Расчёт режима работы предприятия и фонда рабочего времени
РАСЧЕТ КОЛИЧЕСТВА ТО И Р НА ПЛАНИРУЕМЫЙ ПЕРИОД
Высокий уровень организации технического обслуживания и ремонта позволяет содержать парк путевых машин в исправном состоянии, не допускает или сокращает простои из-за технических неисправностей, предупреждает внеплановую постановку машин в ремонт, а также обеспечивает восстановление их работоспособности.
Техническое обслуживание представляет собой комплекс работ для поддержания исправности или только работоспособности машины при подготовки к использованию по назначению, при хранении и транспортировании. Техническое обслуживание предусматривает обязательный заранее установленный для данного типа и модели машины объем работ, выполняемый периодически по плану в условиях эксплуатации.
Ремонт - это комплекс работ для поддержания и восстановления исправности или работоспособности машины. Объем работ по ремонту машин зависит от качества технического обслуживания и управления машиной, условий эксплуатации и особенностей конструкции машины.
Для построения графиков ТО и Р пользуются таблицами планово-предупредительных работ, где указаны полный цикл ТО, связанных с данной машиной.
Для расчета количества ТО и Р на планируемый период воспользуемся формулой:

3.ПОСТРОЕНИЕ ГОДОВЫХ И МЕСЯЧНЫХ ПЛАН-ГРАФИКОВ ПРОВЕДЕНИЯ ТО И Р НА ПЛАНИРУЕМЫЙ ПЕРИОД
Техническое обслуживание должно происходить в соответствии с планами и графиками. Основным условием планирования технического обслуживания путевых машин является определение выполнения каждой машиной предполагаемого объема работ в течении года или ее использование на работах в машиночасах.
Согласно Положению о планово-предупредительном ремонте путевых машин предусмотрен следующий перечень документации по планированию технического обслуживания и ремонта путевых машин- годовой план технического обслуживания и ремонта каждой путевой машины, месячный план-график технического обслуживания и ремонта машины.
