Студопедия

Главная страница Случайная страница

КАТЕГОРИИ:

АвтомобилиАстрономияБиологияГеографияДом и садДругие языкиДругоеИнформатикаИсторияКультураЛитератураЛогикаМатематикаМедицинаМеталлургияМеханикаОбразованиеОхрана трудаПедагогикаПолитикаПравоПсихологияРелигияРиторикаСоциологияСпортСтроительствоТехнологияТуризмФизикаФилософияФинансыХимияЧерчениеЭкологияЭкономикаЭлектроника






Основные формулы исчисления сводных или общих индексов




Наименование индекса Формула Что показывает индекс Что показывает значение индекса, уменьшенное на 100% Что показывает разность числителя и знаменателя
Индекс физического объема продукции (по цене) Во сколько раз изменилась стоимость продукции в результате изменения объема ее производства, или сколько процентов составил рост (снижение) стоимости продукции из-за изменения ее физического объема На сколько процентов изменилась стоимость продукции в результате изменения объема ее производства На сколько рублей изменилась стоимость продукции в результате роста (уменьшения) объема ее производства
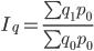
Индекс цен Во сколько раз изменилась стоимость продукции в результате изменения цен, или сколько процентов составил рост (снижение) стоимости продукции из-за изменения цен На сколько процентов изменилась стоимость продукции в результате изменения цен На сколько рублей изменилась стоимость продукции в результате роста (уменьшения) цен
Индекс стоимости продукции (товарооборота) Во сколько раз изменилась стоимость продукции, или сколько процентов составил рост (снижение) стоимости продукции в текущем периоде по сравнению с базисным На сколько процентов изменилась стоимость продукции в текущем периоде по сравнению с базисным На сколько рублей изменилась стоимость продукции в текущем периоде по сравнению с базисным
Индекс физического объема продукции (по себестоимости) Во сколько раз изменились издержки производства продукции в результате изменения объема ее производства, или сколько процентов составил рост (снижение) издержек производства продукции из-за изменения объема ее производства На сколько процентов изменились издержки производства продукции в результате изменения объема ее производства На сколько рублей изменились издержки производства продукции в результате изменения объема ее производства
Индекс себестоимости продукции Во сколько раз изменились издержки производства продукции в результате изменения себестоимости продукции, или сколько процентов составил рост (снижение) издержек производства продукции из-за изменения себестоимости продукции На сколько процентов изменились издержки производства продукции в результате изменения себестоимости продукции На сколько рублей изменились издержки производства продукции в результате изменения себестоимости продукции
Индекс издержек производства Во сколько раз изменились издержки производства продукции, или сколько процентов составил рост (снижение) издержек производства продукции в текущем периоде по сравнению с базисным На сколько процентов изменились издержки производства продукции в текущем периоде по сравнению с базисным На сколько рублей изменились издержки производства продукции в текущем периоде по сравнению с базисным
Индекс физического объема продукции (по трудоемкости) Во сколько раз изменились затраты времени на производство продукции в результате изменения объема ее производства, или сколько процентов составил рост (снижение) затрат времени на производство продукции из-за изменения ее физического объема На сколько процентов изменились затраты времени на производство продукции в результате изменения объема ее производства На сколько человеко-часов изменились затраты времени на производство продукции в результате роста (уменьшения) объема ее производства
Индекс трудоемкости Во сколько раз изменились затраты времени на производство продукции в результате изменения ее трудоемкости, или сколько процентов составил рост (снижение) затрат времени на производство продукции из-за изменения ее трудоемкости На сколько процентов изменились затраты времени на производство продукции в результате изменения ее трудоемкости На сколько человеко-часов изменились затраты времени на производство продукции в результате роста (уменьшения) ее трудоемкости
Индекс затрат времени на производство продукции Во сколько раз изменились затраты времени на производство продукции, или сколько процентов составил рост (снижение) стоимости продукции в текущем периоде по сравнению с базисным На сколько процентов изменились затраты времени на производство продукции в текущем периоде по сравнению с базисным На сколько человеко-часов изменились затраты времени на производство продукции в текущем периоде по сравнению с базисным

 


Данная страница нарушает авторские права?


mylektsii.su - Мои Лекции - 2015-2026 год. (1.393 сек.)Все материалы представленные на сайте исключительно с целью ознакомления читателями и не преследуют коммерческих целей или нарушение авторских прав Пожаловаться на материал