Студопедия

Главная страница Случайная страница

КАТЕГОРИИ:

АвтомобилиАстрономияБиологияГеографияДом и садДругие языкиДругоеИнформатикаИсторияКультураЛитератураЛогикаМатематикаМедицинаМеталлургияМеханикаОбразованиеОхрана трудаПедагогикаПолитикаПравоПсихологияРелигияРиторикаСоциологияСпортСтроительствоТехнологияТуризмФизикаФилософияФинансыХимияЧерчениеЭкологияЭкономикаЭлектроника






Идеал газ.МКТ






Кө лемі кө зге ілінбейтін жә не қ ашық тық та бір–бірімен ә рекеттеспейтін тә ртіпсіз қ озғ алыстағ ы молекулалар жиынтығ ын идеал газ деп атайды.

МКТ негізгі тең деуі. Температура.

Молекула-кинетикалық теорияның негізгі моделі – идеал газдың моделі болып табылады. Идеал газдың кинетикалық моделінде молекулаларды, ө зара жә не ыдыстың қ абырғ аларымен серпімді соқ тығ ысатын шарлар ретінде қ арастырады. Барлық молекулалардың кө лемдерінің қ осындысы, газ тұ рғ ан ыдыстың кө лемінен аз деп есептелінеді. Молекула – киетикалық теорияның негізгі мақ саты – микроскопиялық шамалар (масса, жылдамдық, молекулалардың кинетикалық энергиясы) мен макроскопиялық шамалар (қ ысым, кө лем, температура) арасындағ ы байланысты нығ айту. Молекулалар ө зара жә не ыдыс қ абырғ асымен ә рбір соқ тығ ысынан кейін, ө зінің жылдамдығ ын модулі жә не бағ ыты жағ ынан ө згертеді. Ал, соқ тығ ыстар арасында олар бірқ алыпты, тү зу сызық ты қ озғ алыста болады. Идеал газ моделі бойынша, барлық соқ тығ ыстар серпімді жә не Ньютон механикасына бағ ынады.

Идеал газ моделін қ олдана отырып, газдың ыдыс қ абырғ асына тү сірілген қ ысымын анық тауғ а болады. Молекулалар ыдыс қ абырғ асымен ә рекеттескен кезде, олардың арасында Ньютонның ү шінші заң ына бағ ынатын кү штер пайда болады. Нә тижесінде ыдыс қ абырғ асына перпендикуляр молекуланың υ x жылдамдығ ының проекциясы, ө зінің таң басын ө згертеді, ыдысқ а параллель молекуланың υ y жылдамдығ ының проекциясы ө згеріссіз қ алады. Сондық тан, молекуланың импульсінің ө згерісі 2m0υ x болады, мұ ндағ ы, m0 – молекуланың массасы. Ыдыс қ абырғ асынан қ андай да бір аудан бө ліп аламыз S. Δ t уақ ыт ішінде осы ауданмен υ x жылдамдығ ының проекциясы бар барлық молекулалар соқ тығ ысады. Ауданның негізі S, биіктігі υ xΔ t деп есептеуге болады.

Ыдыстың бірлік кө лемінде n молекула бар деп есептесек, онда цилиндрдің кө леміндегі молекулалар саны nSυ xΔ t. Бірақ, осы молекулалардың тек жартысы ғ ана, қ абырғ ағ а қ арай қ озғ алады, ал қ алғ ан жартысы кері бағ ытта қ озғ алады. Сонда, молекулалардың қ абырғ амен соқ тығ ысу саны . Ә р молекула ыдыс қ абырғ асымен соқ тығ ысы кезінде ө зінің импульсін 2m0υ x шамасына ө згертетін болса, онда барлық молекулалар ү шін импульстің толық ө згерісі .

Ньютонның ү шінші заң ы бойынша, кү ш импульсі импульстің ө згерісіне тең:

   

Тең деудің екі жағ ын да SΔ t бө ліп, мына тең деуді аламыз:

   

мұ ндағ ы p – газдың қ абырғ асына тү сірілген қ ысымы болып табылады.

Бұ л қ атынасты шығ арғ ан кезде, барлық n молекуланың Х осіне жылдамдық проекциялары бірдей деп есептелінді, бірақ шындығ ында олай емес. Молекулалардың ө зара жә не ыдыс қ абырғ асымен кө птеген соқ тығ ысы кезінде, молекулалардың жылдамдық тары бойынша статикалық ү лестірілуі пайда болады. Бұ л кезде молекулалардың жылдамдық тарының векторлық бағ ыттары тең ық тимал, ал жылдамдық модульдері жә не олардың координат осьтеріне проекциялары белгілі бір заң дылық қ а бағ ынады.

Газ молекулаларының жылдамдық модулі бойынша ү лестірілуін Максвелл ү лестіруі деп аталады (1860 ж). Дж Максвелл газ молекулаларының жылдамдық тар бойынша ү лестірілуін қ орытып шығ арды.

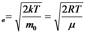
Идеал газ молекуласының ең ық тимал жылдамдығ ы:

Идеал газ молекуласының жылдамдық бойынша таралу функциясы максимал мә нге ие болатын жылдамдық ең ық тимал жылдамдық деп аталады.

тең есек u

Температура ұ лғ айғ ан сайын u ө седі.

Газ молекуласының орташа жылдамдығ ы (орташа арифметикалық жылдамдық):

á uñ =

Газ кү йін сипаттайтын жылдамдық тар.

Ең ық тимал жылдамдық Орташа жылдамдық Орташа квадраттық жылдамдық

 

 

10.Электро магниттік толқ ындар. Қ ұ йынды электр ө рісі. Ығ ысу тогы

Электромагниттік толқ ындар — байланыс тізбегін қ ұ райтын екі сымның арасындағ ы электрлік жә не магниттік ө рістер бір-бірімен белгілі бір электромагниттік энергия мө лшерінде байланыста болатын толқ ын. Бағ ыттаушы байланыс жолы бойымен таралатын бірнеше электромагниттік толқ ындар.

Оларғ а жататындар:

-электромагниттік кө лденең толқ ын,

-жоғ арғ ы ретті электр Е толқ ыны,

-жогарғ ы ретті магниттік Н толқ ын жә не

аралас толқ ындар.

