Студопедия

Главная страница Случайная страница

КАТЕГОРИИ:

АвтомобилиАстрономияБиологияГеографияДом и садДругие языкиДругоеИнформатикаИсторияКультураЛитератураЛогикаМатематикаМедицинаМеталлургияМеханикаОбразованиеОхрана трудаПедагогикаПолитикаПравоПсихологияРелигияРиторикаСоциологияСпортСтроительствоТехнологияТуризмФизикаФилософияФинансыХимияЧерчениеЭкологияЭкономикаЭлектроника






Определение управляющих переменных системы






На этом этапе изучается техническая документация, по которой прослеживается информация, относящаяся к управлению системой. Согласно цели проведения системного анализа устанавливается состав Управляемых и контролируемых характеристик объекта моделирования. Прежде всего выделяются те характеристики управления системой и контроля за ее работой, которые имеют отношение к цели моделирования. Все составляющие функциональной зависимости, определяющие значение показателя качества системы, включаются в состав управляющих переменных и контролируемых характеристик объекта моделирования. Продолжая рассматривать предыдущий пример, можно отметить, что с точки зрения анализа надежности системы на данном этапе важно заложить в модель следующую информацию: отметить наличие или отсутствие контроля за исправностью функционирования каждого из элементов, комплектующих систему; характер контроля (встроенный, периодический), если контроль периодический, то необходимо отметить время, через которое его проводят; полноту контроля; наличие профилактических мероприятий (плановых и аварийных); частоту проведения плановых профилактик и т.д.

Выбор состава контролируемых характеристик объекта моделирования

Выбрать состав контролируемых характеристик объекта моделирования, значит, указать те выходные параметры системы, которые имеют отношение к показателям качества, сформированным на первом этапе содержательного описания системы. Иными словами, необходимо указать те характеристики, через которые реализуются показатели качества. Поясним данную мысль примером. Пусть необходимо произвести расчет коэффициента готовности системы. Для определения этого показателя необходимо знать сколько времени в каждом модельном эксперименте система находилась в исправном состоянии и сколько в состоянии отказа, простоя и восстановления. Таким образом, в данном конкретном примере в качестве контролируемых характеристик объекта моделирования будет выступать время нахождения системы в каждом из перечисленных состояний. Следующий пример. Если требуется определить вероятность безотказной работы системы, то необходимо фиксировать состояние, в котором система находилась к концу каждого модельного эксперимента. Исправному состоянию приписывается значение 1, неисправному 0. Вероятность безотказной работы определяется как отношение количества успешных модельных реализаций к общему количеству испытаний. Следовательно, в данном примере контролируемой характеристикой модели системы будет ее состояние в каждом модельном эксперименте.

Детализация описания режимов функционирования системы

На данном этапе перерабатывается и дополняется имеющаяся информация для возможного выделения алгоритмов функционирования в каждом из режимов работы системы. Составляются временные диаграммы функционирования системы. Определяются наиболее неясные или сложные моменты функционирования компонентов системы, устанавливается последовательность их действий, выделяются вероятные места возникновения конфликтных ситуаций и описывается принятый порядок их разрешения в системе. Продолжим рассмотрение примера по анализу надежности системы. Для задач анализа надежности важно указать, в какие периоды система работает под нагрузкой, когда она находится в нерабочем состоянии. Важно также знать характер и величину нагрузки, потому что от этого зависят процессы старения, протекающие в элементах. Могут быть ситуации, когда разные элементы функционируют по своей собственной программе. Например, в системах управления и защиты энергоблоков атомных станций ряд элементов выполняют функции слежения за параметрами объекта управления. В случае, когда наблюдаемые параметры превышают допустимые уставки, элементы дают команду на срабатывание органов управления. Органы управления переводят установку в неработоспособное состояние. При этом они испытывают ударные нагрузки, так как стержни управления входят в активную зону под действием силы тяжести, кроме того на них может оказываться принудительное воздействие. Естественно, что для анализа надежности моменты непосредственного выполнения функций объектами куда важнее, чем моменты нахождения в состоянии простоя или ожидания.

