Студопедия

Главная страница Случайная страница

КАТЕГОРИИ:

АвтомобилиАстрономияБиологияГеографияДом и садДругие языкиДругоеИнформатикаИсторияКультураЛитератураЛогикаМатематикаМедицинаМеталлургияМеханикаОбразованиеОхрана трудаПедагогикаПолитикаПравоПсихологияРелигияРиторикаСоциологияСпортСтроительствоТехнологияТуризмФизикаФилософияФинансыХимияЧерчениеЭкологияЭкономикаЭлектроника






Расчет выходного каскада






Рисунок 3 – Принципиальная схема выходного каскада

3.1. Выбор транзистора

Произведем выбор сопротивления нагрузки. Для максимального КПД при подключении к выходу усилителя коаксиального кабеля с волновым сопротивлением выбор сопротивления коллектора и сопротивлением нагрузки однозначен: Ом. Следовательно, Ом.

Найдем величину переменной составляющей тока коллектора:

А;

Определим постоянную величину тока коллектора:

А;

Определим напряжение питания:

В. Полученное значение округляем до ближайшего типового значения В;

А. - допустимое приращение тока коллектора при смене транзистора и (или) изменении температуры;

В. - остаточное напряжение на коллекторном переходе;

Изм.
Лист
№ докум.
Подпись
Дата
СФУ ИИФиРЭ. КП – 210601.65–051201472
ЛИСт
 


В. - постоянная составляющая напряжения на выходе микросхемы К256УВ7;

В. - напряжение прямо смещенного p-n перехода база-эмиттер;

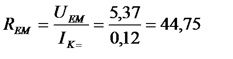
В. - падение напряжения на эмиттерном сопротивлении.

Определим падение напряжения коллектор-эмиттер в рабочей точке:

В.

Определим максимально допустимое напряжение на коллекторе транзистора:

В.

Определим максимально допустимый ток коллектора:

А.

Определим максимально допустимую мощность рассеивания на коллекторном переходе:

Вт.

Итог: выбираем транзистор КТ914А, предельные параметры которого по мощности, току коллектора и напряжению коллектор-эмиттер выше или равны максимально допустимым для каскада.

Таблица 1 – параметры транзистора КТ914А

bmin=10 bmax=60 fGR.TABL=350МГц СE=120пФ СК=12пФ
tОS=20пс RК=10кОм Dr=0.2 IКN=0.2А UКN=28В
IК0=0, 25мА UКmax=65В IКmax=0, 8А PKmax=7Вт x=2

 

Данный транзистор также подходит нам по частотным свойствам, поскольку соблюдается неравенство: МГц, что больше МГц.

Изм.
Лист
№ докум.
Подпись
Дата
СФУ ИИФиРЭ. КП – 210601.65–051201472
ЛИСт
 


3.2 Параметры транзистора в рабочей точке

 

Рассчитываем параметры транзистора в рабочей точке и проверим, обеспечивает ли данный транзистор при выбранных режиме и сопротивлении нагрузки необходимую площадь усиления:

Определим параметры эквивалентной схемы замещения транзистора:

 

Рисунок 4 – Эквивалентная модель замещения биполярного транзистора Джиаколетто

- коэффициент усиления по току;

Ом. - объемное сопротивление базы ( - коэффициент учитывающий емкость выводом, - постоянная времени обратной связи, - емкость коллектора);

Ом. - p-n перехода база-эмиттер сопротивление ( - дополнительное сопротивление в эмиттере);

КОм - сопротивление p-n перехода база-коллектор ( - сопротивление коллектора)

пФ. - емкость p-n перехода база-коллектор ( - напряжение насыщения коллектор-эмиттер);

Изм.
Лист
№ докум.
Подпись
Дата
СФУ ИИФиРЭ. КП – 210601.65–051201472
ЛИСт
 


пФ. - емкость p-n перехода база-эмиттер ( - контактная разность потенциалов, - падение напряжения на прямо смещенном p-n переходе база-эмиттер).

Перейдем к проверке площади усиления:

 
ГГц

 

- граничная частота усиления транзистора в заданной рабочей точке;

Ом. - входное сопротивление транзистора, охваченного обратной связью;

Ом.-сопротивление обратной связи;

 
МГц

- площадь усиления выбранного транзистора в данной рабочей точке ( Ом.- выходное сопротивление в типовом режиме предыдущего каскада на микросхеме К265УВ7, находится во время расчета промежуточного каскада)

Поскольку полученное значение площади усиления больше требуемого от каскада значения (135 МГц), продолжаем расчет.