Кө лденең толқ ын негізгі толқ ын болып саналады. Ол кө лденең Е толқ ыны мен Н толқ ынынан тұ рады. Сым бойымен бағ ытталғ ан толқ ындар болмайды. Яғ ни, электромагниттік ө рістің кү ш сызық тары тек қ ана сымның кө лденең қ имасың да болып, тұ рақ ты токтың статикалық кернеуінің ө рісіндей болады. Кө лденең толқ ын тек байланыс жолдары сымдарының потенциалдарының таң басы ә р тү рлі болғ анда ғ ана кездеседі. Кө лденең толқ ын сымды байланыс жолымен жиілік ауқ ымы шектелген сигналдарды тарату ү шін пайдаланылады. Яғ ни, симметриялы немесе коаксиал жү птарымен берілетін токтың негізі ө ткізгіштік тоқ болғ анда пайдаланылады.

Электрлік Е мен магниттік толқ ындар жоғ арғ ы ретті толқ ындар болып саналады. Оларда кө лденең электр жә не магнит ө рістерден басқ а бір-бірден электрлік немесе магниттік бойлық толқ ындар болады. Сондық тан олардың кү ш сызық тары сымдардың кө лденең қ имасың ца да ұ зына бойында жатады. Мұ ндай толқ ындар ө те жоғ ары жиілік диапазонда қ ыздырылады. Ондағ ы токтың негізі ө ткізгіштік ток емес диэлектрлік ығ ыстыру тогы болады. Олар электромагниттік энергияны металл немеседиэлектрик толқ ын жолдарымен жә не сыртқ ы толқ ынды бір сым бойымен бергенде пайдаланылады.

Аралас толқ ындарда барлыгы алты (ү ш координатта) толқ ын компоненттері болады. Мұ ндай аралас толқ ындарга диэлектрлік толқ ын жолдардагы жә не сә уле тарататын жарық жол (сә улежол) толқ ындары жатады.

Айнымалы электромагниттік ө ріс тербелістерінің кең істікте таралуын электромагниттік толқ ын деп атайды. Максвеллдің болжамы бойынша электромагниттік толқ ын тогы бар ө ткізгіштің бойымен, диэлектрикте жә не электр зарядтары жоқ вакуумде де тарала алады. Максвелл теориясынан шығ атын аса маң ызды салдардың бірі — электромагниттік толқ ынның таралу жылдамдығ ының шектілігі. Оның есептеулері бойынша электромагниттік толқ ынның таралу жылдамдығ ы:

м\с, (3.1)

мұ ндағ ы Ф\м — электрлік жә не Гн\м— магниттік тұ рақ тылар. Бұ л электромагниттік ө рістің іргелі қ асиеті. Электромагниттік толқ ынның ортадағ ы таралу жылдамдығ ы Максвелл формуласы бойынша анық талады:

, (3.2)

мұ ндағ ы — ортаның сыну кө рсеткіші, — ортаның диэлектрлік жә не — магниттік ө тімділіктері.
Электромагниттік толқ ынның теориялық есептеулер арқ ылы табылғ ан вакуумдегі жылдамдығ ы тікелей ө лшенген жарық жылдамдығ ына тең болуының маң ыздылығ ы ерекше. Жарық — электромагниттік толқ ын болып шық ты.

Конденсаторды тұ рақ ты ток кө зіне қ оссақ, бұ л системада ток болмайды. Себебі конденсатордың астарлары арасынан ток жү рмейді. Ал егер конденсаторды айнымалы ток кө зіне қ оссақ. Онда системада ток болады. Себебі конденсаторлардың астарларында айнымалы электр ө рісі болады, ол ө з кезегінде айнымалы. Ө ріс бар жерде ток болады, сө йтіп конденсаторлардың астарлары арқ ылы ток жү реді. Осы токты ығ ысу тогы дейді. Ығ ысу тогының тығ ыздығ ы, ө ткізгіштің ток тығ ыздығ ымен бірдей болады.

  , (1.41)

 

Мұ нда -конденсаторлар астарларындағ ы зарядтың беттік тығ ыздығ ы. Ығ ысу векторы

 

  (1.42)

Конденсатордың астары арасындағ ы ө рістің кернеулігі

  (1.43)

 

  , (1.44)

 

Сонымен системадағ ы толық ток жә не ығ ысу тогы деп ығ ысу векторының ө згеру жылдамдығ ын айтамыз )

  (1.45)

 

Мұ ндағ ы -электр ө рісінің кернеулігі, -диэлектриктің поляризация векторы. Бірінші қ осылғ ыш вакуумдегі ығ ысу тогынің тығ ыздығ ы, ал екінші қ осылғ ыш поляризация кезіндегі ығ ысу тогының тығ ыздығ ы болады.

 

11.Тұ йық механикалық жү йелер. Импульстің сақ талу заң ы.

 

Массасы m денеге, қ андай да бір ө те аз Δ t уақ ыт бойы кү ш ә сер етеді. Осы кү штің ә серінен дененің жылдамдығ ы мынадай шамағ а ө згереді. Сонда дене Δ t уақ ыт бойы мынадай ү деумен қ озғ алады:

Динамиканың негізгі заң ы (Ньютонның екінші заң ы) бойынша:


Дененің массасы мен жылдамдығ ының кө бейтіндісін импульс немесе қ озғ алыс мө лшері деп атайтынын білетінбіз. Дененің импульсі – векторлық шама. Ө лшем бірлігі – (кг·м/с). Кү штің оның ә сер етуші уақ ытына кө бейтіндісі – кү ш импульсі деп аталады, ол да векторлық шама.

Ньютонның екінші заң ы бойынша, дененің импульсінің ө згерісі кү ш импульсіне тең.

Осы векторлық тең дікті координат осьтеріне проекциясы ретінде де жазуғ а болады.

FxΔ t = Δ px; FyΔ t = Δ py; FzΔ t = Δ pz.

Мысал ретінде, бір ө лшемді қ озғ алысты қ арастырайық, яғ ни ОУ осімен қ озғ алғ ан қ озғ алысты. Дене υ 0 бастапқ ы жылдамдық пен ауырлық кү шінің ә серінен еркін тү сіп барады деп есептейік, қ ұ лау уақ ыты t. ОУ осін тө мен қ арай бағ ыттаймыз. Ауырлық кү шінің Fт = mg t уақ ыттағ ы импульсі mgt. Бұ л импульс дене импульсінің ө згерісіне тең.

