Студопедия

Главная страница Случайная страница

КАТЕГОРИИ:

АвтомобилиАстрономияБиологияГеографияДом и садДругие языкиДругоеИнформатикаИсторияКультураЛитератураЛогикаМатематикаМедицинаМеталлургияМеханикаОбразованиеОхрана трудаПедагогикаПолитикаПравоПсихологияРелигияРиторикаСоциологияСпортСтроительствоТехнологияТуризмФизикаФилософияФинансыХимияЧерчениеЭкологияЭкономикаЭлектроника






Некоторые свойства волн да Бройля






 

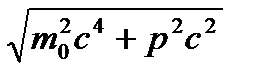
Рассмотрим свободно движущуюся со скоростью v частицу массой т. Вычислим для нее фазовую и групповую скорости волн да Бройля. Фазовая скорость, согласно

E=ћw и p=ћk, где k=2p/l—волновое число). Так как c> v, то фазовая скорость волн де Бройля больше скорости света в вакууме (фазовая скорость волн может быть как меньше, так и больше с в отличие от групповой скорости. Групповая скорость

Для свободной частицы

Следовательно, групповая скорость волн де Бройля равна скорости частицы.

Групповая скорость фотона т. е. равна скорости самого фотона.

Волны да Бройля испытывают дисперсию. Действительно, подставив в выражение vфаз=E/p формулу Е= , увидим, что скорость волн де Бройля зависит от длины волны. Это обстоятельство сыграло в свое время большую роль в развитии положений квантовой механики. После установления корпускулярно-волнового дуализма делались попытки связать корпускулярные свойства частиц с волновыми и рассматривать частицы как «узкие» волновые пакеты, «составленные» из волн де Бройля. Это позволяло как бы отойти от двойственности свойств частиц. Такая гипотеза соответствовала локализации частицы в данный мо­мент времени в определенной ограниченной области пространства. Аргументом в пользу этой гипотезы являлось и то, что скорость распространения центра пакета (групповая скорость) оказалась, как показано выше, равной скорости частицы. Однако подобное представление частицы в виде волнового пакета (группы волн де Бройля) оказалось несостоятельным из-за сильной дисперсии волн де Бройля, приводящей к «быстрому расплыванию» (примерно 10–26 с!) волнового пакета или даже разделе­нию его на несколько пакетов.

 


 

9. Соотношение неопределенностей

В. Гейзенберг, учитывая волновые свойства микрочастиц и связанные с волновыми свойствами ограничения в их поведении, пришел в 1927 г. к выводу, что объект микромира невозможно одновременно с любой наперед заданной точностью харак­теризовать и координатой и импульсом. Согласно соотношению неопределенностей Гейзенберга, микрочастица (микрообъект) не может иметь одновременно и определен­ную координату (х, у, z), и определенную соответствующую проекцию импульса (рх, pу, pz), причем неопределенности этих величин удовлетворяют условиям

т. е. произведение неопределенностей координаты и соответствующей ей проекции импульса не может быть меньше величины порядка h. Из соотношения неопределенностей следует, что, например, если микроча­стица находится в состоянии с точным значением координаты (D x = 0), то в этом состоянии соответствующая проекция ее импульса оказывается совершенно неопреде­ленной (D px ® ¥), и наоборот. Таким образом, для микрочастицы не существует состояний, в которых ее координаты и импульс имели бы одновременно точные значения. Отсюда вытекает и фактическая невозможность одновременно с любой наперед заданной точностью измерить координату и импульс микрообъекта.

 

10. Волновая функция и ее статистический смысл

немецкий физик М. Борн в 1926 г. предположил, что по волновому закону меняется не сама вероятность, а величина, названная амплитудой вероятности и обозначаемая Y(х, у, z, t). Эту величину называют также волновой функцией (или Y-функцией). Амплитуда вероятности может быть комплексной, и вероятность W пропорциональна квадрату ее модуля:

(|Y|2=YY*, Y * — функция, комплексно сопряженная с Y). Таким образом, описание состояния микрообъекта с помощью волновой функции имеет статистический, вероят­ностный характер: квадрат модуля волновой функции (квадрат модуля амплитуды волн де Бройля) определяет вероятность нахождения частицы в момент време­ни t в области с координатами х и x+dx, у и y+dy, z и z+dz.

