБиологияГеографияДом и садДругие языкиДругоеИнформатикаИсторияКультураЛитератураЛогикаМатематикаМедицинаМеталлургияМеханикаОбразованиеОхрана трудаПедагогикаПолитикаПравоПсихологияРелигияРиторикаСоциологияСпортСтроительствоТехнологияТуризмФизикаФилософияФинансыХимияЧерчениеЭкологияЭкономикаЭлектроника






Тепловые характеристики теплообменных аппаратов и установок






Оборудование абонентских установок состоит из различного рода теплообменных аппаратов, нагревательных приборов, водо-водяных подогревателей, калориферов и т.п.

Расчет регулирования современных сис­тем централизованного теплоснабжения проводится по уравнениям, описывающим работу различного типа теплообменных ап­паратов в нерасчетных условиях. В таких условиях обычно известны только темпера­туры теплоносителей на входе в теплоиспользующие установки и неизвестны температуры теплоносителей на выходе из них.

Поэтому уравнение теп­ловой нагрузки теплообменных аппаратов в форме Q = kFDt неудобно для расчета ре­жимов регулирования, так как заранее неиз­вестно значение Dt, которое в этом случае приходится определять методом последова­тельных приближений.

Расчет регулирования проводится при использовании тепловых характеристик теплообменных аппаратов.

Тепловая нагрузка всех видов конвек­тивных теплообменных аппаратов может быть определена по уравнению характери­стики

где e — коэффициент эффективности теплообменного аппарата или удельная тепловая нагрузка на еди­ницу меньшего эквивалента расхода WM и на 1°С максимальной разности температур Ñ, или; WM = (Gc)M — меньшее значение эквивалента расхода теплообменивающихся сред, Дж/(с·К); G — расход теплоносителя, кг/с или кг/ч; с — теплоемкость теплоно­сителя, Дж/(кг • К); Ñ = t1 — t2 — максимальная разность темпе­ратур между греющим и нагреваемым теп­лоносителями, т.е. разность температур греющего и нагреваемого теплоносителей на входе в аппарат, °С; t1 — температура греющего теплоносителя; t2 — температу­ра нагреваемого теплоносителя; индекс 1 соответствует «горячему концу» теплоно­сителя, т.е. греющему на входе в аппарат и нагреваемому на выходе из него; индекс 2 — «холодному концу» теплоносителя, т.е. греющему на выходе из аппарата и нагре­ваемому на входе в него.

При использовании наиболее простых схем теплообменных аппаратов, когда движение теплообменивающихся сред происходит по принци­пу противотока или прямотока, эти уравнения имеют следующий вид:

противоточный аппарат

прямоточный аппарат

 

где w = kF/WM — режимный коэффициент; kF — произведение коэффициента теплопередачи теп­лообменного аппарата на площадь его поверхно­сти нагрева; Wм, Wб — меньшее и большее зна­чения эквивалентов расхода теплообменивающихся сред; е = 2, 718 — основание натуральных логарифмов.

Рис. 1. Изменение температуры теплоносителей в противоточных и прямоточных аппаратах

а, б — противоточные аппараты; в, г — прямоточные аппараты; Wn — эквивалент расхода первичного (грею­щего) теплоносителя; WK — эквивалент расхода вторичного (нагреваемого) теплоносителя

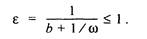
При всех практически применяющихся схемах движения теплоно­сителей в теплообменных аппаратах может быть использована за­висимость между температурой греющей и нагреваемой среды:

где tD — средняя разность температур меж­ду греющей и нагреваемой средами, °С; dt— перепад температур теплоносителя в теплообменном аппарате, °С; для греющего теплоносителя dt=t1 -t2, для нагреваемо­го dt=t1 -t2; индекс «б» соответствует большему перепаду температур теплоносителя, индекс «м» — меньшему; а и b — постоян­ные коэффициенты, зависящие от схемы движения теплоносителя в теплообменнике.

При всех схемах значение коэффициента b по­стоянно и равно 0, 65.

Зна­чения коэффициента а для рассматривае­мых схем движения теплоносителей:

Противоток (см. рис. 4.2, а и б)................ 0, 35

Перекрестный ток (см. рис. 4.3, а и б)...... 0, 425

То же (см. рис. 4.3, в)................................. 0, 5

То же (см. рис. 4.3, г нд)........................... 0, 55

Прямоток (см. рис. 4.2, в и г).................... 0, 65

При использовании данной линейной зависимости для сред­ней разности температур уравнение для расчета коэффициента эффективности име­ет вид

где e* — коэффициент эффективности теплооб-менного аппарата с бесконечно большой поверхностью нагрева (F —¥).

При противотоке, а также в тех случаях, когда в процессе теплообмена изменяется фазовое состояние одного или обоих тепло­носителей (конденсация, кипение), е* = 1;

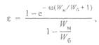
1 при прямотоке

Когда в процессе теплообмена имеет ме­сто изменение фазового состояния одного из теплоносителей (пароводяные подогреватели, паровоздушные калориферы, испа­рители с водяным обогревом и др.), т.е. ко­гда wб = ¥ коэффициент эффективности определяется

Если в процессе теплообмена меняется фазовое состояние обоих теплоносителей, т.е. когда W6 = WM = ¥ уравнение характе­ристики принимает вид

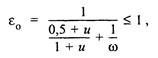
Если учитывать режим работы смесительного узла присоединения к тепловой сети, то коэффициент эффективности установки определяется

где и — коэффициент смешения в узле при­соединения; w = k0F/ W0 — режимный коэф­фициент; k0F — произведение коэффициен­та теплопередачи нагревательных приборов установки на площадь их поверхности нагрева; W0 — эквивалент расхода сетевой воды, поступающей в узел присоединения отопительной установки.

При отсутствии сме­сительного устройства в узле присоедине­ния отопительной установки, т.е. при и = О коэффициент эффективности

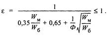
Для упрощения расчетов режимов регулирования режимный коэффициент определяется расчетным или опытным путем только для одного произвольно выбранного режима работы аппарата, который называется основным. При расчете водо-водяных подогревателей режимный коэффициент w определяется по формуле

 

где Ф — параметр водо-водяного подогре­вателя, для данного подогревателя величи­на практически постоянная,

Как показали проведенные исследова­ния, значение параметра секционных водо-водяных подогревателей прямо пропорцио­нально их длине:

где Фу — удельный параметр, отнесенный к единице длины подогревателя; / — длина подогревателя, м.

Удельный параметр Ф зависит в основ­ном от отношения площадей сечений труб­ного и межтрубного пространств и практи­чески не зависит от удельной площади по­верхности нагрева, приходящейся на еди­ницу длины подогревателя, т.е. от номера или диаметра корпуса подогревателя. Пара­метр подогревателя остается практически постоянным в широком диапазоне измене­ния Wб и Wм.

Для всех типоразмеров секционных водо-водяных подогревателейможно практически принимать одно и то же значение удельного параметра Ф = 0, 1 1/м при чистой поверх­ности нагрева, т.е. при отсутствии на ней накипи и загрязнений.

Можно также принимать для всех типо­размеров пластинчатых подогревателей практиче­ски одно и то же значение удельного пара­метра одного канала Фу = 1 1/м.

Формула для расчета коэффициента эффективности противоточных водо-водяных подогре­вателей

 


Поделиться с друзьями:

mylektsii.su - Мои Лекции - 2015-2026 год. (1.385 сек.)Все материалы представленные на сайте исключительно с целью ознакомления читателями и не преследуют коммерческих целей или нарушение авторских прав Пожаловаться на материал