Fтt = mgt = Δ p = m(υ – υ 0), мұ ндағ ы υ = υ 0 + gt.

Бұ л тең деу ү демелі қ озғ алыс кезіндегі жылдамдық тың кинематикалық формуласымен сә йкес келеді. Осы мысалдан, уақ ыттың барлық интервалы ү шін, кү ш модулі жағ ынан ө згермейтіні шығ ады. Егер кү ш шамасы жағ ынан ө згеретін болса, онда кү ш импульсінің ө рнегіне Fср кү штің орташа мә нін қ ою керек.

Уақ ытқ а тә уелді кү ш импульсін анық тау суреті:

Уақ ыттың осінен F(t) кү ші ө згермейтін ө те аз Δ t уақ ыт интервалын бө ліп аламыз. F(t)Δ t Δ t уақ ытта кү ш импульсі штрихталғ ан ауданғ а тең. Егер уақ ыттың барлық осін 0-ден t-ғ а дейін аз бө ліктерге бө летін болсақ, сосын барлық интервалдағ ы кү ш импульстарын қ осатын болсақ, қ орытқ ы импульс сатылы қ исық тың ауданына тең болады. Суретте кө рсетілген, кү ш импульсі t1 = 0 –ден t2 = 10 – ғ а дейінгі аралық та мынағ ан тең:

Штрихталғ ан ауданда .

Денелердің ә серлесуі кезінде бір дененің импульсі екіншісіне толығ ымен немесе жартылай беріледі. Егер денелер жү йесіне басқ а денелерден сыртқ ы кү штер ә сер етпесе, онда жү йені тұ йық деп атайды. Тұ йық жү йеде барлық денелердің импульстерінің қ осындысы, осы жү йедегі денелердің кез келген ә серлесулері кезінде тұ рақ ты болады. Табиғ аттың бұ л негізгі заң ы импульстің сақ талу заң ы деп аталады жә не Ньютонның екінші, ү шінші заң дарының салдары болып табылады. Бұ л заң импульстің сақ талу заң ы деп аталады.

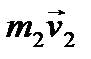
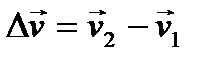
Мысалы, тұ йық жү йеге кіретін екі ә серлесуші денелерді қ арастырайық. Олардың ә серлесу кү штері Ньютонның ү шінші заң ы бойынша, . Егер қ андай да бір t уақ ытта ә серлесетін болса, онда кү ш импульстері модулдері жағ ынан тең, бағ ыттары жағ ынан қ арама–қ арсы. . Осы денелерге Ньютонның екінші заң ын қ олдансақ,

мұ ндағ ы, жә не бастапқ ы уақ ыттағ ы денелердің импульстары, жә не ә серлесу соң ындағ ы денелердің импульстары. Осы ө рнектерден мына тең діктер шығ ады:

Бұ л тең діктің мағ ынасы, ә серлескен екі дененің импульстарының қ осындысы ө згермейді. Суретте 4.2 массалары ә ртү рлі шарлардың соқ тығ ыстары кө рсетілген, бір шар соқ тығ ысқ а дейін тыныштық та тұ р. Импульстің сақ талу заң ына мысал ретінде, реактивті қ озғ алысты қ арастыруғ а болады. Мысалы, қ арудан оқ атылғ анда, оқ алдығ а, ал қ ару артқ а қ арай серпіледі. Оқ пен қ ару – екі ә серлесуші денелер. Серпілген кезде қ арудың алғ ан жылдамдығ ы, оқ тың жыламдығ ына жә не массаларының қ атынасына тә уелді. Егер жылдамдық тарын жә не , массаларын М жә не m деп белгілесек, импульстың сақ талу заң ы бойынша былай жазуғ а болады:

 

 

12. Термодинамика - термодинамикалық тепе-тең дік кү йіндегі макроскопиялық жү йелердің жалпы қ асиеттерін, кү йлерге ө ту процестерін зерттейтін физиканың бө лімі. Термодинамикада термодинамикалық жү йе жә не термодинамикалық процестер ұ ғ ымы қ олданылады. Термодинамикалық жү йе - бұ л басқ а денелердің ә рекетінен оқ шауланғ ан физикалық денелердің жиыны.

Термодинамикалық процестер деп термодинамикалық жү йенің бір кү йден екінші кү йге ө ткенін айтады.

Молекулалық физиканың басты тарауының бірі- термодинамика.
Термодинамика ХIХ ғ асырдың бірінші жартысында енді ғ ана дами бастағ ан жылу техникасының теориялық негізі ретінде пайда болды. Оның бастапқ ы мақ сатының бірі жылу двигательдерінде жылудың механикалық жұ мысқ а айналуын зерттеу болды. Кейінірек термодинамиканың зерреу пә нінің ауқ ымы кең іді де, материя қ озғ алысының жылулық формасының бір тү рден екінші тү рге айналуын, жылудың бір денеден екіншіге берілуін, осы кездегі физикалық процесті тексерді.
Термодинамика негізінен денелердің термодинамикалық тепе-тең дік кү йін қ арастырады.
Уақ ыт ө згергенмен термодинамикалық жү йенің кү йі, яғ ни оны сипаттайтын параметрлер тұ рақ ты болса, оны термодинамикалық тепе-тең дік деп атайды.
Бұ ғ ан мысал ретінде су буланғ анда одан ұ шып шығ атын молекулалар мен будың, конденсацияланғ ан кезде суғ а қ айтып келетін молекулаларының санының тең болуын айтуғ а болады. Бұ л термодинамикалық тепе-тең дікті динамикалық тең дік деп атайды.
Термодинамикалық жү йе деп бір-бірімен механикалық жә не жылулық прцесс тү рінде ә серлесіп зат алмасатын материалдық нү ктелер (сол сияқ ты ө рістер) жиынтығ ын айтады.
Заттар ә ртү рлі агрегаттық кү йіне қ арай оларды газ, сұ йық, қ атты жә не плазмалы фаза деп бө леді.
Заттың бір фазасынан тұ ратын жү йені гомогенді деп атайды.
Бір-бірінен бө луші жазық тық тар арқ ылы ажыратылғ ан ә ртү рлі гомогендік бө лшектерден тұ ратын жү йені гетерогенді деп атайды.
Жү йенің термодинамикалық тепе-тең дік кү йге ө здігінен ө ту процесін релаксация деп атайды да, оғ ан кеткен уақ ытты релаксация уақ ыты деп атайды.
Термодинамика ү ш заң ғ а сү йенеді (мұ ны ү ш бастама деп те айтады). Біріншісі термодинамикалық қ ұ былыстарғ а энергияның сақ талу заң ының қ олданылуын тү сіндірсе, екіншісі термодинамикалық процесстердің ө ту бағ ытын сипаттайд, ал ү шінші бастамасы температура абсолют ноль болғ анда кез-келген фазасының энтропиясы нольге айналатындығ ын дә леледейді.
Термодинамика негіздері

Адиабаталық процесс - жү йе мен оны қ оршағ ан сыртқ ы ортаның арасында ешқ андай жылу энергиясының алмасуы болмайтын процесс.