Изм.
Лист
№ докум.
Подпись
Дата
 
СФУ ИИФиРЭ. КП – 210601.65–051201472
ЛИСт
 

 


3.3 Нестабильность основных параметров

Найдем нестабильность коэффициента усиления при минимальной и максимальной рабочей температуре:

Определим приращение напряжения база-эмиттер:

В;

Определим приращение неуправляемого коллекторного тока:

мкА. ( - коэффициент, равный 10 для германиевых транзисторов и равный 7 для кремниевых транзисторов);

Определим входное сопротивление транзистора:

Ом;

Определим сопротивление эмиттера по постоянному току:

Ом;

Определим приращение выходного коллекторного тока:

мА;

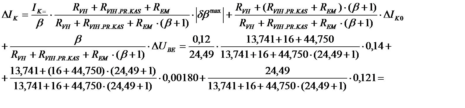
Рассчитаем нестабильность тока коллектора:

%;

Изм.
Лист
№ докум.
Подпись
Дата
СФУ ИИФиРЭ. КП – 210601.65–051201472
ЛИСт
 


Найдем нестабильность коэффициента усиления каскада:

%;

Полученная нестабильность соответствует требованиям Технического Задания (ТЗ) ( %).

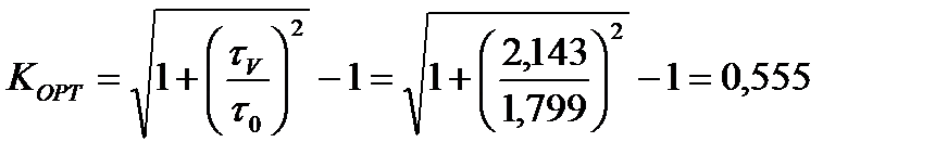
3.4 Корректирующие конденсаторы:

Найдем корректирующую емкость, подключаемую к эмиттеру:

Определим постоянную времени каскада на верхних частотах:

нс;

Определим постоянную времени базовой цепи транзистора:

нс;

Определим постоянную времени корректирующего звена:

нс;

Определим оптимальный коэффициент коррекции:

;

Найдем требуемое значение емкости:

пФ;

 
ЛИСт
СФУ ИИФиРЭ. КП – 210601.65–051201472
Рассчитаем разделительную емкость между выходным каскадом и активной нагрузкой:
.
 
 
 
 
 
 

Определим постоянную времени каскада на нижних частотах:

мс;

Определим постоянную времени разделительного конденсатора выходного каскада:

мс., где -коэффициент связывающий блокировочную емкость эмиттерной термостабилизации и емкость на выходе каскада.

Определим эквивалентное сопротивление нагрузки каскада:

Ом;

Найдем требуемое значение емкости:

мкФ;

Рассчитаем блокировочную емкость эмиттерной термостабилизации, параллельную сопротивлению по постоянному току в эмиттере:

Определим постоянную времени конденсатора:

мс;

Определим эквивалентное сопротивление:

Ом;

Рассчитаем требуемое значение емкости:

мФ.

3.5 Выбор номиналов элементов для схемы

Подберем стандартные номиналы для емкостей и сопротивлений, согласно номиналам ряда Е48:

 
ЛИСт
СФУ ИИФиРЭ. КП – 210601.65–051201472
Ом;
Изм.
Лист
№ докум.
Подпись
Дата

Ом;

Ом;

мкФ;

пФ;

мФ.

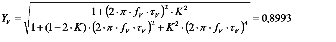
3.6 Коэффициенты частотных искажений

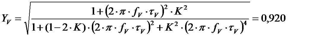
На верхних частотах:

;

Нормированная АЧХ:

;

Коэффициент частотных искажений:

дБ;

На нижних частотах:

Нормированная АЧХ:

;

Коэффициент частотных искажений:

дБ;

Коэффициенты частотных искажений удовлетворяют требованиям ТЗ:

>

 
ЛИСт
СФУ ИИФиРЭ. КП – 210601.65–051201472
дБ, дБ.
Изм.
Лист
№ докум.
Подпись
Дата

3.7 Коэффициент гармоник

Рисунок 5 – Входные и выходные характеристики транзистора КТ914А.

