Студопедия

Главная страница Случайная страница

КАТЕГОРИИ:

АвтомобилиАстрономияБиологияГеографияДом и садДругие языкиДругоеИнформатикаИсторияКультураЛитератураЛогикаМатематикаМедицинаМеталлургияМеханикаОбразованиеОхрана трудаПедагогикаПолитикаПравоПсихологияРелигияРиторикаСоциологияСпортСтроительствоТехнологияТуризмФизикаФилософияФинансыХимияЧерчениеЭкологияЭкономикаЭлектроника






Критерий Стъюдента для зависимых выборок






- критерий Уилкоксона

- критерий Вальда-Вольфовица

?

95 процентный доверительный интервал для одной средней составляет , для второй средней . Сделайте вывод относительно гипотезы о равенстве двух средних:

+две средние равны

- две средние не равны

- нулевая гипотеза не может быть ни принята, ни отвергнута

- две выборки извлечены из разных генеральных совокупностей

- недостаточно данных для формулировки выводов

?

По данным из таблицы сделайте вывод о равенстве двух генеральных средних.

Анализируемая величина Группы Нижняя граница 95%-го доверительного интервала Верхняя граница 95%-го доверительного интервала
Белок в крови, г/л Практически здоровые    
Больные гепатитом    

- две средние равны

-две средние не равны

- нулевая гипотеза не может быть ни принята, ни отвергнута

+две выборки извлечены из разных генеральных совокупностей

- недостаточно данных для формулировки выводов

?

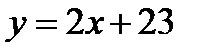
По данному уравнению линейной регрессии спрогнозируйте значение веса при росте

- 60

- 80

-100

-70

- 20

?

По данному уравнению линейной регрессии спрогнозируйте значение концентрации пролактина в крови (нг/мл) при cроке беременности 2 месяца:

- 60

- 80

-75

- 20

+50

?

По данному уравнению линейной регрессии спрогнозируйте значение концентрации пролактина в крови (нг/мл) при cроке беременности 4 месяца:

+112

- 12

- 31

-124

- 120

?

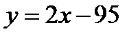
По данному уравнению линейной регрессии спрогнозируйте площадь поражения артерий таза у лиц возраста 70 лет:

+45

- 95

- 2

-93

- 97

?

По данному уравнению линейной регрессии спрогнозируйте концентрацию гормона в моче у лиц возраста 55 лет:

- 2

- 15

+1, 5

-4

- 0, 1

?

По данному уравнению линейной регрессии спрогнозируйте площадь поверхности тела у лиц весом 60 кг:

- 2

- 4, 5

-4

- 0, 1

+1, 5

?

По данному уравнению линейной регрессии спрогнозируйте объем циркулирующей крови у лиц ростом :

- 4, 5

-4, 45

- 11, 5

+4, 55

- 0, 1

?

По данному уравнению линейной регрессии спрогнозируйте содержание гемоглобина при массе тела :

- 60

- 10

-75

+ 90

- 160

?

По данному уравнению линейной регрессии спрогнозируйте какова будет успеваемость, если время на самоподготовку составит 18 час/нед:

+ 77

- 67

- 70

-5

- 13

?

По данному уравнению линейной регрессии спрогнозируйте ЧСС при физической нагрузке :

+ 50

- 60

- 10

-80

- 2

?

По данному уравнению линейной регрессии спрогнозируйте электрическую активность сетчатки при проницаемости сосудов = 20:

- 60

- 10

-90

-12

- 150

?

По данному уравнению линейной регрессии спрогнозируйте АД в возрасте 40 лет:

- 70

- 10

-12

+ 140

- 7

?

По данному уравнению линейной регрессии спрогнозируйте азотистый баланс при потреблении азота 98 мг/кг:

- 41

- 51

-61

- 21 +

3 1

?

По данному уравнению линейной регрессии спрогнозируйте концентрацию гормона в моче у лиц возраста 60 лет:

- 5, 2

+0, 8

- 0, 1

-1

- 2, 1

?

По данному уравнению линейной регрессии спрогнозируйте концентрацию пролактина на 9 месяце беременности:

- 15

- 60

+195

-10

- 185

?