Балқ удың меншiктi жылуы - 1кг затты сол температурадағ ы сұ йық қ а айналдыруғ а қ ажет болатын жылу мө лшерi.

Буғ а айналудың меншiктi жылуы - 1кг сұ йық ты тұ рақ ты температурада буғ а айналдыру ү шiн қ ажет болатын жылу мө лшерi.

Жылу алмасу (жылу тасымалдау) - жұ мыс жасалынбай-ақ, бiр денеден екiншi денеге энергияның тасымалдану процесi.

Жылу двигателi - iс-ә рекетi жұ мыс атқ арушы дененiң механикалық энергиясын iшкi энергияғ а тү рлендiруге негiзделген двигательдер.

Термодинамика - энергияның тү рленуiне қ атысты жалпы заң дарғ а негiзделген жылулық процесстер туралы ғ ылым.

Iшкi энергия - макроденелердiң механикалық энергиямен қ атар ө здерiнiң iштерiнде орналасқ ан энергиясы.

 

Жылу мө лшерi - жылу алмасу кезiндегi iшкi энергияның ө згеруiнiң мө лшерлiк шамасы.

Изобаралық процесс - берiлген газдың қ ысымы тұ рақ ты болғ анда жү ретiн процесс.

Изотермалық процесс - берiлген газдың температурасы тұ рақ ты болғ анда жү ретiн процесс.

Изохоралық процесс - берiлген газдың кө лемi тұ рақ ты болғ анда жү ретiн процесс.

Қ айтымсыз процесс - ө з бетiнше тек бiр бағ ытта ғ ана ө тетiн процесс.

Меншiктi жылу сыйымдылығ ы - массасы 1кг дененiң температурасы 1oК-ге ө згергенде алғ ан немесе берген жылу мө лшерi.

 

 

Ішкі энергия – дененің (жү йенің) тек ішкі кү йіне байланысты энергия. Ішкі энергияғ а дененің барлық микробө лшектерінің (молекулалардың, атомдардың, иондардың, т.б.) ретсіз (хаосты) қ озғ алыстарының энергиясы, микробө лшектердің ө зара ә серлесу энергиясы, атомдар мен молекулалардың ішкі энергиясы, т.б. жатады. Ішкі энергия ұ ғ ымын 1851 жылы У.Томсон енгізген.

Дененің бір кү йден екінші кү йге ауысу барысындағ ы Ішкі энергиясының ө згерісі (Δ U) мынағ ан тең: Δ U=Δ Q–A, мұ ндағ ы Q – жү йенің қ оршағ ан ортамен алмасқ ан жылу мө лшері, А – істелген жұ мыс. Бұ л тең деу жылу алмасу процесі басты рө л атқ аратын жү йелердегі энергияның сақ талу жә не айналу заң ын (термодинамиканың бірінші бастамасын) ө рнектейді. Энергияның сақ талу заң ына сә йкес Ішкі энергия физикалық жү йе кү йінің, яғ ни осы кү йді анық тайтын тә уелсіз айнымалылардың (мысалы, температура, кө лем не қ ысым), бір мә нді функциясы болады. Q жә не А шамаларының ә рқ айсысы жү йені Ішкі энергиясы U1-ге тең кү йден U2-ге тең кү йге ауыстыратын процестің сипатына тә уелді болады, ал Δ U=U2–U1.

Жү йе бастапқ ы кү йіне қ айтып келетін (U2-U1) кез келген тұ йық процесс ү шін Ішкі энергияның ө згерісі (Δ U) нө лге тең жә не Q=A (қ. Дө нгелек процесс). Адиабаттық процесте (қ оршағ ан ортамен жылу алмасу болмағ ан, яғ ни Q=0 жағ дайда) жү йенің Ішкі энергияның ө згерісі жү йенің істеген жұ мысына не жү йеге жасалғ ан жұ мысқ а тең. Газдардың кинетикалық теориясы бойынша идеал газдар Ішкі энергиясының ө згеруі нә тижесінде, температурағ а байланысты молекулалардың кинетикалық энергиясы ө згереді. Сондық тан идеал газдың (немесе қ асиеттері сол идеал газғ а жуық газдардың) Ішкі энергиясының ө згерісі тек оның температурасының ө згерісімен анық талады (Джоуль заң ы). Бө лшектері ө зара ә серлесетін физикалық жү йелерде (реал газдарда, сұ йық тық тарда, қ атты денелерде) молекулааралық жә не молекула ішіндегі ө зара ә сер энергиялары да Ішкі энергияғ а жатады. Мұ ндай жү йелерде Ішкі энергия температурамен қ атар қ ысым мен кө лемге де тә уелді болады. Абс. нө лге жуық (–273, 16°С) тө мен температуралар аймағ ында конденсацияланғ ан жү йелер (сұ йық жә не қ атты дене) Ішкі энергиясының температурағ а тә уелділігі жойылып, ол белгілі бір тұ рақ ты мә нге (U0) – “нө лдік энергия” дейтін мә нге ұ мтылады (термодинамиканың ү шінші бастамасы). Ішкі энергия негізгі термодинамиқ алық потенциалдардың бірі болып есептеледі.