 

Построим нагрузочную характеристику на выходной по двум точкам:

1-ая и В; 2-ая и А.

Зададим приращение напряжения коллектор-эмиттер В от рабочей точки А .

Согласно входной характеристике: .

ЭДС входного сигнала для каждого из токов: В

В

В

Определим амплитуды гармоник:

В.

В.

Определим коэффициент гармоник без обратной связи:

Найдем максимальный коэффициент усиления:

Найдем коэффициент гармоник с учетом обратной связи:

(3, 8%)

 
ЛИСт
СФУ ИИФиРЭ. КП – 210601.65–051201472
Полученное значение меньше чем по ТЗ, в ТЗ КG=0, 05(5%).
Изм.
Лист
№ докум.
Подпись
Дата

Изм.
Лист
№ докум.
Подпись
Дата
4 Расчет промежуточного каскада

Рисунок 5 – Промежуточный каскад на интегральной схеме К265УВ7

Таблица 5.1 - Номиналы элементов ИС К265УВ7

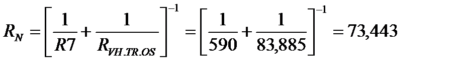
R1 = 10 кОм R4 = 680 Ом R7 = 590 Ом C2 = 15 нФ
R2 = 1, 2 кОм R5 = 30 Ом R8 = 520 Ом C3 = 15 нФ
R3 = 510 Ом R6 = 100 Ом C1 = 15 нФ C4 = 15 нФ

 

4.1Режим работы

Между выводами 11 и 13 микросхемы включим дополнительный резистор Ом, уменьшающий эмиттерное сопротивление первого транзистора до величины:

Ом.

Рассчитаем коллекторные токи транзисторов:

 
ЛИСт
СФУ ИИФиРЭ. КП – 210601.65–051201472
Найдем напряжение питания транзисторов:

В., где В. - номинальное напряжение питания микросхемы;

Найдем коллекторный ток первого транзистора:

мА;

Найдем коллекторный ток второго транзистора:

мА.

Рассчитаем потенциалы на коллекторах и на эмиттерах:

Определим потенциал на эмиттере первого транзистора:

В;

Определим потенциал на эмиттере второго транзистора:

В;

Определим потенциал на коллекторе второго транзистора:

В;

Определим потенциал на коллекторе первого транзистора:

В.

Рассчитаем падения напряжение коллектор-эмиттер двух транзисторов:

Определим разность потенциалов между коллектором и эмиттером первого транзистора:

В;

Изм.
Лист
№ докум.
Подпись
Дата
СФУ ИИФиРЭ. КП – 210601.65–051201472
ЛИСт
 


Определим разность потенциалов на втором транзисторе:

В.

4.2 Параметры транзистора в рабочей точке

Таблица 2 - Справочные параметры транзистора КТ307Б

bmin=40 bmax=160 fт=250МГц СЭ=4.5пФ СК=4.7пФ
tОС=500пс rК=300кОм Dr=0 IКИ=0.005А UКИ=2В
IК0=0.5мкА UКmax=10В IКmax=20мА PKmax=15мВт x=1.5

Определим параметры эквивалентной схемы замещения транзистора:

- коэффициент усиления по току;

Ом.- объемное сопротивление базы;

Ом. - p-n перехода база-эмиттер сопротивление ( мА - среднее подстановочное значение тока коллектора, ввиду того, что они примерно равны);

КОм - сопротивление p-n перехода база-коллектор;

пФ. - емкость p-n перехода база-коллектор первого транзистора;

пФ. - емкость p-n перехода база-коллектор второго транзистора;

 

Изм.
Лист
№ докум.
Подпись
Дата
СФУ ИИФиРЭ. КП – 210601.65–051201472
>
ЛИСт
 


пФ. - емкость p-n перехода база-эмиттер первого транзистора;

пФ. - емкость p-n перехода база-эмиттер первого транзистора.

4.3Параметры каскада

Найдем сопротивления:

Поскольку микросхема не имеет вывода с эмиттера первого транзистора учтем местную частотно-независимую обратную связь пересчетом сопротивления p-n перехода база-эмиттер:

Ом.

Определим входное сопротивление первого транзистора:

Ом.

Определим входное сопротивление второго транзистора:

Ом.

Определим входное сопротивление секции:

Ом.

Определим выходное сопротивление секции:

Ом.

