Студопедия

Главная страница Случайная страница

КАТЕГОРИИ:

АвтомобилиАстрономияБиологияГеографияДом и садДругие языкиДругоеИнформатикаИсторияКультураЛитератураЛогикаМатематикаМедицинаМеталлургияМеханикаОбразованиеОхрана трудаПедагогикаПолитикаПравоПсихологияРелигияРиторикаСоциологияСпортСтроительствоТехнологияТуризмФизикаФилософияФинансыХимияЧерчениеЭкологияЭкономикаЭлектроника






Н(0) отвергается






-10

- 14

?

Какойиз перечисленных признаков являются дискретными

- вес, кг;

- содержание белка, г/л;

- цвет глаз;

+койко-дни;

- температура.

?

В каких случаях для проверки статистических гипотез используется критерий Макнимара

- только для независимых выборок

- в случае нормально распределенных выборок

- в случае построения регрессионной модели

+только для зависимых выборок

- при вычислении коэффициента корреляции

?

Найдите значение ошибки среднего, если известно среднеквадратическое отклонение 64, объем выборки составляет 16:

+16

- 22

- 32

- 18

- 23

?

По данным в таблице определить влияние фактора. Какая гипотеза из этого следует

    F F Fкрит
Межгрупповая дисп.   0, 8   3, 24
Внутригрупповая дисп.        

- Н(0) отвергается

- Н(1) принимается

- необходимо значение уровня значения

+Н(0) принимается

- недостаточно данных

?

Каким признаком является случайная величина - диагноз

- непрерывная

+номинальная

- дискретная

- конечная

- ординальная

?

Изменения содержания лимфоцитов у детей в % в зависимости от возраста.

  № Возраст (г)
от 1 до 3 от 3 до 5 от 5 до 7 от7 до 9 от 9 до 11
        40, 3 37, 5
  49, 5   44, 5 45, 9 39, 8
  49, 7 45, 5 43, 7 43, 7 36, 1

Какой критерий необходимо использовать для проверки гипотезы в данной задаче:

- критерий Манна-Уитни

+критерий Фишера

- критерий Пирсона

- критерий Уилкоксона

- критерий Макнимара

?

Известно значение дисперсии равное 16, чему равно среднее квадратическое отклонение

- 256

+4

- 160

- 56

- 64

?

По данным из графика найдите среднее значение пульса:

- 115 уд./мин

- 72 уд./мин

+80 уд./мин

- 40уд./мин

- 46уд./мин

?

В таблице приведены результаты расчета основных статистических характеристик показателя гематокрита у жителей экологически неблагоприятного района (опытная группа) и жителей, проживающих в нормальных условиях (контрольная группа):

  N Среднее Медиана Мода минимум максимум s
Опытная группа   0, 23 0, 24 0, 22 0, 13 0, 33 0, 07
Контрольная группа   0, 25 0, 21 0, 28 0, 12 0, 49 0, 10

Определите, в какой группе показатель гематокрита выше (какой статистический параметр на это указывает).

+в контрольной группе (среднее)

- в контрольной группе (максимум)

- в контрольной группе (мода)

- в опытной группе (медиана)

- в контрольной группе (σ)

?

По данным в таблице определить какое из утверждений верно:

    F f Fкрит
Межгрупповая дисп. 378, 3 2, 8   3, 24
Внутригрупповая дисп 12, 7      

- Н(0) принимается

Н(0) отвергается

- Н(1) отвергается

- необходимо задать уровеньзначимости

- недостаточно данных

?

Как называются признаки, значения которых отличаются не менее чем на единицу измерения

- непрерывные признаки

+дискретные признаки

- ординальные признаки

- номинальные признаки

- качественные признаки

?

Какие признаки называются ординальными

- признаки, значения которых отличаются не менее чем на единицу измерения признака

- признаки, значения которых могут отличаться на любую сколь угодно малую величину

+качественные признаки, которые можно упорядочить

- признак принимает одно значение из конечного числа заведомо установленных градаций, которые невозможно упорядочить

- качественные признаки

?

Сколько интервалов содержит гистограмма, если объем выборки составляет от 41 до 60 объектов?

- от 5 до 6

- от 7 до 10

- от 8 до 12

- от 10 до 15

+от 6 до 8

?

Для чего используется t-критерий для независимых выборок

- определения закона распределения параметра;

+сравнения средних в 2 группах, состоящих из различающихся между собой объектов

- определения средней, дисперсии, стандартной ошибки;

- определения наилучшего разделения выборки на подгруппы;

- сравнения средних в 2 группах, состоящих из одних и тех же объектов

?

Измерение частоты сердечных сокращений у студентов 1-го курса (ударов/мин).

73, 73, 62, 67, 81, 63, 80, 64, 66, 67, 67, 66, 71, 68, 71, 76, 63, 66. Чемуравенразмах?

- 20

- 11

+19

- 12

- 0

?

По данным из таблицы определите, в какой группе больше разброс данных и какой показатель на это указывает

  Мо Ме Q25 Q75 Q75 - Q25
1 гр.            
2 гр.            