Составление описания внешней среды

На этом этапе необходимо провести исследование факторов, оказывающих воздействие на моделируемую систему. В состав модели включаются только значимые факторы, влияние которых необходимо учитывать опять же с точки зрения сформулированной постановки задачи. В случае моделирования отдельных аспектов функционирования системы проводится исследовательская работа, цель которой состоит в определении алгоритмов взаимодействия системы с внешней средой. Иногда возможны модификация или пополнение состава управляющих переменных системы из-за детализации алгоритмов взаимодействия Между системой и внешней средой.

С точки зрения анализа надежности важно указать факторы, которые способствуют деградации материалов. Например, повышенная влажность, высокие температуры, наличие радиационной активности -факторы, снижающие надежность элементов и системы в целом.

Таким образом, на каждом шаге данного этапа перерабатывается и дополняется имеющаяся информация о поведении системы в соответствии с поставленными целями моделирования. Результатом является содержательное описание сложной системы, выполненное в терминах соответствующего языка. Информация, не относящаяся к задаче моделирования, отбрасывается. После выполнения описанных этапов поставлена лишь одна цель моделирования. Далее необходимо перейти к математической постановке задачи моделирования и собственно построению модели. Отметим, что общего рецепта построения содержательной модели не существует. Однако можно утверждать, что при решении достаточно широкого круга задач модель системы представляется в виде сетевой структуры. Узлы сети являются моделями элементов системы. Дуги выражают связи между элементами. Сеть изображается в виде графа передачи, который строится на основе матрицы, отражающей действительные связи между элементами. Для построения имитационной модели необходимо задать поведение динамических элементов. Как было отмечено в предыдущем параграфе, для этого выделяются активности, процессы и события, имеющие место при функционировании системы. Эти динамические объекты описываются с помощью соответствующих классов, отражающих их поведение, и заданием на этих классах атрибутов.

4.4. Пример построения имитационной модели анализа надежности сложной системы

Построение имитационной модели системы с целью проведения расчетов характеристик надежности начинается с изучения структурной схемы системы и стратегии ее функционирования. На основании структурной схемы строится надежностная схема системы, которая характеризует статическую составляющую системы. В качестве аппарата для представления схем системы используется аппарат теории графов. Элементы системы изображаются в виде вершин графа, связи между элементами - в виде дуг. После построения надежностной схемы системы в виде графовой модели ее необходимо представить в виде функциональной зависимости (формализованное представление структуры системы). При построении имитационных моделей для фор-

мализованного представления надежностной схемы системы рекомендуют использовать аппарат алгебры логики. Используя этот аппарат, вероятностные характеристики надежности системы, такие как вероятность отказа или вероятность безотказной работы, вычисляют через логические функции работоспособности. Правила построения логических функций работоспособности описаны в [28].

Следующим этапом построения имитационной модели является отображение стратегии ее функционирования. На этом этапе осуществляется построение динамической составляющей модели системы. В качестве примера рассмотрим достаточно общую стратегию функционирования системы. Пусть в моменты времени Тк, 2Тк,..., пТк производятся контрольные мероприятия по проверке неисправности элементов системы. Если в момент проведения контроля исправности элементов обнаруживается отказ, то начинаются восстановительные мероприятия. Могут быть ситуации, когда при проведении контрольных проверок отказ не обнаруживается, и элемент простаивает в состоянии отказа до следующего момента контроля. Функционирование системы продолжается до момента времени Т, если система не отказала, или до момента отказа. В момент времени Т начинается плановая профилактика, в момент отказа системы начинается аварийная профилактика. После проведения профилактического обслуживания система полностью обновляется, и процесс функционирования начинается заново.