Кө п атомды газдың ішкі энергиясы

Кө п атомды газдың ішкі энергиясы дегеніміз - серпімдішариктер деп қ арастыруғ а болатын молекулалардың ілгерілемелі қ озғ алыстың орташа кинетикалық энергиясы. Егер екі атомды газды алсақ, онда бізге атомдармен емес, молекулалармен жұ мыс істеуге тура келеді, ал олар тү рлене де алады. Сондық тан, екі атомды идеал газдың ішкі энергиясы молекулалардың ілгерлемелі қ озғ алысының кинетикалық энергиясы мен айналмалы қ озғ алысының кинетикалық энергиясының қ осындысына тең

 

13. Сұ йық тар мен газдардың механикасы. Паскаль жә не Архимед заң дары

Қ атты денелердегі сияқ ты сұ йық тар мен газдардың қ озғ алысын да кинематикалық жә не динамикалық тұ рғ ыдан қ арастыруғ а болады. Газдар мен сұ йық тар ө зара ұ қ сас болатындық тан оларды ә детте бірінен-бірін бө лмей, тек газдардың сығ ылғ ыштығ ын ескермеуге болмайтын жерде ғ ана олар бө лек қ арастырылады. Сондық тан сұ йық туралы айтылғ андар газғ а да қ атысты деп тү сіну керекКинематикалық тұ рғ ыдан қ арастырғ анда, сұ йық қ озғ алысын оның ә рбір бө лшектерінің қ озғ алысымен сипаттауғ а болады. Сұ йық қ озғ алысын қ арастырғ анда ағ ын сызық тары жә не ағ ын тү тігі деген ұ ғ ымдар пайланылады.

Мү лде сығ ылмайтын жә не мү лде тұ тқ ыр емес сұ йық идеал сұ йық деп аталады.

Сұ йық тың ә рбір бө лшегі ө зіне тә н жылдамдық тың векторы бойымен қ озғ алады, яғ ни сұ йық жылдамдық векторының ө рісі болып табылады.

Егер жылдамдық векторы бойымен сызық тар жү ргізсек, олардың ә рбір нү ктесінен жү ргізілген жанама сұ йық бө лшегі, жылдамдық тың сол нү ктедегі бағ ытына дә л келсе, онда мұ ндай сызық тарды ағ ын сызық тары деп атайды.

Сұ йық тардың ағ ын сызық тарымен шектелген бө лігін ағ ын тү тігі деп атайды.

Паскаль Заң ы - Тепе-тең дік кү йде жатқ ан сұ йық не газғ а ә сер етілген қ ысым сол сұ йық не газдың кез келген нү ктесіне барлық бағ ыттарғ а бірдей таралады

Архимед заң ы – гидростатиканың сұ йық қ а (газғ а) батырылғ ан денеге, кө лемі сол дененің кө леміндей сұ йық тың салмағ ына тең ә рі онан ә рқ ашан да жоғ ары қ арай бағ ытталғ ан кері итеруші кү ш ә сер ететіндігін анық тайтын негізгі заң ы. Дененің ығ ыстырып шығ арғ ан сұ йығ ының ауырлық центріне (орталығ ына) тү сетін итеруші кү шті архимедтік не гидростатикалық кө теруші кү ш деп атайды. Егер дененің салмағ ы архимедтік кү штен кем болса, онда дене сұ йық бетіне қ алқ ып шығ ады, ал дененің салмағ ы архимедтік кү штен артық болса, онда дене сұ йық қ а батып кетеді. Дененің салмағ ы архимедтік кү шке тең болса, дене сұ йық ішінде жү зіп жү реді

 

Сұ йық тық та немесе газда орналасқ ан дененің жү зуі, я болмаса батуы оның ауырлық кү ші мен Архимед кү штерінің модульдерінің қ атынасымен анық талады. Ә р бір дене ү шін келесі ү ш жағ дай болуы мү мкін:

  • — дене батады;
  • — дене сұ йық тық та немесе газда жү зеді;
  • — дене жү збейінше қ алқ ып шығ а береді.

Басқ а формулировка (мұ нда — дене тығ ыздығ ы, — дене батырылғ ан ортаның тығ ыздығ ы):

  • — дене батады;
  • — дене сұ йық тық та немесе газда жү зеді;
  • — дене жү збейінше қ алқ ып шығ а береді.

 

 

14. Магнит ө рісін туғ ызатын қ озғ алыстағ ы электр заряды (ток). Магнит ө рісі тек қ озғ алыстағ ы зарядтарғ а ә сер етеді.

Магнит ө рісінің кү штік сипаттамасы ретінде магнит индукциясының векторы енгізіледі. Ол магнит ө рісіндегі токқ а немесе қ озғ алыстағ ы зарядқ а ә сер ететін кү шті анық тайды. - [Тл].

Магнит индукция векторының бағ ыты ретінде оң тү стік полюстен солтү стік полюске бағ ытталғ ан магнит сызық тарын алады. Бұ л сызық тарды магнит индукциясының сызық тары деп атайды.

Магнит индукциясының кү ш сызық тары тұ йық, олар еш жерде ү зілмейді. Мұ ндай кү ш сызық тарын – қ ұ йынды деп атайды.

Магнит ө рісін сандық тұ рғ ыдан сипаттау ү шін, магнит индукциясының бағ ытын ғ ана емес, оның модулін де анық тау керек. Ол ү шін магнит ө рісіне тогы бар ө ткізгіш енгізіп, осы ө ткізгіштің бір бө лігіне ә сер ететін кү шті анық тау керек. Ө ткізгіштің бө лігінің ұ зындығ ын Δ l деп аламыз, Ампердің тә жірибесі бойынша, ө ткізгіш бө лігіне ә сер ететін кү ш, ток кү шіне, ө ткізгіштің ұ зындығ ына жә не ток бағ ыты мен магнит индукциясы векторының арасындағ ы бұ рыштың синусына тура пропорционал:

  F ~ IΔ l sin α.  

Бұ л кү ш Ампер кү ші деп аталады. Ол ө ткізгіш магнит ө рісіне перпендикуляр орналасқ ан кезде, максимал мә нге жетеді Fmax. Ал, магнит индукциясының векторының модулі Ампер кү шінің максимал мә ніне тура, ал ө ткізгіштің тогына жә не ұ зындығ ына кері пропорционал:

 

 

 

Сонда Ампер кү ші мына тең дікпен анық талады:

 
F = IBΔ l sin α.

 

 
   

Тесла – ө те ірі бірлік. Жердің магнит ө рісі шамамен 0, 5·10–4 Тл.

