Студопедия

Главная страница Случайная страница

КАТЕГОРИИ:

АвтомобилиАстрономияБиологияГеографияДом и садДругие языкиДругоеИнформатикаИсторияКультураЛитератураЛогикаМатематикаМедицинаМеталлургияМеханикаОбразованиеОхрана трудаПедагогикаПолитикаПравоПсихологияРелигияРиторикаСоциологияСпортСтроительствоТехнологияТуризмФизикаФилософияФинансыХимияЧерчениеЭкологияЭкономикаЭлектроника






Макроэкономика






Ответы по макроэкономике – З.Т. С.

1. Макроэкономические модели, понятие, значение, виды.

 

Макроэкономические модели представляют собойформализованные (логически, графически и алгебраически) описания различных эконо­мических явлений и процессов с целью выяв­ления функциональных взаимосвязей между ними. Любая модель (теория, урав­нение, график и т.д.) является упрощенным, абстрактным отражением реально­сти. Поэтому ни одна мак­роэкономическая модель не абсолютна, не исчерпывающа, не всеобъемлюща. Она не дает единственно правильных ответов, адресованных конкретным стра­нам в конкретный период времени. Однако с помощью таких обобщенных мо­делей определяется комплекс альтернативных способов управления динамикой уровней занятости, выпуска, инфляции, инвестиций, потребления, процентных ставок, валютного курса и других внутренних (эндогенных) экономических пере­менных, вероятностные значения которых устанавливаются в результате реше­ния модели. В качестве внешних (экзогенных) переменных, величина которых определяется вне модели, нередко выступают основные инструменты фискаль­ной политики правительства и монетарной политики Центрального банка — из­менения в величинах государственных расходов, налогов и денежной массы.

Обеспечиваемая с помощью моделей многовариантность способов разре­шения экономических проблем позволяет добиваться необходимой альтерна­тивности и гибкости макроэкономической политики. Использование макроэко­номических моделей дает возможность оптимизировать сочетания инструментов бюджетно-налоговой, кредитно-денежной, валютной и внешнеторговой полити­ки, успешно координировать меры правительства и Центрального банка по управлению циклическими колебаниями экономики.

Такие обобщенные макроэкономические модели, как модель круговых потоков, AD-AS, крест Кейнса, IS-LM, кривые Филлипса, Лаффера, модель Солоу и т.д. представляют собой общий инструментарий макроэкономического анализа и не имеют какой-либо национальной специфики. Специфическими могут быть значения эмпирических коэффициентов и конкретные формы функциональных зависимостей между экономическими переменными в разных странах. Оценка любой макроэкономической модели должна даваться по критерию ее полезности в про­цессе познания экономической динамики и управления ее показателями.

 

 

2. Основные макроэкономические показатели и методы их расчета.

 

Не изменять, в конце добавить:

 

В настоящее время основным показателем национального производства в большинстве стран мира является ВВП. США начали использовать ВВП с 1991 года. Россия перешла на ВВП с 1993 года.

В последнее время в структуру СНС вводится ещё один показатель – чистое экономическое благосостояние (ЧЭБ). Дело в том, что в показателе ВНП не учитывается досуг населения, свободное время, а оно реально характеризует уровень социально-экономического развития страны, как и производство национального дохода на душу населения. Американские экономисты У. Нордхаус и Дж. Тобин вывели показатель ЧЭБ, который корректирует ВНП вычитанием отрицательных факторов (загрязнение природной среды) и добавлением стоимости от нерыночной деятельности, а также оценкой досуга. Оценки эти ещё недостаточно отработаны.

 

3. Классическая модель макроэкономического равновесия.

 

. Важнейшими представителями классической школы являются: А. Смит, Д. Рикардо, Ж.-Б. Сей, Т. Мальтус и др. Создателями неоклассической теории считают Дж. Кларка, А. Маршалла, Ф. Эджуорта, И. Фишера, В. Парето, Л. Вальраса, К. Викселя, А. Пигу.

ПРЕДПОСЫЛКИ классической макроэкономической модели:

1. Исследование поведения экономики в долгосрочном периоде.

2. Цены на товары и услуги, равно как и цены факторов производства (зарплата, процентная ставка), являются абсолютно гибкими, и именно с их помощью экономика адаптируется к любым изменениям.

