Студопедия

Главная страница Случайная страница

КАТЕГОРИИ:

АвтомобилиАстрономияБиологияГеографияДом и садДругие языкиДругоеИнформатикаИсторияКультураЛитератураЛогикаМатематикаМедицинаМеталлургияМеханикаОбразованиеОхрана трудаПедагогикаПолитикаПравоПсихологияРелигияРиторикаСоциологияСпортСтроительствоТехнологияТуризмФизикаФилософияФинансыХимияЧерчениеЭкологияЭкономикаЭлектроника






пластинчатых водоподогревателей ГВС






 

Выбрать и рассчитать водоподогревательную установку пластинчатого теплообменника, собранного из пластин 0, 3р для СГВ того же ЦТП, что в примере с кожухотрубными секционными водоподогревателями. Следовательно, исходные данные, величины расходов и температуры теплоносителей на входе и выходе каждой ступени водоподогревателя принимаются такими же, как в прил.3.

 

Расчет:

 

1. Проверяем соотношение ходов в теплообменнике, принимая предварительно потери давления по нагреваемой воде = 100 кПа, по греющей воде = 40 кПа.

 

 

Соотношение ходов не превышает 2, но расход греющей воды больше расхода нагреваемой воды , следовательно, принимается несимметричная компоновка теплообменника.

2. По оптимальной скорости воды W опт = 0, 4 м/с и живому сечению одного межпластинчатого канала =0, 0011 м2 определяем требуемое число каналов по нагреваемой воде mн и греющей воде mгр

 

;

.

3. Общее живое сечение каналов в пакете по ходу нагреваемой и греющей воды ( принимаем равным 1, = 2)

 

м2;

м2.

 

4. Фактические скорости греющей и нагреваемой воды

 

м/с;

м/с.

 

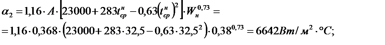
5. Из табл.1 прил. 4 А = 0, 368, получаем коэффициент теплоотдачи от греющей воды к стенке пластины

 

 

6. Коэффициент тепловосприятия от стенки пластины к нагреваемой воде

 

 

7. = 0, 8, коэффициент теплопередачи

 

Вт/мС;

 

8. Требуемая поверхность нагрева водоподогревателя ГВС

 

 

м2;

 

9. По табл.1 прил. 4 поверхность нагрева одной пластины = 0, 3 м2, количество ходов по греющей и нагреваемой воде в теплообменнике

 

 

Принимаем по греющей воде = 1, по нагреваемой воде = 2;

10. Действительная поверхность нагрева подогревателя ГВС

 

м2;

 

11. = 1 и из табл.1 прил. 4 Б = 4, 5, потери давления I ступени водоподогревателя по греющей и нагреваемой воде

 

 

В результате расчета в качестве подогревателя ГВС принимаем два теплообменника разборной конструкции (р) с пластинами типа 0, 3р, толщиной 1 мм, из стали 12х18Н10Т (исполнение 01), на консольной раме (исполнение 1к), с уплотнительными прокладками из резины марки 51-1481 (условное обозначение 12). Поверхность нагрева 1 м2. Технические характеристики пластинчатых теплообменников приведены в табл. 1-3 прил. 4.

Условное обозначение теплообменника:

 

Р 0, 3р – 1 – 1, 0 – 1к – 01 – 12 Сх = .

 

Таблица 1

Техническая характеристика пластин

    Показатель   Тип пластины  
0, 3р 0, 6р 0, 5Пр
Габариты, мм 1370 300 1 1375 600 1 1380 650 1
Поверхность теплообмена, м2 0, 3 0, 6 0, 5
Масса, кг 3, 2 5, 8 6, 0
Площадь поперечного сечения канала, м2   0, 0011   0, 00245   0, 00285
Ширина канала, мм      
Зазор для прохода рабочей среды в канале, мм     4, 5  
Коэффициенты: А   0, 368   0, 492   0, 492
Б 4, 5    

 

 

Таблица 2

Параметры пластинчатых теплообменников по ГОСТ 15518

    Показатель   Тип пластины  
0, 3р 0, 6р 0, 5Пр
Тип аппарата Разборный Разборный Полураз-борный
Расход теплоносителя, м3      
Площадь поверхности теплообменника, м2, и исполнение на раме: консольной (исполнение 1)   от 3 до 10   от 10 до 25   -
двухопорной (исполнение 2) от 12, 5 до 25 от 31, 5 до 160 от 31, 5 до 140
трехопорной с промежуточной плитой (исполнение 3)   -   от 200 до 300   от 160 до 320
Расчетное давление, МПа     1, 6
Габариты теплообменников, мм 650 400 1665 605 750 1800 2570 650 1860

 

 

Таблица 3

Характеристики прокладок для пластин

Условное обозначение прокладок Марка материала и технические условия Температура рабочей среды, º С
  Резина 359 (ТУ 38-1051023-89) От -20 до +80
  Резина 4326-Г (ТУ 38-1051023-89) От -30 до +100
  Резина 51-3042 (ТУ 38-1051023-89) До 150

 

 

 


 

 

 

 


 

 


Поделиться с друзьями:

mylektsii.su - Мои Лекции - 2015-2026 год. (1.959 сек.)Все материалы представленные на сайте исключительно с целью ознакомления читателями и не преследуют коммерческих целей или нарушение авторских прав Пожаловаться на материал