- 2 группе (среднее);

- 1 группе (нижний квартиль);

+ во 2 группе(∆ Q).

- 2 группе (мода);

- 1 группе (медиана);

?

Если коэффициент корреляции равен 0, какая связь существует между величинами

- связь между величинами слабая и прямая;

- связь между величинами сильная и прямая;

+ вязи между величинами нет;

- связь между величинами слабая и обратная;

- связь между величинами сильная и обратная.

?

Если коэффициент корреляции приблизительно равен -0, 6, какая связь существует между величинами

-связь между величинами средняя и обратная;

- связь между величинами средняя и прямая;

- связь между величинами сильная и прямая;

- связи между величинами нет;

+связь между величинами сильная и обратная.

?

Какой анализ предназначен для изучения зависимости между одной зависимой и одной или несколькими независимыми переменными?

- дискриминантный анализ

- факторный анализ

- кластерный анализ

+ регрессионный анализ

- анализ временных рядов

?

Какая из гипотез принимается, если р=0, 04, а α =0, 05

- Н(0) с вероятеостью 95%

+ Н(1) с вероятеостью 96%

- Н(1) с вероятеостью 95%

- Н(0) с вероятеостью 96%

- Н(1) с вероятеостью 4%

?

Как называется значение случайной величины, которое делит вариационный ряд на две части, равные по числу

- модой

+ медианой

- квартилем

- выборочной средней

- коэффициентом вариации

?

Как называется выборка, характеристики которой соответствуют параметрам генеральной совокупности

- достоверной

- нормальной

+ репрезентативной

- генеральной

- хорошей

?

Что происходит со стандартной ошибкой при увеличении числа объектов в выборке

- увеличивается

+ уменьшается

- не изменяется

- сначала увеличивается, затем падает

- сначала уменьшается, затем возрастает

?

У группы студентов измерили частоту сердечных сокращений до занятий физкультурой, а затем после. Какими являются полученные выборочные совокупности

- независимыми

- обратно зависимые

- прямо пропорционально зависимые

- частично зависимые

+ зависимыми

?

Для выборки получены значения: среднее 5, 0; среднеквадратическое отклонение 12; ошибка среднего 4. Чему равен объем выборки

- 3

- 4

- 7

- 8

+ 9

 

?

Укажите условие принятия нулевой гипотезы по критерию хи-квадрат Пирсона

+

-

-

-

- посоотношению и нельзя сделать вывод

?

Сравните два рисунка. Какова величина коэффициента корреляции между двумя признаками на рисунке b)

 

- больше, чем на рисунке a)

- является такой же, что и на рисунке a)

- не может быть определена

+ меньше, чем на рисунке a)

- является нелинейной

?

Укажите максимальное значение анализируемой величины по данной гистограмме:

- от 0 до 200

-от 1200 до 1400

- от 0 до 600

+от 800 до 1000

- от 200 до 0

?

Оцените по данной диаграмме рассеяния коэффициент корреляции между переменными:

-

-

-

+

-

?

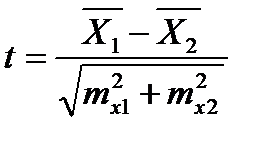
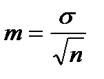
Какая формула используется для расчёта стандартной ошибки

+

-

-

-

-

?

В каких случаях для проверки статистических гипотез используется Т-критерий Уилкоксона

- только для независимых выборок

-только для зависимых выборок

- в случае нормально распределенных выборок

+в случае построения регрессионной модели

- только при не малых значениях уровня значимости

?

В каких случаях для определения взаимосвязи между случайными величинами используется коэффициент корреляции Пирсона

- для качественных признаков

- для ординальных признаков

+ для нормально распределенных признаков

- для номинальных признаков

- для независимых признаков

?

В каких случаях для определения взаимосвязи между случайными величинами используется коэффициент корреляции Спирмена

- для номинальных признаков

- для независимых признаков

- для независимых выборок

+ для ординальных признаков

- для нормально распределенных выборок

?

Какие из данных являются ординальными признаками

- национальность рабочих;

- цвет глаз, цвет волос;

+ уровень жизни;

- пол, классификация животных;

- количество детей, средняя заработная плата.

?

В целях обследования состояния здоровья населения от 18 до 25 лет было охвачено 1000 студентов различных ВУЗов. Какой является совокупность по полноте охвата

- отборочной;

- генеральной;

- средней;

+ выборочной;

- объемной.

?

При каком условии нулевая гипотеза отвергается, если речь идет о проверке статистической гипотезы о равенстведвух генеральных средних с помощью t-критерия

-

-

-

+

-

?

Какой показатель можно использовать для выяснения взаимосвязи между настроением испытуемого и выбранным им оттенком цвета

- критерий Стъюдента зависимых выборок

- критерий Уилкоксона

- критерий Манна-Уитни

- коэффициент корреляции Пирсона

+ коэффициент корреляции Спирмена

?

Какой критерий используется в задачах оценки разности долей

-критерий хи-квадрат

- критерий Вальда-Вольфовица

+критерий Фишера

- критерий Уилкоксона

- критерий Манна-Уитни

?