3. В экономике существует автоматическая тенденция к полной занятости и максимально эффективному использованию ресурсов.

4. Ведущую роль в экономике играет совокупное предложение.

ИСХОДНЫМ ПОСТУЛАТОМ является положение о том, что производство определяет расходы.. ЗАКОН СЕЯ – ПРЕДЛОЖЕНИЕ САМО СОЗДАЁТ СЕБЕ СПРОС.

Кривая совокупного предложения в классической модели представлена в виде вертикальной прямой. Равенство совокупного спроса и совокупного предложения обеспечивается автоматически при отсутствии утечек (т.е. если весь совокупный доход расходуется домашними хозяйствами).

При наличии утечки в виде сбережений закон Сея нарушается и совокупный спрос оказывается меньше совокупного предложения. Чтобы равновесие восстановилось сбережённые средства должны быть впрыснуты обратно в экономический кругооборот. Это происходит на рынке заёмных средств (рынке капитала), где предприниматели занимают эти средства у домашних хозяйств.

АЛГЕБРАИЧЕСКИЙ ВЫВОД УСЛОВИЯ РАВНОВЕСИЯ В КЛАССИЧЕСКОЙ МОДЕЛИ:

- Домохозяйства весь свой совокупный доход (который равен объёму совокупного выпуска, т.е. потенциальному ВНП) распределяют между потреблением и сбережениями:

Ys=C+S

- Совокупный спрос в экономике складывается из спроса домашних хозяйств на потребительские товары и услуги и спроса предпринимателей на инвестиционные товары:

Yd= C+I

Следовательно, Ys=Yd, если S=I.

- Поскольку условие S=I выполняется благодаря автоматическому поддержанию равновесия на рынке заёмных средств, то основной вывод классической модели заключается в следующем: экономика устойчиво находится в состоянии макроэкономического равновесия, т.е. равенства совокупного спроса и совокупного предложения, при полной занятости ресурсов, т.е на уровне потенциального ВНП.

Начиная с конца 20-х гг. нашего столетия этот вывод стал подвергаться сомнению, поскольку неполная занятость ресурсов, в первую очередь рабочей силы, стала хронической.

 

4. Кейнсианская модель макроэкономического равновесия.

 

Кейнсианская экономическая теория оспаривает существование механизма саморегулирования.. Кейнсу удалось доказать, что полная занятость в нерегулируемой экономике может возникнуть только случайно. Равновесие спроса и предложения, как правило, не совпадает с полной занятостью ресурсов.

Одной из причин такого несовпадения является несоответствие планов инвестиций и сбережений, которые осуществляются разными экономическими агентами по различным мотивам и определяются различными факторами.

 

Согласно кейнсианской экономической теории величина располагаемого дохода домашних хозяйств является основным фактором, определяющим динамику потребления и сбережений. При этом сберегается та часть дохода, которая остаётся после осуществления всех потребительских расходов. В то же время, динамика инвестиций определяется прежде всего динамикой процентных ставок

ПРЕДПОСЫЛКИ КЕЙНСИАНСКОЙ МАКРОЭКОНОМИЧЕСКОЙ МОДЕЛИ:

Исследование поведения экономики в краткосрочном периоде.

Цены на товары и услуги, равно как и цены факторов производства (зарплата, процентная ставка), в краткосрочном периоде недостаточно гибки для адаптации экономики к изменениям.

Психологические факторы принятия решений людьми и бизнесом играют важную роль в экономике.

Ведущую роль в экономике играет совокупный спрос.

Д ля опи­сания равновесия в экономике с жесткими ценами придется построить график, отражающий зависимость величины спроса и предложения от объема национального дохода. Такой график носит название " кейнсианский крест".

На рис. по горизонтальной оси отражается национальный доход Y, совпадающий по величине с объемом национального выпуска, а по верти­кальной — объем совокупного спроса.

Рис. Определение равновесного объема выпуска

В точке Е количество предлагаемых товаров равно величине спроса на них при существующем уровне цен. Данная точка характеризует равновесие в кейнсианской модели, под которым пони­мается такое состояние в экономике, когда в ней отсутствуют тенденции к дальнейшим изменениям. Это значит, что национальная экономика будет находиться в равновесии только в том случае, если совокупный спрос будет равен произведенному национальному доходу (совокупному пред­ложению).

