Студопедия

Главная страница Случайная страница

КАТЕГОРИИ:

АвтомобилиАстрономияБиологияГеографияДом и садДругие языкиДругоеИнформатикаИсторияКультураЛитератураЛогикаМатематикаМедицинаМеталлургияМеханикаОбразованиеОхрана трудаПедагогикаПолитикаПравоПсихологияРелигияРиторикаСоциологияСпортСтроительствоТехнологияТуризмФизикаФилософияФинансыХимияЧерчениеЭкологияЭкономикаЭлектроника






Пример расчета одноступенчатой параллельной схемы присоединения водоподогревателей ГВС






Приложение 3

 

 

Выбрать и рассчитать водоподогревательную установку для ГВС, оборудованного водоподогревателями, состоящими из секций кожухотрубного типа с трубной системой из прямых гладких труб с блоком опорных перегородок по ГОСТ 27590. Система отопления здания присоединена по зависимой схеме. В автономной котельной имеется бак-аккумулятор.

 

Исходные данные:

 

1.Температура теплоносителя (греющей воды) принята:

при расчетной температуре наружного воздуха для проектирования отопления t0 = - 23º С:

в подающем трубопроводе = 100º С; в обратном - = 70º С;

2. Температура холодной водопроводной воды t с = 5º С.

3. Температура горячей воды, поступающей в СГВ th = 60º С.

4. Расчетная тепловая производительность водоподогревателей Qsp h = Qhm = = Qh T = 95889 Вт.

5. Плотность воды принять = 1000 кг/м3 .

6. Максимальный расчетный секундный расход воды на ГВС qh =2, 5 л/с.

 

Порядок расчета:

 

1. Расчетный расход греющей воды

 

кг/ч.

 

 

2. Расход нагреваемой воды на ГВС

 

кг/ч.

 

 

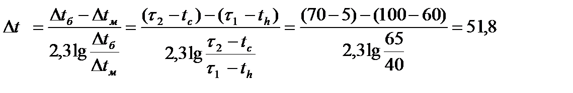
3. Температурный напор водоподогревателя ГВС

 

º С.

 

4. Необходимое сечение трубок водоподогревателя при скорости воды в трубках = 1 м/ с и < 2 МВт при однопоточной компановке

 

м 2.

 

Из таблицы прил. 3 по полученной величине подбираем тип секции водоподогревателя со следующими характеристиками: = 0, 00062м2; = 57 мм; = 0, 00116 м 2; = 0, 013 м; = 0, 37 м 2; = 0, 014 м.

5. Скорость воды в трубках

 

м/с.

 

6. Скорость сетевой воды в межтрубном пространстве

 

м/с.

 

7. Средняя температура греющей воды

 

º С;

 

8. Средняя температура нагреваемой воды

 

º С;

 

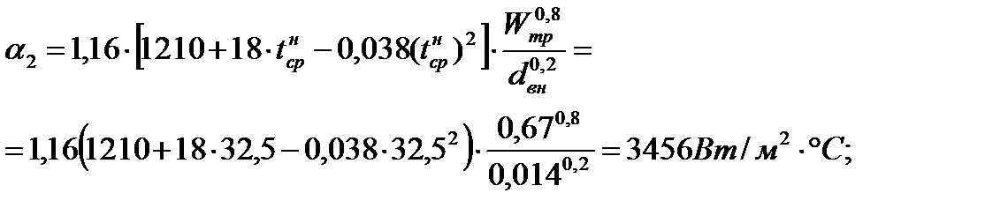
9. Коэффициент теплоотдачи от греющей воды к стенкам трубок

 

 

10. Коэффициент теплоотдачи от стенок трубок к нагреваемой воде

11. Коэффициент теплопередачи при = 0, 9; = 1, 2; = 105 Вт/м º С

 

Вт/м2 º С;

 

12. Требуемая поверхность нагрева

 

м2;

 

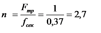
13. Число секций водоподогревателя ГВС

 

шт.

 

Принимаем 3 секции; действительная поверхность нагрева = 0, 37 3 = = 1, 11 м2.

В результате расчета получилось 3 секции в подогревателе поверхностью нагрева 1, 11 м2.

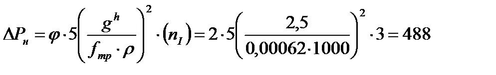
14. Потери давления в водоподогревателях (3 последовательных секций длиной 2 м) для воды, проходящей в трубках с учетом = 2:

 

кПа.

15. Потери давления в водоподогревателе ГВС для воды, проходящей в межтрубном пространстве с учетом В = 25

 

 

Условное обозначение теплообменников:

57 2 - 1, 0 - РГ - 3 - У3 ГОСТ 27590-88;

Таблица

Технические характеристики водоподогревателей по ГОСТ 27590

  Наружный диаметр корпуса секции , мм   Число трубок в секции n, шт   Площадь сечения межтрубного пространства , м2   Площадь сечения трубок , м2   Эквива- лентный диаметр межтрубного пространства , м   Поверхность нагрева одной секции , м2, при длине, м
   
    0, 00116 0, 00062 0, 0129 0, 37 0, 75
    0, 00233 0, 00108 0, 0164 0, 65 1, 32
    0, 00327 0, 00154 0, 0172 0, 93 1, 88
    0, 005 0, 00293 0, 0155 1, 79 3, 58
    0, 0122 0, 00570 0, 019 3, 49 6, 98
    0, 02139 0, 00939 0, 0224 5, 75 11, 51
    0, 03077 0, 01679 0, 0191 10, 28 20, 56
    0, 04464 0, 02325 0, 0208 14, 24 28, 49

 

 


Поделиться с друзьями:

mylektsii.su - Мои Лекции - 2015-2026 год. (1.373 сек.)Все материалы представленные на сайте исключительно с целью ознакомления читателями и не преследуют коммерческих целей или нарушение авторских прав Пожаловаться на материал