Итак, в квантовой механике состояние микрочастиц описывается принципиально по-новому — с помощью волновой функции, которая является основным носителем информации об их корпускулярных и волновых свойствах. Вероятность нахождения частицы в элементе объемом d V равна

 


11. Общее уравнение Шредингера. Уравнение Шредингера для стационарных состояний

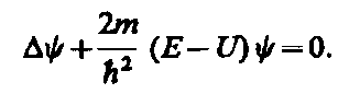
Основное уравнение нерелятивистской квантовой механики сформулировано в 1926 г. Э. Шредингером. Уравнение Шредингера, как и все основные уравнения физики (например, уравнения Ньютона в классической механике и уравнения Максвел­ла для электромагнитного поля), не выводится, а постулируется. Правильность этого уравнения подтверждается согласием с опытом получаемых с его помощью резуль­татов, что, в свою очередь, придает ему характер закона природы. Уравнение Шредин­гера имеет вид

(217, 1)

где ћ = h /(2p), т— масса частицы, D—оператор Лапласа i — мнимая единица, U (х, у, z, t) — потенциальная функция частицы в силовом поле, в котором она движется, Y (х, у, z, t) — искомая волновая функция частицы.

Уравнение (217.1) является общим уравнением Шредингера. Его также называют уравнением Шредингера, зависящим от времени. Для многих физических явлений, происходящих в микромире, уравнение (217.1) можно упростить, исключив зависимость Y от времени, иными словами, найти уравнение Шредингера для стационарных состояний — состояний с фиксированными значениями энергии. Это возможно, если силовое поле, в котором частица движется, стационарно, т. е. функция U=U(x, у, z) не зависит явно от времени и имеет смысл потенциальной энергии. В данном случае решение уравнения Шредингера может быть представлено в виде произведения двух функций, одна из которых есть функция только координат, другая — только времени, причем зависимость от времени выражается множителем , так что

где Е — полная энергия частицы, постоянная в случае стационарного поля. Подставляя (217.4) в (217.1), получим

откуда после деления на общий множитель и соответствующих преобразований придем к уравнению, определяющему функцию y:

Уравнение называется уравнением Шредингера для стационарных состояний

12. Принцип причинности в квантовой механике

Из соотношения неопределенностей часто делают вывод о неприменимости принципа причинности к явлениям, происходящим в микромире. При этом основываются на следующих соображениях. В классической механике, согласно принципу причинностипринципу классического детерминизма, по известному состоянию системы в неко­торый момент времени (полностью определяется значениями координат и импульсов всех частиц системы) и силам, приложенным к ней, можно абсолютно точно задать ее состояние в любой последующий момент. Следовательно, классическая физика ос­новывается на следующем понимании причинности: состояние механической системы в начальный момент времени с известным законом взаимодействия частиц есть причи­на, а ее состояние в последующий момент — следствие.

 

13. Движение свободной частицы

Свободная частица — частица, движущаяся в отсутствие внешних полей. Так как на свободную частицу (пусть она движется вдоль оси х) силы не действуют, то потенци­альная энергия частицы U (x) = const и ее можно принять равной нулю. Тогда полная энергия частицы совпадает с ее кинетической энергией. В таком случае уравнение Шредингера (217.5) для стационарных состояний примет вид

(219.1)

Прямой подстановкой можно убедиться в том, что частным решением уравнения (219.1) является функция y (х) = Аеikx, где А = const и k = const, с собственным значением энергии

(219.2)

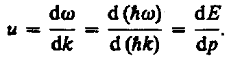
Функция представляет собой только координатную часть волновой функции Y(x, t). Поэтому зависящая от времени волновая функция, согласно

 

Функция (здесь и ). представляет собой плоскую монохромати­ческую волну де Бройля

Из выражения следует, что зависимость энергии от импульса

оказывается обычной для нерелятивистских частиц. Следовательно, энергия свободной частицы может принимать любые значения (так как волновое число k может прини­мать любые положительные значения), т. е. ее энергетический спектр является непрерывным.