Найдите значение ошибки среднего, если известно среднеквадратическое отклонение 36, объем выборки составляет 4:

- 22

- 16

+ 18

- 24

- 23

?

Известно значение среднеквадратического отклонения равно 9, чему равна дисперсия

+ 81

- 160

-

- 56

- 3

?

Среднее значение пульса у 10 испытуемых до проведения степ-теста составило 66±3, после теста 78±3. Сформулируйте нулевую гипотезу о влиянии степ-теста на ЧП

- среднее значение пульса после теста достоверно увеличилось

- ЧП после теста не зависит от ЧП до теста

- ЧП после теста зависит от ЧП до теста

+ средние значения пульса до и после проведения теста равны

- распределение частоты пульса соответствует нормальному

?

В результате исследования продолжительности сна у 10 работников была получена следующая таблица частот:

Чему равна медиана данного показателя

- 8;

+ 7.

- 3, 5;

- 6, 5;

- 9;

?

Чему равен коэффициент корреляции при обратной средней связи между между х и у

-

-

+

-

-

?

С какой вероятностью можно утверждать, что содержание сахара в крови лиц основной и контрольной групп одинаково

Сахар в крови, г/л   t0, 01 t0, 05 tвыч
Основная группа 2, 262 3, 25 3, 11
Контрольная группа

- с вероятностью 99%

+ с вероятностью 95%

- с вероятностью и 99% и 95%

- с вероятностью 5%

- с вероятностью 1% и 5%

?

Определите соотношение между внутригрупповой и межгрупповой дисперсиями если известно, что многоуровневый фактор действует на случайную величину:

- межгрупповая меньше внутригрупповой дисперсии

- внутригрупповая дисперсия равна межгрупповой

- соотношение между дисперсиями не имеет значения

- сумма дисперсий равна нулю

+ внутригрупповая дисперсия меньше межгрупповой

?

Как называются признаки, значения которых могут отличаться на любую сколь угодно малую величину

- качественные признаки

- ординальные признаки

- номинальные признаки

+ непрерывные признаки

- дискретные признаки

?

Для чего используется корреляционный анализ

- сравнения средних в 2 группах, состоящих из одних и тех же объектов.

- описания средних времен жизни и сравнения нового метода лечения со старыми; + выяснения степени взаимосвязанности двух параметров;

- графического представления центральной тенденции и вариационных статистик;

- сокращения числа переменных (редукция данных);

?

Зависимость индекса гингивита (РМА) от степени тяжести пародонтита при лечении 3% ортофеновой мазью.

  № Степень тяжести пародонтита
легкая средняя тяжелая
  17, 4 35, 6 53, 8
  16, 5 30, 2 52, 1
  16, 9 34, 1 39, 7
  15, 8 27, 9 58, 6

Какой критерий необходимо использовать для проверки гипотезы в данной задаче

- критерий Манна-Уитни

- критерий Пирсона

- критерий Уилкоксона

+критерий Фишера

- критерий Макнимара

?

В каких задачах используется t-критерий для зависимых выборок

- определения средней, дисперсии, стандартной ошибки;

+ сравнения средних в 2 группах, состоящих из одних и тех же объектов;

- сравнения средних в 2 группах, состоящих из различающихся между собой объектов;

- определения качества априорного разделения выборки на группы;

- принятия решения о том, какие переменные различают две или более группы.

?

Определите недостающие в таблице данные

Пульс, уд/мин Абсолютная частота % случаев
     
     
     
  ?  

- 75

+ 2

- 80

- 70

- 60

?

Что из перечисленого относится к основным статистическим характеристикам

- коэффициент корреляции Пирсона;

+коэффициент корреляции Спирмена;

-мода, медиана, стандартное отклонение;

- t-критерий, критерий Фишера;

- уровень значимости.

?

Показатели гематокрита (эритроциты-плазма).

0, 26; 0, 12; 0, 20; 0, 28; 0, 29; 0, 21; 0, 45; 0, 38; 0, 29; 0, 24.

Какой из данных рядов является ранжированным

- 0, 26; 0, 12; 0, 20; 0, 28; 0, 29; 0, 21; 0, 45; 0, 38; 0, 29; 0, 24.

- 0, 29; 0, 21; 0, 45; 0, 38; 0, 29; 0, 24; 0, 26; 0, 12; 0, 20; 0, 28.

+ 0, 12; 0, 20; 0, 21; 0, 24; 0, 26; 0, 28; 0, 29; 0, 29; 0, 38; 0, 45.

- 0, 28; 0, 29; 0, 29; 0, 38; 0, 45; 0, 12; 0, 20; 0, 21; 0, 24; 0, 26.

- 0, 12; 0, 20; 0, 21; 0, 24; 0, 38; 0, 45; 0, 26; 0, 28; 0, 29; 0, 29.

?

Для чего используется гистограмма

- визуализации зависимости между двумя переменными;

- определения средней, дисперсии, стандартной ошибки;

+ графического представления распределения частот выбранных переменных.

- представления пропорций отдельных значений переменной;

- описания средних времен жизни и сравнения нового метода лечения со старыми;

?