Ампер кү шінің бағ ытын сол қ ол ережесімен анық тайды:

Токтардың магниттік ә серлесуі ретінде, параллель токтардың ә серлесуі қ арастырылады. Егер ө ткізгіштердегі электр токтары бір бағ ытта болса, онда ө ткізгіштер бір – біріне тартылады. Ал, қ арама – қ арсы болса, онда тебіледі. Сонда, бір ө ткізгіштің магнит ө рісі екіншісіне жә не екінші ө ткізгіштің магнит ө рісі біріншісіне Ампер кү шімен ә сер етеді.

Тә жірибе бойынша, ә сер етуші кү ш токтардың шамасына, ө ткізгіштердің ұ зындығ ына тура, ал, олардың ара қ ашық тығ ына кері пропорционал:

   

Пропорционалдық коэффициент k:

  k = μ 0 / 2π,  

мұ ндағ ы μ 0 – магнит тұ рақ тысы, ол:

  μ 0 = 4π ·10–7 H/A2 ≈ 1, 26·10–6 H/A2.  

Бұ дан магнит ө рісінің индукциясы ү шін тең деу шығ ады:

 

 

 

Тұ рақ ты токтардың магнит ө рісі эксперимент жү зінде француз оқ ымыстылары Ж. Био жә не Ф. Савармен анық талды (1820 ж.). Олар магнит ө рісінің индукциясы ө ткізгіштің барлық бө ліктерінің ә сері болып табылады деп тұ жырымдады. Магнит ө рісі суперпозиция принципіне бағ ынады:

Егер магнит ө рісі бірнеше ө ткізгіштің ә серінен болса, онда қ орытқ ы магнит ө рісінің индукциясы, ә р ө ткізгіштің туғ ызатын ө ріс индукциясы векторының векторлық қ осындысына тең.

Био–Савар заң ы:

 

 

 

Егер тогы бар айналмалы орам болса, онда Био–Савар – Лаплас заң ы:

 

 

 

15. Кү ш моменті. Қ озғ алмайтын ось арқ ылы ө тетін қ атты дененің айналмалы қ озғ алыс динамикасының негізгі тең деуі

Кү ш моменті M деп айналу осіне dқ ашық тығ ында нү ктеге тү сірілген F кү штің кө бейтіндісімен анық талатын шаманы айтамыз: M=Fd.

d айналу осінен ә сер ететін кү ш нү ктесіне дейінгі қ ашық тық (м). М кү ш моменті (н*м). Fә сер етуші кү ш (н). Айналмалы қ озғ алысты зерттеу ү шін екі жаң а физикалық шама-кү ш моменті жә не инерция моменті қ ажет. Қ ос кү штің моменті деп, шамасы бойынша бір-біріне тең, қ арама-қ арсы бағ ытталғ ан, бір тү зудің бойымен ә сер етпейтін екі кү шті айтады. Ө н бойымен кү штер ә сер ететін тү зулердің l –арақ ашық тығ ы қ ос кү штің иіні деп аталады. Қ ос кү штің кез келген нү ктеге қ атысты моменті біреу-ақ болады. Егер де О нү ктесіне қ атысты еркінше айналатын болса, онда дене f кү шінің ә серімен осьтен бұ рылады, ал бұ л ось кү ш пен О нү ктесі жатқ ан жазық тық қ а перпендикуляр, яғ ни ол берілген нү ктеге қ атысты кү ш моментінің бағ ытымен сә йкес келеді. Моменттің шамасы кү штің денені осы осьтен айналдыра алатын кү штің қ абілеттігін сипаттайды. Егер дене тек кейбір белгіленген осьтен ғ ана айнала алатын болса, онда денені осы осьтен айналдыра алатын кү штің қ абілеттілігі оське қ атысты моменті деп атайтын шамамен сипатталады.

Қ атты дененің айналуын кинематикалық сипаттауы ү шін бұ рыштық шамаларды қ олданғ ан тиімді:

- бұ рыштық орын ауыстыру Δ φ

- бұ рыштық жылдамдық ω

- бұ рыштық ү деу ε

Бұ л формулалардағ ы бұ рыштар радианмен ө лшенеді. Қ атты денені қ озғ алмайтын ось бойымен айналдырғ анда, оның барлық нү ктелері бірдей бұ рыштық жылдамдық пен жә не бұ рыштық ү деумен қ озғ алады. Айналудың оң бағ ыты ретінде сағ ат жү рісінің кері бағ ытын алады.

Қ аттың дененің массасы Δ m элементінің Δ φ орын ауыстырулардың аз шамасында векторының модулі келесі ө рнектен табылады:

Δ s = rΔ φ,

мұ ндағ ы r – радиус-векторының модулі (1.23.1-сурет). Бұ дан сызық тық жә не бұ рыштық жылдамдық тардың модульдерінің арасындағ ы байланыс:

υ = rω, жә не сызық тық жә не бұ рыштық ү деулердің арасындағ ы байланыс: a = aτ = rε.шығ ады.

жә не векторлары радиусы r болатын шең берге жанама бойымен бағ ытталады. Денелердің шең бер бойымен қ озғ алысы кезінде нормаль жә не центрге тартқ ыш ү деу болатынын еске тү сіру қ ажет. Олардың модульдері:

Айналғ ан денені кішкентай Δ mi бө ліктерге бө лейік. Айналу осіне дейінгі ара қ ашық тық ты ri деп, сызық тық жылдамдық тардың модульдерін υ i арқ ылы белгілейік. Онда айналғ ан дененің кинетикалық энергиясын:

тү рінде жазуғ а болады.

физикалық шамасы айналғ ан дененің айналу осінің бойында ү лестірілуіне тә уелсіз. Ол берілген оське қ атысты инерция моменті деп аталады.

Δ m → 0 кезде бұ л қ осынды интегралғ а айналады. СИ-дегі инерция моментінің ө лшем бірлігі – кг м2. Сонымен, қ озғ алмайтын ось бойымен айналғ ан қ аттың дененің кинетикалық энергиясын:

тү рінде жазуғ а болады. Бұ л формула ілгерілемелі қ озғ алғ ан дененің кинетикалық энергиясының формуласына ұ қ сас, бірақ мұ нда массаның орнында инерция моменті, ал сызық тық жылдамдық тың орнында – бұ рыштық жылдамдық қ олданылады.

