Студопедия

Главная страница Случайная страница

КАТЕГОРИИ:

АвтомобилиАстрономияБиологияГеографияДом и садДругие языкиДругоеИнформатикаИсторияКультураЛитератураЛогикаМатематикаМедицинаМеталлургияМеханикаОбразованиеОхрана трудаПедагогикаПолитикаПравоПсихологияРелигияРиторикаСоциологияСпортСтроительствоТехнологияТуризмФизикаФилософияФинансыХимияЧерчениеЭкологияЭкономикаЭлектроника






Диффузия






Диффузия - бір-біріне жанасқ ан кездегі 2 газдың ө здігінен бір - біріне ө туі жә не араласуы. Диффузия таза газда газ кө леміндегі ә ртү рлі тығ ыздық тан, ал аралас газдарда олардың концентрациялық ә ртү рлілігінен болады.

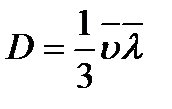
Массаның тасымалдануына химиялық біртекті газдар ү шін Фик заң ы орындалады.

 

dM- массаның тығ ыздық ағ ыны,

D - диффузияның коэффициенті,

градиент тығ ыздығ ы.

3. Ішкі ү йкеліс (тұ тқ ырлық).

Бұ л газ қ абатының арасындағ ы молекулалардың ә ртү рлі жылдамдық пен қ озғ алғ ан кезіндегі пайда болатын қ ұ былыс. Жылдамырақ қ озғ алғ ан қ абат жайырақ қ озғ алғ ан қ абатқ а ү дету кү шімен ә сер етеді жә не ол қ абаттың кез келген молекуласының жылдамдығ ы артады. (Бірінші қ абаттан басқ а қ абаттарда импульстың тасымалдануы пайда болады). Жылдамдық тары тө мен қ абат жылдамдық тары жоғ ары қ абаттың жылдамдығ ын азайтады (тежейді), яғ ни ү йкеліс кү ші ә сер етеді де қ абаттардың арасында ү йкеліс кү ші пайда болады. Ол жанасқ ан қ абаттар арқ ылы жү ретін жанама болып бағ ытталады.

Ішкі ү йкеліс - Ньютон заң ымен сипатталынады:

F- импульстың ағ ынының тығ ыздығ ы,

ŋ —динамикалық тұ тқ ырлық (тетта)

 

Хаостық қ озғ алыс кезінде араласқ ан молекулалардың механизм процесінде пайда болғ ан қ ұ былыста жалпы ішкі ү йкеліс, диффузия, жылу ө ткізгіштік математикалық тең деулердің сыртқ ы ұ қ састығ ы болуы мү мкін.

 

 

5. Гармониялық тербеліс кинематикасы. Жылдамдық жә не ү деу тең деуі.

Амплитуда, тербеліс периоды, тербеліс жиілігі.

Механикалық тербелістер деп бірдей уақ ыт аралығ ында қ айталанып отыратын процесстерді айтады. Тербелмелі дененің қ озғ алысы мынадай периодты функцияның кө мегімен беріледі: x = f(t).

Гармоникалық тербеліс деп синус жә не косинус заң ымен ө згеретін тербелісті айтамыз.

x = xm cos (ω t + φ 0).

мұ ндағ ы x – дененің қ алыпты жағ дайдан ауытқ уы, xm – тербеліс амплитудасы, яғ ни қ алыпты жағ дайдан ең максимал ауытқ уы, ω – циклдік немесе айналмалы тербеліс жиілігі, t – уақ ыт.

Косинустың аргументі болып тұ рғ ан шама φ = ω t + φ 0 гармониялық процесстің фазасы деп аталады.

Дене қ озғ алысының қ айталанатын ең аз уақ ыт аралығ ын тербеліс периоды Т деп атайды. Тербеліс периодына кері физикалық шаманы тербеліс жиілігі деп атайды:

Тербеліс жиілігі 1 с уақ ытта қ анша тербеліс жасалатынын кө рсетеді. Ө лшем бірлігі– герц (Гц). Тербеліс жиілігі f циклдық жиілікпен ω жә не периодпен Т мына тең деулер арқ ылы байланысты:

гармониялық тербеліс ү шін x = xm cos (ω t + φ 0), туынды алу мына шешімге ә келеді:

a ү деу υ (t) функциясының уақ ыт t бойынша туындысына немесе x(t) функциясының екінші туындысына тең.