План-график составляют на каждую машину на основании годового плана технического обслуживания и ремонта машин, данных о количестве отработанных часов или объеме выполненных работ каждой машиной к началу планируемого месяца, намечаемом объеме выполнения работ или количестве часов работы каждой машины в планируемом месяце в периодичности технического обслуживания и ремонтов.
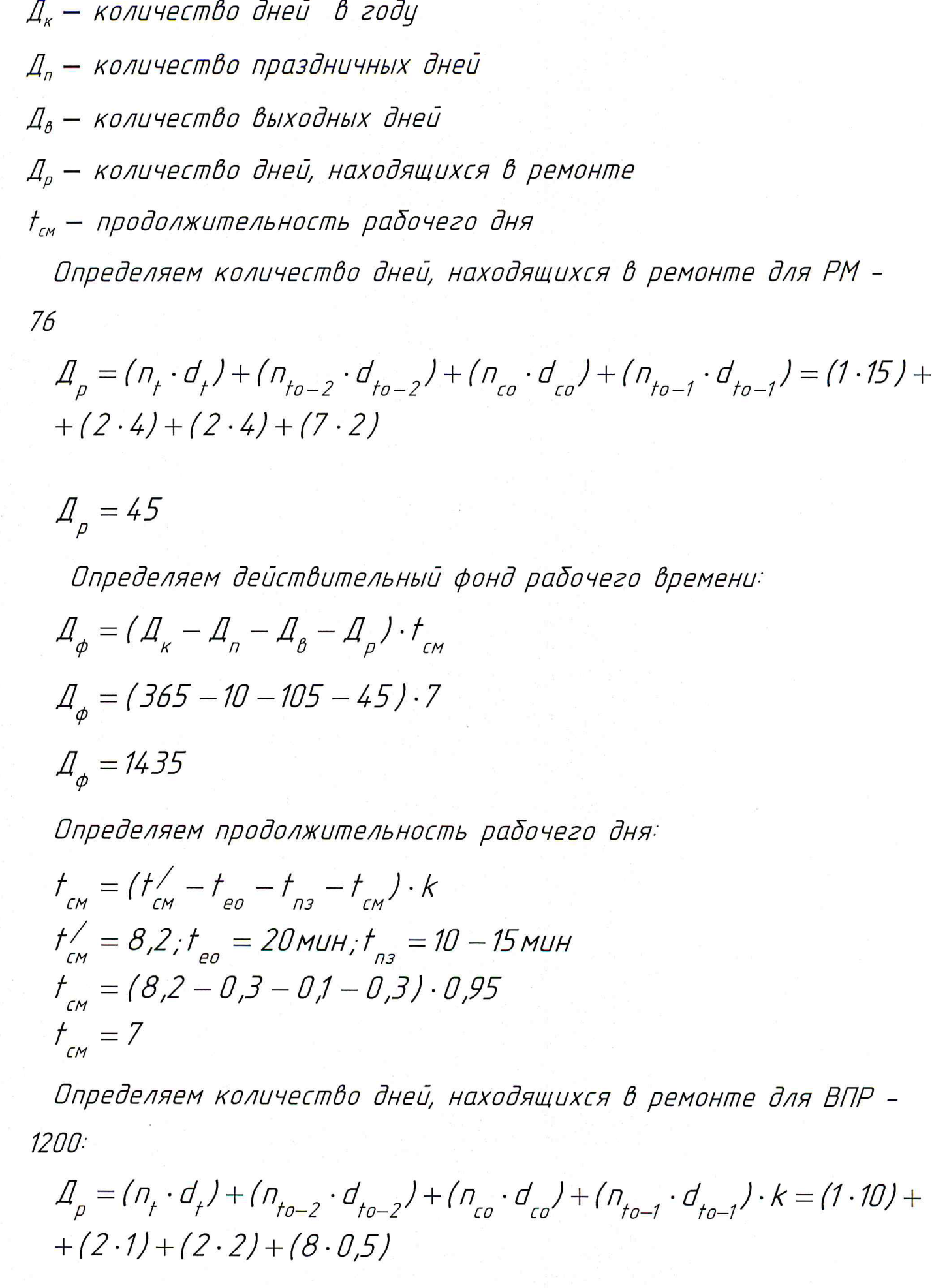
Действительный фонд рабочего времени:
Дф=(Дк-ДП-Дб-Др) х tCM, где


4. ЭКОНОМИЧЕСКИЙ РАСЧЕТ ЗАTPАТ НА ТО И Р
Трудоемкость ТО и Р определяется по нормативам, приведенным в инструкции по ППР. Искомая трудоемкость является:
Т = Тн –Км –Кс –Кп
где Тн — нормативная трудоемкость в чел. часах
Кс — 10 коэффициент, учитывающий способ организации производства — тупиковый
Км - 1, 0 коэффициент, учитывающий метод ремонта - индивидуальный
Кп - 1, 0 коэффициент, учитывающий серийность машины, программу при 100 шт., количество ремонтируемых машин. Отсюда трудоемкость:
Т = Тн -1-1-1 = Тн
Искомую трудоемкость будем определять табличным способом для сокращения объема расчета, а рассчитывается она следующим образом:
1Т=Ттн*nтн+nmo-2 *Тт°-2н+nmo-1 *Тто-1н+nco*Тсоh
на парк машин одной площади
2.Тн =nм *Гн
Nk, nc, nm, nmo-2, nmo-1, nco- количество ТО и Р для одной машины в планируемом году
РАСЧЁТ РЕЖИМА РАБОТЫ ПРЕДПРИЯТИЯ И ФОНДА РАБОЧЕГО ВРЕМЕНИ
Режим работы предприятия определяется количеством рабочих дней в году, продолжительностью рабочей смены в часах и числом смен, зависит от годового объёма работ, типа предприятия и равномерности загрузки его в течение года.
Продолжительность рабочей смены определяется в соответствии с трудом законодательством.
Фондом времени рабочего называют продолжительность (в часах) его пребывания на производстве. Различают номинальный и действительный годовой фонд времени. Номинальный годовой фонд времени рабочего определяется как произведение числа рабочих дней в году на продолжительность смены. Это всё то время, которое рабочий мог бы использовать для работы. Однако неизбежны определённые потери времени — отпуск, болезнь. Поэтому в расчетах принимается действительный годовой фонд времени рабочего, который равен номинальному фонду за вычетом потерь.
|