Определим сопротивление нагрузки второго транзистора:

Изм.
Лист
№ докум.
Подпись
Дата
СФУ ИИФиРЭ. КП – 210601.65–051201472
ЛИСт
 


Ом.

Найдем и проверим верхнюю граничную частоту:

Определим постоянную времени p-n перехода база-эмиттер:

нс;

Определим постоянную времени первого транзистора:

нс;

Определим постоянную времени второго транзистора:

нс;

Определим верхнюю эквивалентную постоянную времени:

нс;

Определим соответствующую ей верхнюю граничную частоту:

МГц;

больше МГц, требуемых от каскада, значит микросхема выбрана правильно.

Найдем и проверим площадь усиления:

Определим коэффициент усиления каскада без дополнительной обратной связи:

Изм.
Лист
№ докум.
Подпись
Дата
.

СФУ ИИФиРЭ. КП – 210601.65–051201472
ЛИСт
 


Поскольку больше , возникает необходимость получения коэффициента , причем не меняя режим по постоянному току. Данную задачу можно решить за счет разделения на два сопротивления и , включенного параллельно с конденсатором . Точнее говоря произведем замену , на требуемое , и вынесем за пределы интегральной схемы.

Рисунок 6 – Схема коррекции коэффициента усиления при постоянстве режима по постоянному току

Найдем требуемое входное сопротивление первого транзистора:

Ом;

Найдем требуемое сопротивление:

Ом;

Определим дополнительное сопротивление:

Ом;

 
ЛИСт
СФУ ИИФиРЭ. КП – 210601.65–051201472
Изменим дополнительный резистор:
Изм.
Лист
№ докум.
Подпись
Дата

Изм.
Лист
№ докум.
Подпись
Дата
Ом;

Определим площадь усиления:

МГц.

Поскольку больше требуемой от каскада МГц, еще раз подтверждаем правильность выбора микросхемы.

4.4 Разделительный и блокировочные конденсаторы

Найдем значение разделительного конденсатора между выходом промежуточного каскада на микросхеме и входом выходного каскада:

Определим постоянную времени:

мс., где - весовой коэффициент разделительного конденсатора; -весовые коэффициенты первого и второго блокировочного конденсатора;

Определим сопротивление эквивалентной нагрузки:

Ом;

Рассчитаем значение конденсатора:

нФ.

Найдем значение блокировочного конденсатора цепи эмиттера первого транзистора:

Определим постоянную времени:

мс;

>

 
ЛИСт
СФУ ИИФиРЭ. КП – 210601.65–051201472
Определим сопротивление эквивалентной нагрузки:

Ом;

Рассчитаем значение конденсатора:

мкФ.

Найдем значение блокировочного конденсатора цепи эмиттера второго транзистора:

Определим постоянную времени:

мс;

Определим сопротивление эквивалентной нагрузки:

Ом;

Рассчитаем значение конденсатора:

мкФ.

4.5 Выбор номиналов элементов для схемы

Подберем стандартные номиналы для емкостей и сопротивлений, согласно номиналам ряда Е48:

Ом;

Ом;

нФ;

мкФ;

нФ.

Изм.
Лист
№ докум.
Подпись
Дата
СФУ ИИФиРЭ. КП – 210601.65–051201472
ЛИСт
 


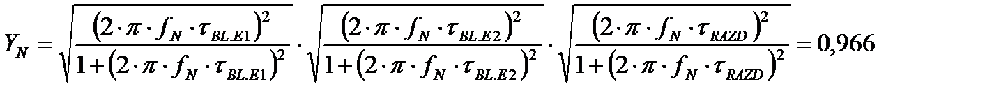
4.6 Коэффициенты частотных искажений

На верхних частотах:

;

Нормированная АЧХ:

;

Коэффициент частотных искажений:

дБ;

На нижних частотах:

Нормированная АЧХ:

;

Коэффициент частотных искажений:

дБ;

Коэффициенты частотных искажений удовлетворяют требованиям ТЗ:

дБ, дБ.

 

Изм.
Лист
№ докум.
Подпись
Дата
СФУ ИИФиРЭ. КП – 210601.65–051201472
ЛИСт
 

 



Поделиться с друзьями:

mylektsii.su - Мои Лекции - 2015-2026 год. (1.295 сек.)Все материалы представленные на сайте исключительно с целью ознакомления читателями и не преследуют коммерческих целей или нарушение авторских прав Пожаловаться на материал