Чему соответствует высота столбика на гистограмме

- объему выборки;

+ частоте соответствующего признака в выборке;

- интервалу разбиения выборки на классы;

- среднему значению в исследуемой выборке;

- значению дисперсии выборки относительно среднего.

?

Если коэффициент корреляции близок к -1, какая связь существует между величинами

- связь между величинами слабая и прямая;

- связь между величинами сильная и прямая;

- связи между величинами нет;

- связь между величинами слабая и обратная;

+ связь между величинами сильная и обратная.

?

Какое понятие отражает разброс значений изучаемой величины относительно среднего по выборке

- среднее значение

- ошибка среднего

- мода

-дисперсия

+медиана

 

?

Наиболее часто как меру взаимозависимости переменных используют коэффициент корреляции, предложенный:

+ Пирсоном;

- Пуассоном;

- Пуазелем;

- Пауэрсом;

- Палмером.

?

Определите недостающие в таблице данные

Пульс, уд/мин Абсолютная частота % случаев
     
  ?  
     
     

- 68

- 5

+ 8

- 7

- 12

?

На каком отрезке лежат значения коэффициента корреляции

+ (-1; 1);

- (0; 1);

- (-1; 0);

- (-∞; +∞);

- (0; +∞).

?

Какова вероятность дожить до 7 часов

t, час              
S(t) 0, 96 0, 89 0, 71 0, 59 0, 5 0, 34 0, 15

+ 0, 89

- 1

- 0, 96

- 0, 71

- 0, 5

?

Какой анализ используют в задачах определения влияния многоуровнего фактора

+ дисперсионный анализ

- регрессионный анализ

- корреляционный анализ

- анализ выживаемости

- стандартизация

?

У одной группы студентов измерили частоту сердечных сокращений до занятий физкультурой, у второй – после. Чем являются полученные выборочные совокупности

- зависимыми

+ независимыми

- обратно зависимые

- прямо пропорционально зависимые

- частично зависимые

?

Сравните два рисунка. Какова величина коэффициента корреляции между двумя признаками на рисунке a)

- является такой же, что и на рисунке б)

- меньше, чем на рисунке б)

- не может быть определена

+ больше, чем на рисунке б)

- является нелинейной

?

Укажите наиболее часто встречающиеся значенияпо данной гистограмме:

 

- от 0 до 600

- от 800 до 1400

+ от 0 до 200

- от 1200 до 1400

- от -200 до 0

?

Чему равен коэффициент корреляции между переменными, представленными на данной диаграмме рассеяния

 

+ обратная, пропорциональная

- прямая, сильная

- отсутствует

- прямая средняя

- прямая, слабая

?

По данным из графика найдите значние верхнего квартиля.

- 115 уд./мин

+ 88 уд./мин

- 72 уд./мин

- 80 уд./мин

- 46 уд./мин

?

Какая формула используется для расчёта коэффициента корреляции

-

+

-

-

-

?

Что отражают данные выживаемости

- число выживших больных

- число умерших больных

+время до выздоровления

-вероятность достижения конечной точки

- время до поступления в больницу

?

В каких случаях используются непараметрические критерии проверки статистических г

ипотез - в случае малых и ненормально распределенных выборок

+только для независимых выборок

- в случае нормально распределенных выборок

-только для зависимых выборок

- при вычислении коэффициента корреляции

?

В каких случаях для проверки статистических гипотез используется U-критерий Манна-Уитни

- только для зависимых выборок

- при вычислении коэффициента уравнения регрессии

- в случае нормально распределенных выборок

- при вычислении коэффициента корреляции

+ в случае если распределение неизвестно

?

В каких случаях для проверки статистических гипотез используется Т-критерий Уилкоксона

- только для независимых выборок

- при вычислении коэффициента уравнения регрессии

- в случае нормально распределенных выборок

+ в случае малых и ненормально распределенных выборок

- при вычислении коэффициента корреляции

?

В каких случаях для определения взаимосвязи между случайными величинами используется коэффициент корреляции Спирмена

- для количественных признаков

- для независимых признаков

+ для качественных признаков

- для независимых выборок

- ранжированного ряда

?

Какие значения принимают дискретные признаки

- любые значения;

- только дробные;

- как целые, так и дробные числовые значения;

+ только целые числовые значения;

-не принимают числовые значения.

?

Какие из данных являются номинальными признаками

- численность населения, масса тела;

- качество жизни, квалификация рабочих;

+ цвет глаз, цвет волос;

- тестовые баллы, самочувствие;

- количество детей, средняя заработная плата.

?

Чем является мода в ряду распределения

- наибольшая частота;

- значение признака, делящее ряд распределения на две равные части;

- значение признака, встречающееся реже всего;

- значение признака, делящее ряд распределения на четыре равные части;

+ значение признака, встречающееся чаще всего;

?

Что понимается под ранжированием

- определение предела (интервала) изменений значений варьирующего признака;

- количественная оценка степени вариации изучаемого признака;

- присвоение рангов в случайном порядке;

- присвоение рангов положительным числам.

+ расположение всех значений в возрастающем (или убывающем) порядке.

