Студопедия

Главная страница Случайная страница

КАТЕГОРИИ:

АвтомобилиАстрономияБиологияГеографияДом и садДругие языкиДругоеИнформатикаИсторияКультураЛитератураЛогикаМатематикаМедицинаМеталлургияМеханикаОбразованиеОхрана трудаПедагогикаПолитикаПравоПсихологияРелигияРиторикаСоциологияСпортСтроительствоТехнологияТуризмФизикаФилософияФинансыХимияЧерчениеЭкологияЭкономикаЭлектроника






Расчет термического сопротивления наружной стены из штучных материалов






Расчет сопротивления теплопередаче вертикальных и горизонтальных ограждающих конструкций

Расчет термического сопротивления наружной стены из штучных материалов

Исходные данные:

· Влажностной режим помещения – нормальный.

· Гродненская область

· Температура внутреннего воздуха - tв = 18 °С.

 

 

Рисунок 1.1 - Конструкция наружной стены здания

 

Влажностной режим нормальный, условия эксплуатации ограждающих конструкций «Б» по таблице 4.2[1].

Расчетные значения коэффициентов теплопроводности λ и теплоусвоения S материалов принимаем по таблице 4.1[1] для условий эксплуатации ограждений «Б»:

- Плиты мягкие, полужесткие и жесткие минераловатные на синтетическом

связующем (А)

λ 1 = 0, 069 Вт/(м ∙ °С); S1 = 1, 08Вт/(м2 ∙ °С);

- Цементно-песчаный раствор (Д)

λ 2 = 0, 93 Вт/(м ∙ °С); S2 = 11, 09Вт/(м2 ∙ °С);

- Глиняный кирпич (В)

λ 3 = 0, 81Вт/(м ∙ °С); S3 = 10, 12 Вт/(м2 ∙ °С);

- Воздушная прослойка (С)

λ 4 = 1, 4Вт/(м ∙ °С); S4 = 11, 52 Вт/(м2 ∙ °С

 

Нормативное сопротивление теплопередаче для наружных стен из штучных материалов согласно таблице 5.1 [1] Rнорм =3.2(м2∙ °С)/Вт.

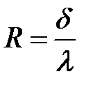
Для определения тепловой инерции стены находим термическое сопротивление отдельных слоев конструкции по формуле:

,

где δ – толщина рассматриваемого слоя, м;

λ – коэффициент теплопроводности данного слоя, Вт/(м∙ °С).

Вычислим термическое сопротивление отдельных слоев:

 

- Цементно-песчаный раствор

2 ∙ º С)/Вт;

- Глиняный кирпич

2 ∙ º С)/Вт;

- Воздушная прослойка

2 ∙ º С)/Вт;

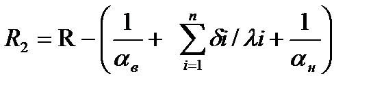
Термическое сопротивление плиты мягкой, полужесткой и жесткой минераловатной на синтетическом связующем R3 находим из формулы:

где α в – коэффициент теплоотдачи внутренней поверхности, выбираем по табл.5.4[1], α в=8, 7 Вт/(м2∙ °С);

α н – коэффициент теплоотдачи наружной поверхности, выбираем по табл. 5.7[1], α н=23 Вт/(м2∙ °С);

– термическое сопротивление ограждающей конструкции

2∙ °С)/Вт.

Отсюда следует что, термическое сопротивление слоя плит мягких, полужестких и жестких минераловатных на синтетических

связующих находится по формуле:

.

Подставив значения в эту формулу, получим:

2∙ °С)/Вт.

Вычисляем тепловую инерцию по формуле:

где Si – расчетный коэффициент теплоусвоения слоя материала конструкции в условиях эксплуатации согласно таблице 4.2[1], принимаем по таблице A.1[1], Вт/(м2∙ °С).

D=R1∙ S1+ R2∙ S2+ R3∙ S3+ R4∙ S4;

D=2, 508∙ 1, 08+0, 215∙ 11, 09+0, 308∙ 10, 12+0, 011∙ 11, 52=8

 

По таблице 5.2 [1] для ограждающей конструкции с тепловой инерцией св.4 до7, 0 (стены средней инерционности) за расчетную зимнюю температуру наружного воздуха следует принять среднюю температуру наиболее холодных трех суток с обеспеченностью 0, 98, которая для Гродненской области составляет: -31 ° С (таблица 4.3[1]).

 

Рассчитаем требуемую толщину теплоизоляционного слоя:

м.