Будем считать заданными периоды между проведением контрольных проверок Тк и период времени Т, при достижении которого система подвергается восстановлению. Для организации процесса моделирования необходимо также задать вероятность обнаружения отказа Ро и исходные данные для моделирования отказов и восстановлений элементов, а именно, плотность распределения наработки до отказа для каждого элемента, входящего в состав системы, -/ЫФ(, 0> гДе ' ~ порядковый номер элемента; 9. - вектор параметров закона распределения, плотность распределения времени восстановления для каждого элемента -fe. (w., f), w. - вектор параметров закона распределения времени восстановления.

После задания всех исходных параметров переходим к организации процесса моделирования. Процесс функционирования элементов системы приведен на рис.4.1. На рисунке ступеньками обозначены периоды исправного функционирования элементов системы, линиями - периоды простоя элементов в неисправном состоянии до момента начала конт-. роля и обнаружения неисправности, заштрихованной ступенькой обозначено время восстановления элемента после обнаружения отказа.

Рис. 4.1. Иллюстрация процесса функционирования элементов системы

Статистическое оценивание вероятности безотказной работы системы производится по следующей схеме. Для каждого элемента системы моделируется случайное время наработки до отказа 7\. Моделирование осуществляется на основании заданной плотности распределения наработки до отказа^.(9, /). Далее, на основании заданной вероятности обнаружения отказа моделируется событие, состоящее в обнаружении или необнаружении отказа. Если отказ обнаружен, то после ближайшего к наработке до отказа данного элемента момента контроля начинается восстановление элемента. Если выпало событие, состоящее в том, что в ближайший момент контроля отказ не обнаружен, то элемент находится в состоянии отказа до следующего момента контроля. В следующий момент контроля заново моделируется событие, состоящее в обнаружении или необнаружении отказа. Если отказ обнаружен, начинается восстановление элемента. Случайное время восстановления элемента моделируется на основании заданной плотности распределения времени восстановления.

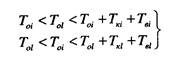
После того как смоделированы наработки до отказа и времена восстановления каждого элемента из всего набора наработок 7\, выбирают такие, для которых выполняется соотношение То. < Т. Здесь необходимо отметить, что изменение состояния системы может произойти только в моменты изменения состояния элементов. Следовательно, для обнаружения отказа системы необходимо просматривать только изменения состояний элементов. Поэтому для каждого 7\, для которого выполняется соотношение 7\ < Тр, проверяем условие

по всем 1 = 1, h где h - количество элементов в системе. Проверка этого условия состоит в обнаружении элементов, находящихся в состоянии отказа в тот период, когда в состоянии отказа был i-й элемент. Введем идентификатор состояния элемента рг Определим его следующим образом: р, = 0, если в данный период [Г., Ты+ Г,.+ Г.] элемент находился в состоянии отказа ър1 = 1, если элемент был работоспособен. Естественно, что в проверяемый момент [7\, 7\+ 7\ + 7\] i-й элемент находится в состоянии отказа и для него/?,. = 0. Сформировав массив }, на основании логической функции работоспособности определяем, был ли в данном интервале времени отказ системы. Если был, горс=0, если отказа не было, /? с =1. Если в рассматриваемый промежуток времени отказа системы не было, переходим к следующему интервалу времени. Процесс продолжается до тех пор, пока не будет равна нулю величина рс. Если на одном из проверяемых периодов величина^ приняла значение 0, это значение запоминается и начинается следующая итерация моделирования. Если ни на одном из рассматриваемых интервалов до момента Т величина рс не приняла значение 0, то отказа системы не было, и значение рс в данном испытании равно 1. Проводя данную процедуру N раз, получаем Означений величины рс. Статистическую оценку вероятности безотказной работы системы находим по формуле

где р. - значение величины рс bj-m испытании.

Описанная модель является концептуальной. После ее составления переходят к программной реализации и исследованию модели на ЭВМ.


Поделиться с друзьями:

mylektsii.su - Мои Лекции - 2015-2026 год. (0.922 сек.)Все материалы представленные на сайте исключительно с целью ознакомления читателями и не преследуют коммерческих целей или нарушение авторских прав Пожаловаться на материал