Студопедия

Главная страница Случайная страница

КАТЕГОРИИ:

АвтомобилиАстрономияБиологияГеографияДом и садДругие языкиДругоеИнформатикаИсторияКультураЛитератураЛогикаМатематикаМедицинаМеталлургияМеханикаОбразованиеОхрана трудаПедагогикаПолитикаПравоПсихологияРелигияРиторикаСоциологияСпортСтроительствоТехнологияТуризмФизикаФилософияФинансыХимияЧерчениеЭкологияЭкономикаЭлектроника






Эластичность спроса по цене






Существуют следующие виды эластичности спроса:

1) эластичный спрос считается таковым, если при незначительных повышениях цен существенно возрастает объем продаж;

2) спрос единичной эластичности. Когда 17 %-ное изменение цены вызывает 1 %-ное изменение спроса на товар;

3) неэластичный спрос. Проявляется в том, что при существенных изменениях цены объем продаж изменяется незначительно;

4) бесконечно эластичный спрос. Имеется только одна цена, по которой потребители покупают товар;

5) совершенно неэластичный спрос. Когда потребители приобретают фиксированное количество товаров независимо от их цены.

Эластичность спроса по цене, или ценовая эластичность спроса, показывает, насколько изменится в процентном отношении величина спроса на товар при изменении его цены на 1 %.

Эластичность спроса возрастает при наличии товаров-заменителей – чем больше заменителей, тем более эластичным является спрос, и понижается при повышенном спросе потребителя на данный товар, т. е. степень эластичности тем ниже, чем более необходим товар.

Если обозначить цену Р, а величину спроса Q, то показатель (коэффициент) ценовой эластичности спроса Ер равен:

где? Q – изменение величины спроса, %;? Р – изменение цены, %; «Р» – в индексе означает, что эластичность рассматривается по цене.

Аналогично можно определить показатель эластичности по доходам или какой-то другой экономической величине.

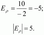
Показатель ценовой эластичности спроса для всех товаров – отрицательная величина. Действительно, если цена товара снижается – величина спроса растет, и наоборот. Однако для оценки эластичности часто используется абсолютная величина показателя (знак «минус» опускается). Например, снижение цены подсолнечного масла на 2 % вызвало увеличение спроса на него на 10 %. Показатель эластичности будет равен:

Если абсолютная величина показателя ценовой эластичности спроса больше 1, то мы имеем дело с относительно эластичным спросом: изменение цены в данном случае приведет к большему количественному изменению величины спроса.

Если абсолютная величина показателя ценовой эластичности спроса меньше 1, то спрос относительно неэластичен: изменение цены повлечет за собой меньшее изменение величины спроса.

Если коэффициент эластичности равен 1 – это единичная эластичность. В таком случае изменение цены приводит к такому же количественному изменению величины спроса.

Существует два крайних случая. В первом возможно существование только одной цены, при которой товар будет приобретаться покупателями. Любое изменение цены приведет либо к полному отказу от приобретения данного товара (если цена повысится), либо к неограниченному увеличению спроса (если цена снизится) – спрос абсолютно эластичный, показатель эластичности бесконечен. Графически этот случай можно изобразить в виде прямой, параллельной горизонтальной оси. Например, спрос на молочнокислую продукцию, продаваемую отдельным торговцем на городском рынке, абсолютно эластичен. Однако рыночный спрос на молочно-кислую продукцию не считается эластичным. Другой крайний случай представляет собой пример абсолютно неэластичного спроса, когда изменение цены не отражается на величине спроса. График абсолютно неэластичного спроса выглядит как прямая, перпендикулярная горизонтальной оси. Примером может служить спрос на отдельные виды лекарств, без которых больной не может обойтись, и т. п.

Таким образом, абсолютная величина показателя ценовой эластичности спроса может изменяться от нуля до бесконечности:

Из формулы (1) видно, что показатель эластичности зависит не только от соотношения приростов цены и объема или от наклона кривой спроса, но и от их фактических значений. Даже если наклон кривой спроса постоянен, показатель эластичности будет различным для разных точек на этой кривой.

Существует еще одно обстоятельство, которое следует учитывать при определении эластичности. На участках эластичного спроса снижение цены и рост объема продаж приводят к увеличению общей выручки от реализации продукции фирмы, на участке неэластичного спроса – к ее уменьшению. Поэтому каждая фирма будет стремиться избегать того участка спроса на свою продукцию, где коэффициент эластичности меньше единицы.


Поделиться с друзьями:

mylektsii.su - Мои Лекции - 2015-2026 год. (3.084 сек.)Все материалы представленные на сайте исключительно с целью ознакомления читателями и не преследуют коммерческих целей или нарушение авторских прав Пожаловаться на материал