Анализ " кейнсианского креста" показывает, что общее равновесие в экономике, устанавливаемое описанным способом, вовсе не обязательно соответствует такому уровню национального дохода, который позволяет обеспечить полную занятость. Равновесный объем нацио­нального дохода в кейнсианскон модели определяется склонностью людей к потреблению, сбережению и инвестированию. При низкой склонности к потреблению и инвестированию равновесный объем произ­водства может оказаться ниже потенциального. У экономики нет каких-либо движу­щих сил, способных вывести ее на уровень полной занятости.

Таким образом, суть кейнсианского анализа состоит в том, что эконо­мика, предоставленная сама себе и функционирующая по принципу " неви­димой руки", весьма вероятно, может попасть в ситуацию либо инфляции, либо безработицы. Оказавшись в таком положении, она не в состоянии своими силами выбраться из него. Вывести экономику из затяжной стагнации может, по мнению Дж. Кейнса, лишь государство. Только увеличение государственных расходов способно компенсировать нехватку совокупного спроса, образовавшуюся в результате низких по­требительских расходов и отсутствия стимулов к инвестированию у част­ных фирм, и обеспечить экономическое равновесие при полной занятости ресурсов.

 

5.Издержки безработицы. Государственная политика в области занятости.

 

НЕ изменять, в конце добавить

 

Государственная политика в области занятости должна строиться исходя прежде всего из определения типа безработицы: государство должно бороться не с любой безработицей, а лишь с циклической. При выработке конкретных приёмов по безработице и увеличению занятости допустимо использование любых инфляционно безопасных методов:

1) Снижение налоговых ставок на бизнес;

2) Совершенствование системы информации о свободных рабочих местах;

3) Создание и улучшение деятельности бирж труда;

4) Развитие системы переподготовки кадров;

5) Создание условий для развития малого и среднего бизнеса;

6) Разработка особых целевых программ трудоустройства молодёжи, женщин и работников реструктурируемых отраслей.

 

 

6. Социально-экономические последствия инфляции. Антиинфляционная политика.

Инфляция по разному влияет на перераспределение доходов в зависимости от того, является она ожидаемой или непредвиденной. В случае ожидаемой инфляции получатель дохода может принять меры, чтобы предотвратить или уменьшить негативные последствия инфляции.

Непредвиденная инфляция приводит к снижению всех видов фиксированных доходов и “субсидирует” тех экономических агентов, чьи номинальные доходы возрастают быстрее, чем средний уровень цен. В условиях неожиданной инфляции получатели ссуд выигрывают за счет кредиторов. Если экономические агенты имеют диверсифицированные источники доходов, то они могут одновременно “выиграть” и “проиграть” в условиях роста уровня инфляции.

Инфляция относится к разряду макроэкономических явлений, поэтому борьба с ней возможна только в масштабах экономики в целом, силами государства. Однако к антиинфляционным нельзя относить те действия государства, которые касаются не причин, а последствий инфляции (индексация доходов населения, выплаты социальных пособий, административный контроль за ценами и т.д.). Бороться с инфляцией – это значит ограничивать ее, удерживать на стабильном уровне цены.

Чтобы антиинфляционная политика государства была действенной, необходимо выявить причину инфляции. Это могут быть монетарные факторы (рост денежной массы, увеличение скорости обращения денег) и немонетарные (монополизация экономики, рост издержек). Ограничение инфляции возможно лишь при снижении темпов предложения денег. Поэтому первоочередные меры правительства должны быть направлены на:

- уменьшение денежной эмиссии;

- повышение ставки рефинансирования;

- повышение нормы обязательных резервов;

- сокращение государственных расходов;

- совершенствование налоговой системы и увеличение налоговых поступлений в бюджет.

Однако проведение в жизнь этих мероприятий не всегда может дать желаемый результат. Неизбежное следствие снижения темпов прироста денежной массы – падения уровня производства и занятости. Правительство имеет возможность осуществлять выбор только в отношении того, как сокращать темп роста денежной массы: резко (шоковая терапия) или постепенно (градуирование). Что касается политики градуирования, то она может оказаться успешной, если рост денежной массы и уровня цен не превышает 20-30% в год.

 

 

7.Кривая Филипса и ее модификации.

Не изменять, добавить вначале

 


Кривая Филипса показана на рис. 1.

Рис. 1. Кривая Фнллипса

 

 

 

8. Фискальная политика в кейнсианской и классической моделях.