Таким образом, свободная квантовая частица описывается плоской монохромати­ческой волной де Бройля. Этому соответствует не зависящая от времени плотность вероятности обнаружения частицы в данной точке пространства

т. е. все положения свободной частицы в пространстве являются равновероятными

 


14. Частице в одномерной прямоугольной «потенциальной яме» с бесконечно высокими «стенками»

Проведем качественный анализ решений уравнения Шредингера применительно к ча­стице в одномерной прямоугольной «потенциальной яме» с бесконечно высокими «стенками». Такая «яма» описывается потенциальной энергией вида (для простоты принимаем, что частица движется вдоль оси х)

где l — ширина «ямы», а энергия отсчитывается от ее дна (рис. 296).

 

Уравнение Шредингера (217.5) для стационарных состояний в случае одномерной задачи запишется в виде

(220.1)

По условию задачи (бесконечно высокие «стенки»), частица не проникает за пределы «ямы», поэтому вероятность ее обнаружения (а следовательно, и волновая функция) за пределами «ямы» равна нулю. На границах «ямы» (при х= 0 и х= 1) непрерывная волновая функция также должна обращаться в нуль. Следовательно, граничные усло­вия в данном случае имеют вид

(220.2)

В пределах «ямы» (0 £ х £ l) уравнение Шредингера (220.1) сведется к уравнению

где

стационарное уравнение Шредингера, описывающее движение частицы в «потен­циальной яме» с бесконечно высокими «стенками», удовлетворяется только при собственных значениях Еn, зависящих от целого числа п. Следовательно, энергия Еn частицы в «потенциальной яме» с бесконечно высокими «стенками» принимает лишь определенные дискретные значения, т.е. квантуется. Квантованные значения энергии Еn называются уровнями энергии, а число п, определяющее энергетические уровни частицы, называется главным квантовым числом. Таким образом, микрочастица в «по­тенциальной яме» с бесконечно высокими «стенками» может находиться только на определенном энергетическом уровне Еn, или, как говорят, частица находится в кван­товом состоянии n.


 

15. Прохождение частицы сквозь потенциальный барьер. Туннельный эффект

Рассмотрим простейший потенциальный барьер прямоугольной формы (рис. 298, а) для одномерного (по оси х) движения частицы. Для потенциального барьера прямо­угольной формы высоты U и ширины l можем записать

При данных условиях задачи классическая частица, обладая энергией Е, либо бес­препятственно пройдет над барьером (при Е> U), либо отразится от него (при Е< U) и будет двигаться в обратную сторону, т. е. она не может проникнуть сквозь барьер. Для микрочастицы же, даже при Е> U, имеется отличная от нуля вероятность, что частица отразится от барьера и будет двигаться в обратную сторону. При E< U имеется также отличная от нуля вероятность, что частица окажется в области х> 1, т. е. проникает сквозь барьер. Подобные, казалось бы, парадоксальные выводы следуют непосредственно из решения уравнения Шредингера, описывающего движение микро­частицы при условиях данной задачи.

качественный характер функций y 1(х), y 2(х) и y 3(x) иллюстрируется на рис. 298, откуда следует, что волновая функция не равна нулю и внутри барьера, а в области 3, если барьер не очень широк, будет опять иметь вид волн де Бройля с тем же импульсом, т. е. с той же частотой, но с меньшей амплитудой. Следовательно, получили, что частица имеет отличную от нудя вероятность прохождения сквозь потенциальный барьер конечной ширины.

Таким образом, квантовая механика приводит к принципиально новому специфи­ческому квантовому явлению, получившему название туннельного эффекта, в резуль­тате которого микрообъект может «пройти» сквозь потенциальный барьер.