?

По данным из таблицы определите, какое утверждение верно

Обращаемость к врачу пожилые альфа р
молодые 0, 05 3, 5%

+ обращаемость к врачу зависит от возраста с вероятностью ошибки 3, 5%

- обращаемость к врачу не зависит от возраста с вероятностью 95%

- обращаемость к врачу не зависит от возраста с вероятностью 3, 5%

- обращаемость к врачу зависит от возраста с вероятностью 95%

- обращаемость к врачу зависит от возраста с вероятностью ошибки 5%

?

Можно ли утверждать, что содержание сахара в крови после приема инсулина снизилось

Сахар в крови, г/л   tвыч-Стъюдента tкрит-Стъюдента α
До приема инсулина 4, 28 1, 99 0, 05
После приема инсулина

+ Можно с вероятностью ошибки 5%

- Можно с вероятностью ошибки 95%

- Можно с вероятностью ошибки 1%

- Можно с вероятностью ошибки 99%

- Нельзя

?

Как определяются границы возможных значений генеральной средней

- разность между выборочной и генеральной средними;

- разность между выборочной и генеральной долями;

+выборочная доля плюс (минус) предельная ошибка выборочной доли.

-выборочная средняя плюс (минус) стандартная ошибка выборочной средней;

- сумма всех значений случайной величины

?

В исследовании влияния некоторого препарата на 15 добровольцах измерялось содержание железа в крови. Какой метод можно использовать для выяснения влияния препарата на содержание железа в крови, если известно, что исследуемый показатель имеет распределение Фишера

- критерий Стъюдента для независимых выборок

- критерий Стъюдента для зависимых выборок

- критерий Манна-Уитни

+ критерий Уилкоксона

- критерий Вальда

?

В исследовании влияния некоторого препарата на 50 добровольцах измерялось содержание железа в крови. Какой метод можно использовать для выяснения влияния препарата на содержание железа в крови, если известно, что исследуемый показатель имеет нормальное распределение

- критерий Стъюдента для независимых выборок

- критерий Манна-Уитни

- критерий Уилкоксона

+ критерий Стъюдента для зависимых выборок

- критерий Вальда

?

До применения нового препарата соотношение между больными и здоровыми составляло 2: 3, после его применения стало 1: 3. Какой метод анализа можно использовать для выяснения эффективности нового препарата

- критерий Стъюдента зависимых выборок

- критерий Стъюдента независимых выборок

- коэффициент корреляции

+ таблица сопряженности для зависимых выборок

- таблица сопряженности для независимых выборок

?

Какие признаки называются непрерывными:

- признаки, значения которых отличаются не менее чем на единицу измерения признака

+ признаки, значения которых могут отличаться на любую сколь угодно малую величину

- признак принимает одно значение из конечного числа заведомо установленных градаций, которые невозможно упорядочить

- качественные признаки, которые можно упорядочить

- качественные признаки

?

Какой признак принимает одно значение из конечного числа заведомо установленных градаций, которые невозможно упорядочить:

- непрерывные признаки

+ номинальные признаки

- ординальные признаки

- дискретные признаки

- количественные признаки

?

Какой метод статистического анализа используется для сравнения средних в 2 группах, состоящих из различающихся между собой объектов

- дискриминантный анализ;

- описательная статистика;

+t-критерий для зависимых выборок

-t-критерий для независимых выборок

- корреляционный анализ

?

Чему соответствует ширина столбика гистограммы частот

- объему выборки;

- частоте соответствующего признака в выборке;

+ интервалу разбиения выборки на классы;

- среднему значению в исследуемой выборке;

- значению дисперсии выборки относительно среднего.

?

Если коэффициент корреляции приблизительно равен 0, 2, какая связь существует между величинами

- связь между величинами сильная и прямая;

- связи между величинами нет;

- связь между величинами слабая и обратная;

- связь между величинами сильная и обратная.

+ связь между величинами слабая и прямая;

 

?

Какой критерий, позволяет сравнивать средние в двух популяциях

- дисперсия

- медиана

+ t-Стъюдента

- уровень значимости

- гистограмма

?

Как называется значение случайной величины, которое имеет наибольшую частоту встречаемости

- медиана

+квартиль

- выборочная средняя

-мода

- коэффициент вариации

?

Если зависимость между параметрами x и y прямо пропорциональная и функциональная, чему равен коэффициент корреляции между ними

-

-

-

+

-

?

Если коэффициент корреляции равен -0, 08, какая связь существует между величинами

- связь между величинами слабая

- связь между величинами сильная

+ связь между величинами слабая и обратная

- связи между величинами нет

- связь между величинами сильная и обратная

?

Как называется совокупность, отобранная из генеральной

+ выборочной

- ранжированной

- выбранной

-мотобранной

- совокупной

?

Даны значения ЧСС: 50; 60; 50; 55; 55; 60. Чему равно среднее значение

- 50

- 60

- 45

+ 55

- 70

?

Как называется распределение переменной, представленное на данной гистограмме

 

- Параболическое

- Линейное

- Куполообразное

+ Отличное от нормального

- Нормальное

?