По данному уравнению линейной регрессии спрогнозируйте содержание гемоглобина при массе тела :

- 5

- 60

-10

+80

- 135

?

По данному уравнению линейной регрессии спрогнозируйте ЧСС при физической нагрузке :

+60

- 2

- 70

-10

- 15

?

По данному уравнению линейной регрессии спрогнозируйте электрическую активность сетчатки при проницаемости сосудов = 15:

- 2

- 70

-10

- 15

-40

?

По данному уравнению линейной регрессии спрогнозируйте АД в возрасте 60 лет:

+143

- 2

- 23

-10

- 145

?

По данному уравнению линейной регрессии спрогнозируйте длину грудного плавника у окуней при длине головы

- 2

- 30

- 72

+20

- 52

?

По данному уравнению линейной регрессии спрогнозируйте какова будет успеваемость, если время на самоподготовку составит 20 час/нед:

- 5

- 72

+ 89

-10

- 11

?

По данному уравнению линейной регрессии спрогнозируйте электрическую активность сетчатки при проницаемости сосудов = 13:

- 50

- 60

-10

+ 200

- 20

?

Определить по таблице, влияет ли фактор на случайную величину?

Число уровней фактора количество объектов исследования Dмежгр Dвнутр
       

- фактор влияет

- нулевая гипотеза не может быть ни принята, ни отвергнута

- две выборки извлечены из разных генеральных совокупностей

- недостаточно данных для формулировки выводов

+ фактор не влияет

?

Определить по таблице, влияет ли фактор на случайную величину?

Число уровней фактора количество объектов исследования Dмежгр Dвнутр
    0, 999 0, 125

- фактор не влияет

- нулевая гипотеза не может быть ни принята, ни отвергнута

- две выборки извлечены из одной генеральной совокупности

+ фактор влияет

- недостаточно данных для формулировки выводов

?

Определить влияет ли фактор на случайную величину по данным из таблицы:

Число уровней фактора количество объектов исследования Dмежгр Dвнутр
      37, 8

- фактор не влияет

- нулевая гипотеза не может быть ни принята, ни отвергнута

- две выборки извлечены из одной генеральной совокупности

- недостаточно данных для формулировки выводов

+фактор влияет

?

Определить по таблице, влияет ли фактор на случайную величину?

Число уровней фактора количество объектов исследования Dмежгр Dвнутр
       

+ фактор влияет

- фактор не влияет

- нулевая гипотеза не может быть ни принята, ни отвергнута

- две выборки извлечены из одной генеральной совокупности

- недостаточно данных для формулировки выводов

?

Определить по таблице, влияет ли фактор на случайную величину?

Число уровней фактора количество объектов исследования Dмежгр Dвнутр
       

- фактор влияет

- нулевая гипотеза не может быть ни принята, ни отвергнута

- две выборки извлечены из разных генеральных совокупностей

- недостаточно данных для формулировки выводов

+ фактор не влияет

?

Определить по таблице, влияет ли фактор на случайную величину?

Число уровней фактора количество объектов исследования Dмежгр Dвнутр
    0, 99 0, 12

- фактор не влияет

- нулевая гипотеза не может быть ни принята, ни отвергнута

- две выборки извлечены из одной генеральной совокупности

+ фактор влияет

- недостаточно данных для формулировки выводов

?

Определить по таблице, влияет ли фактор на случайную величину?

Число уровней фактора количество объектов исследования Dмежгр Dвнутр
    41, 2 35, 7

- фактор влияет

- нулевая гипотеза не может быть ни принята, ни отвергнута

+ фактор не влияет

- две выборки извлечены из разных генеральных совокупностей

- недостаточно данных для формулировки выводов

 

?

Определить по таблице, влияет ли фактор на случайную величину?

Число уровней фактора количество объектов исследования Dмежгр Dвнутр
       

 

- фактор влияет

- нулевая гипотеза не может быть ни принята, ни отвергнута

- две выборки извлечены из разных генеральных совокупностей

- недостаточно данных для формулировки выводов


Поделиться с друзьями:

mylektsii.su - Мои Лекции - 2015-2026 год. (1.186 сек.)Все материалы представленные на сайте исключительно с целью ознакомления читателями и не преследуют коммерческих целей или нарушение авторских прав Пожаловаться на материал