Рассчитаем общую толщину стены:

м.

Определяем требуемое сопротивление теплопередачи стены по формуле:

RTтр= 2 0С)/Вт.

Находим экономически целесообразное сопротивление теплопередачи.

 

м2 0С)/Вт.

где См стоимость материала бел.руб/м3. См=500000 бел.руб/м3

Сведения взяты с сайта: Тамирострой.

Ссылка: https://tamirastroi.pulscen.by/goods/30389682-teploizo.

где - стоимость тепловой энергии, руб/ГДж;

—продолжительность отопительного периода согласно таблице 4.4, сут;

– средняя за отопительный период температура наружного воздуха, принимаемая по таблице 4.4, С;

- коэффициент теплопроводности материала однослойной или теплоизоляционного слоя многослойной ограждающей конструкции в условиях эксплуатации, (1, таблица А.1) в зависимости от расчётной температуры и относительной влажности внутреннего воздуха, ()/Вт

Вывод: Теплоизоляционный слой из плитминераловатных на синтетическом связующем 0, 173 м обеспечивает нормативные требования, предъявляемые к сопротивлению теплопередаче ограждающих конструкций.

Проверяем соответствие требованию:

0, 805 < 3, 2 – условие выполнятся, следовательно, данный утеплитель удовлетворяет требованиям TKP 45-2.04-43-2006.

 

 

1 1.2Расчёт термического сопротивления горизонтальной ограждающей конструкции.

Рисунок 1.2 - Конструкция покрытия здания

Расчетные значения коэффициентов теплопроводности λ и теплоусвоения S материалов принимаем по таблице А.1[1] для условий эксплуатации ограждений «А»:

-Щебень и песок из перлита вспученного Этого не может быть!!!

λ 1 = 1, 12 Вт/(м ∙ °С); S2 = 1, 30 Вт/(м2 ∙ °С);

- Битумы нефтяные строительные и кровельные

λ 2 = 0, 22 Вт/(м ∙ °С); S2 = 5, 69 Вт/(м2 ∙ °С);

- Керамзитобетон на керамзитовом песке и керамзитобетон

λ 3 = 0, 92 Вт/(м ∙ °С); S1 = 12, 33 Вт/(м2 ∙ °С);

- Воздушная прослойка

λ 4 = 0, 19Вт/(м ∙ °С); Этого не вижу. Теперь постарайся мне показать это в своем задании

Конструктивное решение представлено на рисунке 1.2. Предварительно, для нахождения термического сопротивления перекрытия определили толщину искомого слоя Х. Для этого по таблице 5.1.[1] выбираем нормативное сопротивление теплопередаче Rнорм = 6, 0(м2∙ °С)/Вт.

Сопротивление искомого слоя находим по формуле:

 

Где, в - коэффициент теплопередачи наружной поверхности ограждающей конструкции, [1, таблица5.4.];

н - коэффициент теплопередачи наружной поверхности ограждающей конструкции для зимних условий, применяемый по таблице 5.7 [1].

Определяем толщину искомого слоя:

м.

Разделим конструкцию на повторяющиеся элементы, приняв, что данные элементы имеют правильную геометрическую форму прямоугольника со сторонами 0, 1х0, 1.

Определим термическое сопротивление элементов при условии деления их плоскостями, параллельными тепловому потоку.

 

Определяем площади элементов:

м2;

м2;

Термическое сопротивление элемента при условии деления его плоскостями,

Параллельными тепловому потоку:


Находим термическое сопротивление при условном делении его плоскостями, перпендикулярными тепловому потоку.

 

2· 0С)/Вт;

 

2· 0С)/Вт;

 

2· 0С)/Вт;

 

2· 0С)/Вт;

 

Тогда,

 

 

 

Итак, получили: 2∙ °С)/Вт. 2∙ °С)/Вт.

 

Так как термическое сопротивление не превышает величину более чем на 25%, то термический расчет конструкции выполняют согласно формуле:

 

 

2∙ °С)/Вт.

 

Вывод: данная конструкция перекрытия не удовлетворяет требованиям [1] по теплопроводности, так как нормативное сопротивление конструкции

Rнорм = 6, 0(м2∙ °С)/Вт., что больше расчетного сопротивления R=5, 3(м2∙ °С)/Вт.

 


Поделиться с друзьями:

mylektsii.su - Мои Лекции - 2015-2026 год. (0.594 сек.)Все материалы представленные на сайте исключительно с целью ознакомления читателями и не преследуют коммерческих целей или нарушение авторских прав Пожаловаться на материал