Классический и кейнсианский подходы к макроэкономической политике различны.

Общим методологическим подходом кейнсианцев является концепция активной макроэкономической политики, которая необходима для стабили­зации внутренне нестабильной экономики. Внутренняя нестабильность во мно­гом связана с недостаточной гибкостью рынка труда, " жесткостью" заработной платы и неэластичностью цен в сторону понижения.

В классической модели макроэкономическая политика всегда пассивна, так как экономика внутренне стабильна и автоматически приходит в со­стояние долгосрочного равновесия. Инструментами " саморегулирования" явля­ются гибкие заработная плата, цены и ставка процента. Государственное вме­шательство, напротив, усиливает экономическую нестабильность и поэтому должно быть сведено к минимуму.

В кейнсианской модели основным уравнением является уравнение сово­купных расходов:

Y=C + J+G+Xn,

которое определяет величину номинального ВНП.

В классической модели основным уравнением является уравнение обмена:

MV=PY,

где величина MV представляет собой совокупные расходы покупателей, a PY — общие доходы (выручку) продавцов, которые также определяют номи­нальный ВНП.

Очевидно, что оба уравнения описывают кругооборот доходов и расхо­дов в экономике и поэтому взаимосвязаны.

В кейнсианской модели фискальная политика рассматривается как наибо­лее эффективное средство макроэкономической стабилизации, так как государ­ственные расходы оказывают непосредственное воздействие на величину сово­купного спроса и сильное мультипликативное воздействие на потребительские расходы. Одновременно налоги достаточно эффективно воздействуют на по­требление и инвестиции.

В классической модели фискальной политике отводится второстепенная роль по сравнению с монетарной, так как фискальные меры вызывают эффект вытеснения и способствуют повышению уровня инфляции, что значительно снижает их стимулирующий эффект.

 

9. Мультипликатор государственных расходов и налоговый мультипликатор.

 

В период экономического спада с целью увеличения объема производства и занятости производится увеличение государственных закупок товаров и ус­луг. Тогда величина плани­руемых расходов увеличи­вается на величину при­роста государственных за­купок товаров и услуг Δ G. При этом объем про­изводства и совокупный доход увеличиваются боль­ше чем на Δ G благодаря эффекту мультипликато­ра государственных заку­пок.

Отсюда очевидно, что

где - мультипликатор государственных закупок, показывающий, во сколько раз конечный прирост совокупного дохода превосходит вызвавший его первоначальный прирост государственных закупок това­ров и услуг. Поскольку МРС < 1, то мультипликатор го­сударственных закупок всегда больше единицы.

Экономический смысл мультипликатора госзакупок:

Увеличение государственных закупок приводит к многократному (мультипликативному) расширению совокупного дохода и планируемых расходов.

В период экономического подъема с целью снижения объема производства и занятости производится уменьшение государственных закупок товаров и услуг.

Тогда величина планируемых расходов снижается на величину сокращения государственных закупок товаров и услуг Δ G. При этом объем производства и со­вокупный доход сокращаются больше чем на Δ Gблагодаря эф­фекту мультипликатора.

 

В период экономического спада с целью увеличения объема производства и занятости производится сокращение объема по­доходного налогообложения. При этом располагаемый доход домохозяйств возрастает, и увеличивается их потребительский спрос. Тогда объем планируемых расходов возрастет, и объем производства, и совокупный доход тоже увеличиваются, причем больше чем на величину сокращения налогов благодаря дейст­вию налогового мультипликатора.

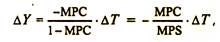
Отсюда очевидно, что

где - налоговый мультипликатор,

показывающий, во сколько раз конечный прирост совокуп­ного дохода превосходит первоначальное изменение объе­ма подоходных налогов, Знак «минус» означает, что Δ Y и Δ T всегда имеют разные знаки, так как при увеличении по­доходного налогообложения совокупный доход сокращает­ся, и наоборот. Поскольку МРС < 1, то налоговый мультип­ликатор по модулю больше единицы, но меньше мультип­ликатора государственных закупок.


Поделиться с друзьями:

mylektsii.su - Мои Лекции - 2015-2026 год. (3.493 сек.)Все материалы представленные на сайте исключительно с целью ознакомления читателями и не преследуют коммерческих целей или нарушение авторских прав Пожаловаться на материал