Оцените по данной диаграмме рассеяния коэффициент корреляции между переменными:

-

-

-

+

-

?

Исследуется эффективность некоторого препарата на основе кривой выживаемости. Что можно при этом считать конечной точкой

- изменение некоторого признака заболевания

- сокращение сроков лечения

+ выздоровление пациентов

- уменьшение количества коек в больнице

- количество использованных доз препарата

?

Найдите внутригрупповую дисперсию, если дисперсия первой группы равна 22, второй 26, а третей 3:

- 12

- 24

+ 17

- 18

- 16

?

В каких случаях используются параметрические критерии проверки статистических гипотез

- только для зависимых выборок

+ в случае нормально распределенных выборок

- только для независимых выборок

- в случае анализа качественных признаков

- при вычислении коэффициента корреляции

?

В каких случаях для проверки статистических гипотез используется U-критерий Манна-Уитни

- только для зависимых выборок

+только для независимых выборок

- в случае нормально распределенных выборок

- в случае построения регрессионной модели

-при вычислении коэффициента корреляции

?

В каких случаях для проверки статистических гипотез используется Т-критерий Уилкоксона

- только для независимых выборок

- при вычислении коэффициента уравнения регрессии

- в случае нормально распределенных выборок

- при вычислении коэффициента корреляции

+ в случае малых и ненормально распределенных выборок

?

В каких случаях для определения взаимосвязи между случайными величинами используется коэффициент корреляции Пирсона

- для качественных признаков

- для ординальных признаков

+ для определения линейной взаимосвязи

- для номинальных признаков

- для определения нелинейной взаимосвязи

?

Чем является медиана в ряду распределения

- наибольшая частота;

- значение признака, встречающееся чаще всего;

- значение признака, встречающееся реже всего;

+ значение признака, делящее ряд распределения на две равные части;

- значение признака, делящее ряд распределения на четыре равные части;

?

Исследования показали, что в одном районе инфекционные заболевания составляют 15% от всех больных, в другом районе – 8%. Какой метод анализа можно использовать для выяснения имеются ли региональные особенности распространения инфекционных заболеваний

- критерий Стъюдента зависимых выборок

+ таблица сопряженности для независимых выборок

- критерий Стъюдента независимых выборок

- коэффициент корреляции

- таблица сопряженности для зависимых выборок

?

Какой из перечисленных методов можно использовать в задачах прогнозирования

- однофакторный анализ

- четырехфакторный анализ

+ регрессионный анализ

- корреляционный анализ

- дисперсионный анализ

?

Найдите внутригрупповую дисперсию, если дисперсия первой группы равна 12, второй 14, а третей 10:

- 22

+ 12

- 18

- 16

- 23

?

Дан вариационный ряд значений некоторой случайной величины:

2 3 3 3 5 5 5 5 7 7 7 7 7 8 8 9

ЧемуравнаМода

- 2

- 5

- 6

+ 7

- 6, 5

?

Известно значение дисперсии равное 9, чему равно среднее квадратическое отклонение

- 81

- 160

- 56

+ 3

- 64

?

В уравнении регрессии чем является

- зависимой переменной;

+ коэффициентом регрессии;

- независимой переменной;

- функцией;

- табличным значением.

?

При анализе соотношения ожидаемых и наблюдаемых частот для независимых выборок было получено, что критерий хи-квадрат больше критического его значения. Сделайте вывод относительно нулевой гипотезы.

- нулевая гипотеза принимается

- нулевая гипотеза не может быть ни принята, ни отвергнута

+ нулевая гипотеза отвергается

- хи-квадрат критерий не может быть использован для данной задачи

- недостаточно данных для формулировки выводов

?

В результате исследования продолжительности сна у 20 работников была получена следующая таблица частот:

Чему равна медиана данного показателя

+ 7;

- 3;

- 6;

- 9;

- 8.

?

С увеличением величины соответствующие им значения второго вариационного ряда в среднем уменьшаются, если коэффициент корреляции:

- r> 0

- r=0

- r=1

+ r< 0

- r 0

?

95 процентный доверительный интервал для одной средней составляет 15±9, для второй средней 20±6. Сделайте вывод относительно гипотезы о равенстве двух средних:

- две средние не равны

- нулевая гипотеза не может быть ни принята, ни отвергнута

- две выборки извлечены из разных генеральных совокупностей

+ две средние равны

- недостаточно данных для формулировки выводов

?

Какова вероятность дожить до 11 часов

t, час              
S(t) 0, 96 0, 89 0, 71 0, 59 0, 5 0, 34 0, 15

- 1

+ 0, 71

- 0, 96

- 0, 89

- 0, 5

?

Если выборки имеют нормальное распределение, какими критериями необходимо воспользоваться для проверки статистических гипотез

- непараметрическими критериями

+критерием Вальда-Вольфовица

- критерием хи-квадрат

-параметрическими критериями

- критерием Уилкоксона

?

Какая связь существует между величинами, если коэффициент корреляции равен -0, 44

- связь между величинами слабая и прямая;

+ связь между величинами слабая и обратная;

 

- связь между величинами сильная и прямая;

- связи между величинами нет;

- связь между величинами сильная и обратная.