 

6. Заттардағ ы магнит ө рісі. Диа-, пара-, ферромагнетиктер

Магнит қ ұ былыстары ө те ерте кезде белгілі болғ ан. Компас 4500 жыл бұ рын ойлап табылғ ан. Ол XII ғ асырда Европада табылғ ан. Бірақ, электр жә не магнит арасындағ ы байланыс тек XIX ғ асырда белгілі болды, сө йтіп, магнит ө рісі туралы тү сінік пайда болды. Ең алғ аш электрлік жә не магниттік қ ұ былыстарды байланыстыратын тә жірибелер жасағ ан дат физигі Х. Эрстед (1820 ж.).

Магнит ө рісін туғ ызатын қ озғ алыстағ ы электр заряды (ток). Магнит ө рісі тек қ озғ алыстағ ы зарядтарғ а ә сер етеді.

Магнит ө рісінің кү штік сипаттамасы ретінде магнит индукциясының векторы енгізіледі. Ол магнит ө рісіндегі токқ а немесе қ озғ алыстағ ы зарядқ а ә сер ететін кү шті анық тайды. - [Тл].

 

Ө ткізгіштерде ө тетін кез келген магнетик ерекше кү йге келеді – осыны магниттелу дейді.

Магнит ө тімділігі - парамагнитті,

магнит ө тімділігі - диамагнитті,

магнит ө тімділігі - ферромагнитті заттар деп аталады.

Барлық магнетиктер таң балары жә не магнит қ абылдағ ыштық тарына қ арай ү ш топқ а бө лінеді:

 

1) Парамагнетизм

;

2) Диамагнетизм

;

3) Ферромагнетизм ;

Ферромагнетиктер кү шті магниттелетін заттар болып табылады.

 

 

7. Бү кілә лемдік тартылыс заң ы. Салмақ жә не салмақ сыздық. Ү йкеліс кү ші

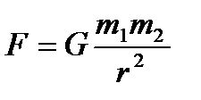
Табиғ атта барлық денелер массаларына тура пропорционал, ара қ ашық тық тың квадратына кері пропорционал кү шпен тартылады:

мұ ндағ ы, G – пропорционалдық коэффициент, гравитациялық тұ рақ ты деп аталады, оның шамасы G=6.672·10-11 H·м2/кг2, ә рі ол табиғ аттағ ы барлық денелер ү шін бірдей, m1 жә не m2 – денелердің массалары, r – денелердің ара қ ашық тығ ы.

Ү йкеліс кү ші деп денелердің бір-біріне қ атысты ү йкеле отырып орын ауыстыруын айтады.

ү йкеліс коэффициенті ә серлесетін заттардың материалына жә не олардың беттерінің ө ң делуіне тә уелді; Ү йкеліс кү шінің бағ ыты қ озғ алыс жылдамдығ ына қ арама – қ арсы бағ ытталғ ан.

Қ атты денелер сұ йық немесе газда қ озғ алса, онда тұ тқ ыр ү йкеліс кү ші пайда болады. Тұ тқ ыр ү йкеліс кү ші тыныштық ү йкеліс кү шінен аз жә не денелердің салыстырмалы жылдамдығ ына қ арама – қ арсы бағ ытталғ ан. Тұ тқ ыр ү йкелісі бар кезде тыныштық ү йкелісі жоқ.

Тұ тқ ыр ү йкеліс кү ші денелердің жылдамдығ ына тә уелді.

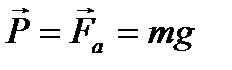
Дененің Жерге тартылуы кезінде ауырлық кү шіне қ арсы ә сер ететін, тіреуге тү сетін кү шті салмақ деп атайды. Денеге тө мен бағ ытталғ ан ауырлық кү ші , тіреудің серпімді кү ші ә сер етеді. кү шті қ алыпты қ ысым кү ші немесе тіреудің қ ысым кү ші деп атайды. Денеге ә сер ететін кү штер бірін – бірі тең естіреді: . Ньютонның ү шінші заң ы бойынша, дене тіреуге қ андай да бір кү шпен ә сер етеді, ол модулі жағ ынан тіреудің реакция кү шіне тең жә не кері бағ ытталғ ан: . Анық тамада айтылғ ан салмақ деп отырғ анымыз осы. Жоғ арыдағ ы қ атынас арқ ылы, біз , яғ ни дененің салмағ ы , ауырлық кү шіне тең.Егер Жерге қ атысты ү деу болса, онда , егер дене еркін қ озғ алыста болса , онда Р=0, яғ ни дененің салмағ ы жоқ.