 

16. Егер зарядталғ ан бө лшектер, мысалы. электрондар дененің ішінде айтарлық тай еркін қ озғ ала алатын болса, онда мұ ндай заттардың электр тоғ ын еркін ө ткізу қ абілеті болада. Қ озғ алыс барысында электр тоғ ын туғ ызатын заряд тасымалдаушылар тек электрондар ғ ана емес, иондар яғ ни ө здерінен бір немесе бірнеше электрондарды жоғ алтқ ан немесе қ осып алғ ан атомдар (молекулалар) да болуы мү мкін.

Электр тоғ ын ө ткізу қ абілетіне сә йкес барлық заттар - ө ткізгіштер, шала ө ткізгіштер (жартылай ө ткізгіштер) жә не диэлектриктер (немесе изоляторлар) болып бірнеше топқ а бө лінеді. Идеал изоляторлар табиғ атта болмайды. Барлық заттар болмашы аз дә режеде болса да электр тоғ ын ө ткізеді. Мысалы, диэлектриктер тоқ та ө ткізгіштерге қ арағ анда есе нашар ө ткізеді.

Ө ткізгіштерге барлық металдар, сондай-ақ электролиттер жә не иондалғ ан газдар жатады. Ал слюда, шыны, эбонит, фарфор, та­за су диэлектриктерге жатады.

Ө ткізгіштің қ арама-қ арсы жағ ындағ ы зарядтар - индукцияланғ ан зарядтар деп аталады.

Ө ткізгіштің барлық нү ктелеріндегі потенциалдар бір-біріне тең, бірдей екенін кө реміз, яғ ни ө ткізгіштердің беттері эквипотенциалды беттер екен, кернеулік сызық тары ө ткізгіштердің беттеріне перпендикуляр болып бағ ытталады.

Электр Сыйымдылық – ө ткізгіштің немесе ө ткізгіштер жү йесінің электр зарядтарын жинау жә не ұ стап тұ ру қ абілетін сипаттайтын физикалық шама. Ө ткізгіштің (жеке оқ шау ө ткізгіштің) электрлік сыйымдылығ ы – ө ткізгіштен шексіз қ ашық тық та орналасқ ан нү ктенің электр потенциалы нө лге тең деп қ абылданғ ан жә не басқ а барлық ө ткізгіштер шексіз қ ашық тық та орналасқ ан деп ұ йғ арғ ан жағ дайда (жеке оқ шау ө кізгіш деп аталады) ө ткізгіш зарядының (Q) оның электр потенциалы (U) қ атынасына тең скаляр шама:

С = Q/U.

Жеке оқ шау ө ткізгіш ү шін электр сыйымдылық ө ткізгіштің ө лшемдеріне, пішініне, сондай-ақ оқ шаулаушы ортаның диэлектрик ө тімділігіне (ɛ r) тә уелді болады. Екі ө ткізгіш арасындағ ы электрлік сыйымдылық (екі ө ткізгіштің ө зара электрлік сыйымдылығ ы) – ө ткізгіштер зарядтарының мә ндері бірдей, ал таң балары қ арама-қ арсы болғ ан жағ дайда жә не басқ а барлық ө ткізгіштер шексіз қ ашық тық та орналасқ ан кезде ө ткізгіштің біріндегі зарядтың абсолюттік мә нінің осы екі ө ткізгіштің электр потенциалдары айырымының қ атынасына тең скаляр шама:

С = Q/(ɸ 1–ɸ 2).

Екі ө ткізгіштің ө зара электр сыйымдылығ ы олардың ө лшемдеріне, пішіндеріне, ө зара орналасуына жә не олардың арасындағ ы ортаның диэлектрик ө тімділігіне (ɛ r) тә уелді болады. Электрлік сыйымдылық тың бірліктердің халық аралық жү йесіндегі ө лшем бірлігі – фарад (Ф). Электрлік сыйымдылық ты ө лшеу ү шін сыйымдылық ө лшеуіштерді пайдаланады.

Конденсаторларды қ осу

Конденсаторларды параллель қ осқ ан кезде сиымдылық:

Конденсаторларды тізбектей қ осқ ан кезде сиымдылық:

 