?

Как называется данное графическое представление распределения переменной

- Круговая диаграмма

- График

+ Гистограмма

- Цилиндрическая диаграмма

- Линейная диаграмма

?

По данным из графика найдите значение нижнего квартиля.

- 115 уд./мин

+ 72 уд./мин

- 88 уд./мин

- 80уд./мин

- 46 уд./мин

?

В таблице приведены результаты расчета основных статистических характеристик артериального давления (мм.рт.ст.) в опытной группе больных, принимающих нефидипин, и контрольной группе больных, принимающих плацебо.

  N Среднее Медиана Мода минимум максимум s
Контроль   128, 9         22, 3
Опыт   102, 5         6, 8

Определите, в какой группе уровень артериального давления выше (какой статистический параметр на это указывает);

- в опытной группе (максимум)

+ в контрольной группе (среднее)

- в контрольной группе (мода)

- в опытной группе (медиана)

- в контрольной группе (s)

?

Оцените по данной диаграмме рассеяния связь между переменными:

- прямая и сильная

- обратная и слабая

+ отсутствует

- прямая и средняя

- обратная и средняя

?

Сформулируйте нулевую гипотезу исходя из данных в таблице:

  А1 (городские) А2 (сельские)  
В1 (анемия есть) a B A+b
В2 (анемии нет) c D с+d
  n1=a+c n2=b+d n-a+b+c+d

- соотношение здоровых и больных не одинаково в городе и селе

-соотношение здоровых и больных одинаково в городе и селе

- распространенность анемии зависит от места проживания

+место проживания зависит от распространенности анемии

- доля здоровых и больных не одинаково в городе и селе

?

Какой метод статистического анализа используется для сравнения средних в 2 группах, состоящих из одних и тех же объектов

- факторный анализ;

+ t-критерий для зависимых выборок;

- кластерный анализ;

- t-критерий для независимых выборок;

- дискриминантный анализ.

?

Какой метод статистического анализа используется для определения закона распределения параметра

- факторный анализ;

- диаграмма размаха;

+ таблицы частот;

- дисперсионный анализ;

- дискриминантный анализ.

?

Если коэффициент корреляции близок к 1, какая связь существует между величинами

- связь между величинами слабая и прямая;

-связь между величинами сильная и прямая;

- связи между величинами нет;

- связь между величинами слабая и обратная;

+связь между величинами сильная и обратная.

?

По данным регрессионного анализа определите коэффициент b0

Ср.знач. Х Ср.знач. Y
     

- 202

- 150

- 142

+ 22

- 72

?

Что показывает дисперсия наблюдаемой величины

- разброс относительно нуля;

+ разброс относительно среднего по выборке;

- плотность распределения;

- наиболее часто встречающиеся величины;

- уровень значимости критерия.

?

Чему равно выборочное среднеквадратическое отклонение

- квадратному корню из выборочной средней

+ квадратному корню из выборочной дисперсии

- квадрату выборочной дисперсии

- квадрату выборочной средней

- сумме выборочной средней и выборочной дисперсии

?

Какой метод используется для вычисления коэффициентов в уравнении регрессии?

- неопределенных множителей

- условной средней

+ наименьших квадратов

- оптимизации

- Рунге-Кутта

?

Укажите максимальное значение давления по данной гистограмме:

- от 170 до 180

- от 140 до 150

+ от 200 до 210

- от 150 до 200

- от 160 до 190

?

Оцените по данной диаграмме рассеяния коэффициент корреляции между переменными:

- r = -1.0

- r = 0.0

+r = -0.47

- r = 0.47

- r = 1.0

?

Как определяется выживаемость

- отношение числа умерших к числу выживших

- отношение числа выживших к числу умерших

- отношение числа недоживших до момента t к числу переживших момент

+ отношение числа переживших момент t к общему числу наблюдаемых

- отношение числа выживших к числу переживших момент t

?

До какого часа доживут 40% обследованных

- 1

- 3

+ 9

- 5

- 7

?

В каких случаях для определения взаимосвязи между случайными величинами используется коэффициент корреляции Спирмена

- для количественных признаков

- для независимых признаков

- для независимых выборок

+ в случае малых выборок

- в случае ранжированного ряда

?

Какие значения принимают непрерывные признаки

;

- только целые значения;

- только дробные.

- не принимают числовые значения;

+неопределенные значения.

-любые значения в некотором интервале

?

Исследования показали, что в некотором районе до и после проведения профилактических бесед доля курящих составляла 15% и 8% населения, соответственно. Какой метод анализа можно использовать для выяснения эффективности профилактических мероприятий

+ таблица сопряженности для зависимых выборок

- критерий Стъюдента зависимых выборок

- критерий Стъюдента независимых выборок

- коэффициент корреляции

- таблица сопряженности для независимых выборок

?

Дан вариационный ряд значений некоторой случайной величины:

2 3 3 3 3 3 5 5 5 5 7 7 7 7 8 8 9

ЧемуравнаМода?

- 7

+ 3

- 5

- 6

- 6, 5

?

