Студопедия

Главная страница Случайная страница

КАТЕГОРИИ:

АвтомобилиАстрономияБиологияГеографияДом и садДругие языкиДругоеИнформатикаИсторияКультураЛитератураЛогикаМатематикаМедицинаМеталлургияМеханикаОбразованиеОхрана трудаПедагогикаПолитикаПравоПсихологияРелигияРиторикаСоциологияСпортСтроительствоТехнологияТуризмФизикаФилософияФинансыХимияЧерчениеЭкологияЭкономикаЭлектроника






Расчет температурного поля в многослойной конструкции






 

Определить температуры на границах слоев многослойной конструкции наружной стены, тепловой поток и глубину промерзания при следующих данных: tв = 18 °С, tн = -25 °С.

 

№ слоя Название слоя λ , δ, м
  Цементно-песчаный раствор 0, 93 0, 02
  Плиты мягкие, полужесткие и жесткие минераловатные на синтетическом связующем 0, 069 0, 173
  Воздушная прослойка 1, 4 0, 015
  Глиняный кирпич 0, 81 0, 25

 

Определяем термическое сопротивление каждого слоя материала:

Нормативное сопротивление теплопередаче для наружных стен из штучных материалов согласно таблице 5.1 [1] Rнорм = 3, 2(м2∙ °С)/Вт.

Для определения тепловой инерции стены находим термическое сопротивление отдельных слоев конструкции по формуле:

,

где δ – толщина рассматриваемого слоя, м;

λ – коэффициент теплопроводности данного слоя, Вт/(м∙ °С).

Вычислим термическое сопротивление отдельных слоев:

 

 

- Цементно-песчаный раствор

2 ∙ º С)/Вт;

- Плиты мягкие, полужесткие и жесткие минераловатные на синтетическом связующем

2 ∙ º С)/Вт;

- Воздушная прослойка

2 ∙ º С)/Вт;

- Силикатный кирпич

2 ∙ º С)/Вт;

Рассчитаем общую толщину стены:

м.

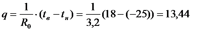
Определим тепловой поток через трехслойную конструкцию при разности температур двух сред:

Вт/м2,

где tв - температура внутреннего воздуха, °С;

tн - температура наружного воздуха, °С.

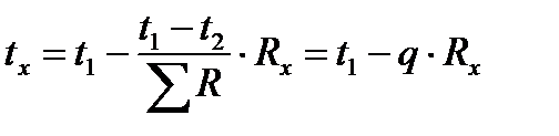
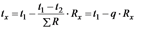
Определяем температуры на границах слоев конструкции по формуле:

,

где tx - температура в любой точке конструкции, °С;

Rx - часть термического сопротивления, находящегося между плоскостями c температурами t1 и tx, (м2 ∙ º С)/Вт.

º С;

º С;

º С;

º С;

º С.

 

 

Граница промерзания находится в слое плиты мягких, полужестких и жестких минераловатных на синтетическом связующем.

Определяем глубину промерзания в теплоизоляционном слое и составляем пропорцию:

;

Отсюда х=0, 083 м;

Общая глубина промерзания в этом случае составит:

δ пр = δ 2-х+ δ 3+ δ 4 =0, 184-0, 083+0, 03+0, 25=0, 355 м.

Рисунок 5 – Глубина промерзания в теплоизоляционном слое

 

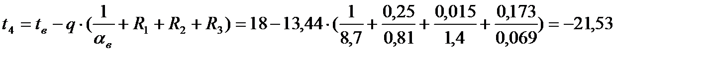
Меняем температуру наружного и внутреннего воздуха местами и рассматриваем данный вариант.

 

Рисунок 6 - Изменение температуры в наружной стене

 

Значение термического сопротивления всей конструкции и теплового потока в этом случае останется прежним:

Вт/м2,

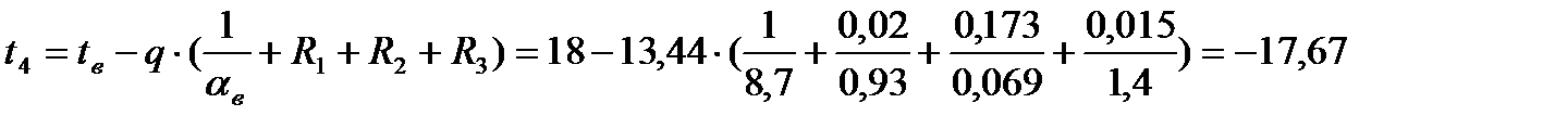
Определяем температуры на границах слоев конструкции по формуле:

,

где tx - температура в любой точке конструкции, °С;

Rx - часть термического сопротивления, находящегося между плоскостями c температурами t1 и tx, (м2 ∙ º С)/Вт.

º С;

º С;

º С;

º С;

º С.

Граница промерзания находится в слое плит мягких, полужестких и жестких минераловатных на синтетическом связующем.

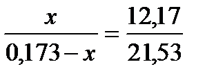
Определяем глубину промерзания в теплоизоляционном слое и составляем пропорцию:

;

Отсюда х=0, 0619 м;

 

Общая глубина промерзания в этом случае составит:

δ пр = δ 2 -х+ δ 1=0, 173-0, 0612+0, 02=0, 132 м.

 

Рисунок 7 – Глубина промерзания в теплоизоляционном слое

 

Вывод: Глубина промерзания, в первом случае (теплоизоляция ближе к внутренней стороне здания) составляет 355 мм, во втором случае (теплоизоляция ближе к наружной стороне здания) 132 мм. Экономически целесообразнее делать теплоизоляцию ближе к наружной стороне здания, при этом точка росы находится в теплоизоляционном слое и несущая конструкция не промерзает в отличие от случая когда теплоизоляция находится ближе к внутренней стороне здания.

 


Поделиться с друзьями:

mylektsii.su - Мои Лекции - 2015-2026 год. (0.877 сек.)Все материалы представленные на сайте исключительно с целью ознакомления читателями и не преследуют коммерческих целей или нарушение авторских прав Пожаловаться на материал