Для описания туннельного эффекта используют понятие коэффициента прозрач­ности D потенциального барьера, определяемого как отношение плотности потока прошедших частиц к плотности потока падающих. Можно показать, что

С классической точки зрения прохождение частицы сквозь потенциальный барьер при Е< U невозможно, так как частица, находясь в области барьера, должна была бы обладать отрицательной кинетической энергией. Туннельный эффект является специ­фическим квантовым эффектом. Прохождение частицы сквозь область, в которую, согласно законам классической механики, она не может проникнуть, можно пояснить соотношением неопределенностей. Неопределенность импульса D р на отрезке D х = l составляет D p> h/l. Связанная с этим разбросом в значениях импульса кинетическая энергия (D р)2/(2 m) может оказаться достаточной для того, чтобы полная энергия частицы оказалась больше потенциальной.

Основы теории туннельных переходов заложены работами Л. И. Мандельштама и М. А. Леонтовича (1903—1981). Туннельное прохождение сквозь потенциальный барьер лежит в основе многих явлений физики твердого тела (например, явления в контактном слое на границе двух полупроводников), атомной и ядерной физики (например, a-распад, протекание термоядерных реакций).


16. Линейный гармонический осциллятор в квантовой механике

Линейный гармонический осциллятор — система, совершающая одномерное движение под действием квазиупругой силы, — является моделью, используемой во многих задачах классической и квантовой теории Пружинный, физический и мате­матический маятники — примеры классических гармонических осцилляторов. Потенциальная энергия гармонического осциллятора равна

(222.1)

где w 0 собственная частота колебаний осциллятора, т — масса частицы. Зависи­мость (222.1) имеет вид параболы (рис. 300), т. е. «потенциальная яма» в данном случае является параболической.

Амплитуда малых колебаний классического осциллятора определяется его полной энергией Е (см. рис. 16). В точках с координатами ± x max полная энергия Е равна потенциальной энергии. Поэтому с классической точки зрения частица не может выйти за пределы области (– x max, + x max). Такой выход означал бы, что ее потенциальная энергия больше полной, что абсурдно, так как приводит к выводу, что кинетическая энергия отрицательна. Таким образом, классический осциллятор находится в «потенци­альной яме» с координатами – x max < х < x max «без права выхода» из нее.

Гармонический осциллятор в квантовой механике — квантовый осциллятор — опи­сывается уравнением Шредингера (217.5), учитывающим выражение (222.1) для потен­циальной энергии. Тогда стационарные состояния квантового осциллятора определя­ются уравнением Шредингера вида

(222.2)

 

где Е — полная энергия осциллятора. В теории дифференциальных уравнений до­казывается, что уравнение (222.2) решается только при собственных значениях энергии

(222.3)

Формула показывает, что энергия квантового осциллятора может иметь лишь дискретные значения, т. е. квантуется. Энергия ограничена снизу отличным от нуля, как и для прямоугольной «ямы» с бесконечно высокими «стенками» (см. § 220), минималь­ным значением энергии E 0=1/2ћw0 . Существование минимальной энергии — она назы­вается энергией нулевых колебаний — является типичной для квантовых систем и пред­ставляет собой прямое следствие соотношения неопределенностей.

Наличие нулевых колебаний означает, что частица не может находиться на дне «потенциальной ямы», причем этот вывод не зависит от ее формы. В самом деле, «падение на дно ямы» связано с обращением в нуль импульса частицы, а вместе с тем и его неопределенности. Тогда неопределенность координаты становится сколь угодно большой, что противоречит, в свою очередь, пребыванию частицы в «потенциальной яме».

 


Поделиться с друзьями:

mylektsii.su - Мои Лекции - 2015-2026 год. (1.696 сек.)Все материалы представленные на сайте исключительно с целью ознакомления читателями и не преследуют коммерческих целей или нарушение авторских прав Пожаловаться на материал