Известно значение дисперсии равное 4, чему равно среднее квадратическое отклонение

- 16

- 81

- 160

+ 2

- 64

?

В результате исследования продолжительности сна у 10 работников была получена следующая таблица частот:

Сколько в среднем работники тратят времени на сон

+ 7, 4;

- 3, 5;

- 6, 5;

- 9;

- 8, 4.

?

С увеличением величины соответствующие им значения второго вариационного ряда в среднем возрастает, если коэффициент корреляции:

-

-

-

-

+

?

В случае очень больших отличий распределения признака от нормального закона, при малых объемах выборки, а также для анализа порядковых данных какой статистический критерий следует применять:

- параметрические критерии

+нулевые гипотезы

- альтернативные гипотезы

-непараметрические критерии

- зависимые выборки

?

Оцените по данной диаграмме рассеяния коэффициент корреляции между переменными:

- прямопропорциональная

- обратная и слабая

- отсутствует

- обратная и средняя

+ прямая и средняя

?

При каком значении коэффициента корреляции между величинами существует обратно пропорциональная зависимость

-

-

-

-

+

?

Можно ли утверждать, что содержание сахара в крови после приема инсулина снизилось

Сахар в крови, г/л   Твыч-Уилкоксона Ткрит-Уилкоксона α
До приема инсулина     0, 05
После приема инсулина

- Можно с вероятностью ошибки 95%

- Можно с вероятностью ошибки 1%

- Можно с вероятностью ошибки 99%

+ Можно с вероятностью ошибки 5%

- Нельзя

?

По данным из таблицы определите заболеваемость

Общее количество случаев болезни за год на 100 000 населения  
Число новых случаев болезни за год на 100 000 населения  

- 8

- 16

- 375

- 400

+ 25

?

Чему равна медиана выживаемости на данном графике:

- 15

- 5

- 30

- 10

+ 20

?

Как называются качественные признаки, значения которых могут быть упорядочены

- непрерывные признаки

- номинальные признаки

+дискретные признаки

-ординальные признаки

- количественные признаки

?

Учитывая, что норма гемоглобина составляет 130-160 г/л, по данным из таблицы определите у скольки обследованных этот показатель выше нормы

N Мо Ме Q25 Q75 Q75 - Q25
35 140 145 145 130 160 30

- 5

- 12

- 25

- 30

+ 8

?

Что откладывают по оси абсцисс для построения гистограммы

+диапазоны значений;

- частоты значений;

- средние по значениям;

- дисперсию значений;

- размах значений.

?

В таблице приведены результаты расчета основных статистических характеристик артериального давления (мм.рт.ст.) в опытной группе больных, принимающих нефидипин, и контрольной группе больных, принимающих плацебо.

  N Среднее Медиана Мода минимум максимум s
Контроль   138, 9         22, 3
Опыт   122, 5         6, 8

В какой группе уровень артериального давления выше?

- в опытной группе;

- в обоих группах одинаково;

- нет необходимых данных;

+ в контрольной группе;

- необходима третья группа.

?

Опишите, как повлияла физическая нагрузка на систолическое давление в группе лиц старше 60 лет.

- в целом нет изменений;

- давление после нагрузки стало ниже;

+ давление после нагрузки стало выше;

- не достаточно данных;

- необходима контрольная группа.

?

Сформулируйте нулевую гипотезу при проведении факторного дисперсионного анализа:

- Фактор оказывает действие на изучаемую случайную величину

- Случайная величина имеет нормальное распределени

+ Фактор не оказывает действие на изучаемую случайную величину

- Уровни фактора независимы

- Дисперсия фактора равна дисперсии случайной величины

?

Какой показатель можно использовать для выяснения взаимосвязи между рационом питания и содержанием витаминов в крови

+ коэффициент корреляции

- критерий Стъюдента зависимых выборок

- критерий Стъюдента независимых выборок

- критерий Уилкоксона

- критерий Манна-Уитни

?

Дан вариационный ряд значений некоторой случайной величины:

2 3 6 13 51 5 25 54 71 72 73

Чему равна Мода

- 51

+ отсутствует

- 6

- 25

- 13

?

Какое число исследуемых выживут до конца исследования (исследование длилось 16 месяцев):

- 0, 3

- 0, 5

- 0, 8

- 1

+ 0

?

При анализе соотношения ожидаемых и наблюдаемых частот для независимых выборок было получено, что критерий хи-квадрат больше критического его значения. Сделайте вывод относительно альтернативной гипотезы.

- альтернативная гипотеза отвергается

+ альтернативная гипотеза принимается

- альтернативная гипотеза не может быть ни принята, ни отвергнута

- хи-квадрат критерий не может быть использован для данной задачи

- недостаточно данных для формулировки выводов

?

Какие 2 вида критерия существует для проверки гипотез в биометрии


Поделиться с друзьями:

mylektsii.su - Мои Лекции - 2015-2026 год. (2.121 сек.)Все материалы представленные на сайте исключительно с целью ознакомления читателями и не преследуют коммерческих целей или нарушение авторских прав Пожаловаться на материал