8. Термодинамиканың бірінші бастамасы. Идеал газдың жылусиымдылығ ы

Термодинамика – жылу қ ұ былыстары туралы ғ ылым.. Жү йенің термодинамикалық тепе-тең дігінің басты қ асиеті – жү йенің барлық бө ліктерінің температурасының тең елуі болып табылады.

Егер термодинамикалық жү йеге сырттан ә сер етсе, онда ол басқ а қ алыпты жағ дайғ а ө теді. Мұ ндай ө туді термодинамикалық процесс деп атайды.

Термодинамикадағ ы негізгі шамалардың бірі ішкі энергия болып табылады. Ішкі энергия барлық атомдар мен молекулалардың кинетикалық энергиясынан жә не олардың бір – бірімен ә серлесуінің потенциалдық энергиясынан тұ рады. Молекула – кинетикалық теория бойынша, молекулалары тек ілгерлемелі қ озғ алыс жасайтын бір атомды идеал газдың бір молі ү шін ішкі энергия:

Кө лем ұ лғ айғ ан кездегі жұ мыс – оң, ал қ ысылғ ан кездегі жұ мыс – теріс болады. Бір кү йден екінші кү йге ө ткен кезде жасалатын жұ мыс:

ал Δ Vi → 0 ұ мтылғ анда,

Жұ мыс (p, V) диаграммадағ ы ауданғ а тең. Жұ мыс шамасы бастапқ ы кү йден соң ғ ы кү йге қ андай жолмен ө ткеніне байланысты.

Бұ л процестерді кері қ арай да жү ргізуге болады, мұ нда тек жұ мыс шамасы теріс болады жә не мұ ндай процестерді қ айтымды процестер деп атайды. Егер процесс кері қ арай жү рмейтін болса, мысалы, сұ йық тарда, онда мұ ндай процестерді қ айтымсыз процесс деп атайды.

Ішкі энергия жұ мыс нә тижесінде ғ ана емес, сонымен қ атар, жылу алмасу нә тижесінде де ө згереді. Мұ ндай жағ дайда, ыстығ ырақ денеден суығ ырақ денеге жылу беріледі. Жылу алмасу нә тижесінде ішкі энергияның ө згерісін жылу мө лшері деп атайды. Жылу мө лшері Q энергетикалық шама болып табылады. Ө лшем бірлігі – джоуль (Дж).

Термодинамиканың бірінші бастамасы.

Егер жү йе қ оршағ ан ортамен жылу алмасатын болса жә не жұ мыс жасаса, онда жү йенің кү йі ө згереді, яғ ни, макроскопиялық шамалары ө згереді. Термодинамиканың бірінші бастамасы, энергияның сақ талу жә не ө згеру заң ы болып табылады:

Термодинамикалық жү йенің ішкі энергиясының ө згерісі Δ U жү йеге берілген жылу мө лшерінен Q сыртқ ы денелердің жү йемен жасағ ан жұ мысын A алып тастағ анғ а тең.

 
Δ U = QA.
 

Бұ л қ атынасты былай да жазуғ а болады:

 
Q = Δ U + A.

 

 

Жү йенің алғ ан жылу мө лшері ішкі энергияның ө згерісі мен жасалғ ан жұ мысқ а тең.

Бұ л заң ғ а байланысты, энергия жоқ тан пайда болмайды, жоғ алмайды, тек бір кү йден екінші кү йге ө теді деп айтуғ а болады. Термодинамиканың бірінші бастамасы бойынша, энергия жұ мсамай, тек жұ мыс жасайтын машина жасау мү мкін емес.

 

 


Поделиться с друзьями:

mylektsii.su - Мои Лекции - 2015-2026 год. (1.068 сек.)Все материалы представленные на сайте исключительно с целью ознакомления читателями и не преследуют коммерческих целей или нарушение авторских прав Пожаловаться на материал