17. Бү кілә лемдік тартылыс заң ы. Салмақ жә не салмақ сыздық. Ү йкеліс кү ші.
  Бү кіл ә лемдік тартылыс заң ы, Ньютонның тартылыс заң ы — кез келген материялық бө лшектер арасындағ ы тартылыс кү шінің шамасын анық тайтын заң.Ньютонның бү кілә лемдік тартылыс заң ының іске асуы; m 1 нү ктелік массасы басқ а бір m 2нү ктелік массасын F 2 кү шімен тартады; бұ л кү ш екі массаның кө бейтіндісіне тура, ал олардың арасындағ ы қ ашық тық қ а (r) кері пропорционалды. Масса немесе қ ашық тық қ а қ арамастан | F 1| жә не | F 2| ә рқ ашан тең болады. Мұ ндағ ы G —гравитациялық тұ рақ ты. Табиғ аттағ ы барлық денелер бір-біріне тартылады. Осы тартылыс бағ ынатын заң ды Ньютон анық тап, бү кіл ә лемдік тартылыс заң ы деп аталғ ан. Осы заң бойынша, екі дененің бір-біріне тартылатын кү ші осы денелердің массаларына тура пропорционал, ал олардың ара қ ашық тығ ының квадратына кері пропорционал болады: F = G m1m2/r2 мұ ндағ ы, G - гравитациялық тұ рақ ты деп аталатын пропорционалдық коэффициент. Бұ л кү ш бір-біріне ә сер ететін денелер арқ ылы ө тетін тү зудің бойымен бағ ытталғ ан. Формула шамасы бойынша бір-біріне тең F12 жә не F21 кү штердің сандық мә нін береді. Cуреттегі ө зара ә серлесетін денелер біртекті шарлар болса, m1 жә не m2 – шар массалары, r - олардың центрінің ара қ ашық тығ ы. Дененің салмағ ы. Салмақ сыздық -денелердің жерге тартылу кү шін ауырлык кү ші деп атадык. Тірек ү стінде тұ рғ ан денені карастырайық. Денеге бұ л жағ дайда да ауырлық кү ші ә рекет етеді, ал оның кұ лауына тірек кедергі жасайды. Бұ л кезде дене мен тірек ө зара ә рекеттеседі, дене ө зі жатқ ан тіректі кысып басады. Бұ л кү ш дененің салмағ ы болып табылады. Ә детте салмақ ты Р ә рпімен белгілейді. дене жіпке, аспағ а жә не т. б. ілініп койылса да дә л солай болады. Сонымен, дененің тірекке немесе аспағ а ә рекет ететін кү ші дененің салмағ ы деп аталады. Егер дене горизонталь орналасқ ан, ә рі жерге катысты козғ алмайтын тірек ү стінде жатса, онда дененің салмағ ы оғ ан ә рекет ететін ауырлық кү шіне дә лме-дә л келеді. Сонда Р=Ғ а, яғ ни P=mg, сондық тан ауырлык кү ші мен салмакты жиі шатастырады. Алайда Бұ л ә р тү рлі кү штер екенін жә не ә р тү рлі денеге тү сірілетіндігін ескеру қ ажет: ауырлык кү ші қ арастырылатын денеге, ал салмак дене орналасқ ан тірекке тү седі. Мысалы, алакандарың а қ андай да бір нә рсені салың дар.Сол кездегі нә рсенің алақ анғ а тү сіретін қ ысым кү ші оның салмағ ы болып табылады. Ү йкеліс кү ші - дененің тіреу бетімен сырғ анағ ан кезінде ә сер ететін кү ш; жанасатын денелердің сұ йыктар немесе газдардың қ абаттарынын салыстырмалы орын ауыстыруына кедергі жасайтын кү ш; [1], электромагниттік кү штер қ атарына жатады. Дене беті тегіс болмайды. Бір дене екінші дененің бетімен қ озғ алғ анда осы тегіс емес жерлер деформацияланады, ү йкеліс кү штері пайда болады. Қ атты денелер бірінің бетімен бірі қ озғ алғ анда олардың арасында сұ йық немесе газ тә різді зат болмаса, онда пайда болатын ү йкелісті қ ұ рғ ақ ү йкеліс деп атайды. Қ ұ рғ ақ ү йкеліс тыныштық ү йкелісі жә не сырғ анау ү йкелісі болып екіге бө лінеді. Ү йкелістің тербеліс ү йкелісі деп аталатын тү рі де кездеседі. Тыныштық ү йкелісі мына формуламен анық талады: Fү йк=kN Ал дене қ озғ алып бара жатқ анда сырғ анау ү йкелісі пайда болады: Fсырғ анау=kN мұ ндағ ы, N - тіректің денеге ә сер ететін реакция кү ші; k - ү йкеліс коэффиценті. Дененің жылдамдығ ы артқ ан сайын сырғ анау ү йкелісі азая тү седі. Ү йкелістің пайдалы ә рі зиянды жақ тары бар. Машиналардың кө птеген бө лшектері бірімен бірі ә серлескенде олардың арасындағ ы ү йкеліс зиянды болып шығ ады. Оны азайту мақ сатында бө лшектерді майлайды. Кей кездері ү йкеліс коэффициентін азайту мақ сатында, сырғ анау ү йкелісін подшибниктерде қ олданып, тербеліс ү йкелісімен алмастырады.

 

 

18.Термодинамиканың бірінші бастамасы. Идеал газдың жылусиымдылығ ы.

Термодинамиканың бірінші бастамасы — термодинамикалық жү йелер ү шін керек энергияның сақ талу заң ы; бұ л заң бойынша жү йеге берілетін жылу оның ішкі энергиясын ө згертуге жә не жү йенің сыртқ ы кү штерге қ арсы жұ мысына жұ мсалады.[1]

Дене кү йінің барлық энергиясы - микроскопиялық қ озғ алысының толық тү ріндегі сыртқ ы кинетикалық энергиясы Ек жә не салмақ кү ші ө рісі, электрлі немесе магнит ө рісі жағ дайындағ ы потенциалды энергия Еn, сонымен қ атар, дене бө лшектерінің қ ұ рамдық ә рекеттері мен қ озғ алу энергиясын жасаушы ішкі энергия U қ осындыларынан тұ рады:

Қ аралып отырғ ан жылу динамикалық жү йе шамаланса, онда дененің орталық салмақ тық алмасу жылдамдығ ы ө те аз (С=0), яғ ни қ озғ алыссыз жұ мыстық дене кө лемінің ө згеруі туралы сө з болады, сондық тан Ек=0. Айталық, Ер=0 сонымен, бұ л жерде толық энергия ішкімен бірдей (E=U), ал жү йе энергиясының ө згеруі - жұ мыстық дененің, ішкі энергиясының ө згеруіне келтіреді.

Идеал газдың жылусиымдылығ ы

Егер жылу алмасу нә тижесінде денеге қ андай да жылу мө лшері берілсе, онда ішкі энергия жә не температура ө згереді.

1 кг затты 1К –ге қ ыздыруғ а кеткен жылу мө лшерін меншікті жылу мө лшері деп атайды: c = Q / (m Δ T), ө лшем бірлігі дж/(кг·К)

Заттың 1 молін 1 К-ге қ ыздыруғ а кеткен жылу мө лшерін молярлы жылу мө лшері деп атайды: C = M · c, ө лшем бірлігі дж/моль·К, мұ ндағ ы М – молярлық жылу сиымдылығ ы

Тұ рақ ты кө лемде газ жұ мыс жасамайды: A = 0. 1 моль ү шін термодинамиканың бірінші заң ынан:

 
Q V = C VΔ T = Δ U.
 

Ішкі энергияның Δ U ө згерісі оның Δ T температурасының ө згерісіне тура пропорционал.

Ал тұ рақ ты қ ысым ү шін термодинамиканың бірінші бастамасы,

 
Q p = Δ U + p (V 2V 1) = C VΔ T + p Δ V,
 

Мұ ндағ ы, Δ V – температура ө згерген кездегі кө лемнің 1 молге ө згеруі

Бұ дан:

   

Δ V / Δ T қ атынасы, идеал газдың бір молі ү шін жазылғ ан тең деуден шығ ады:

  pV = RT,  

Мұ ндағ ы, R – универсал газ тұ рақ тысы. p = const боғ анда,

   

Сонымен, меншікті жылусиымдылық тарының арасындағ ы байланысты мына қ атынас арқ ылы жазуғ а болады: (Майер формуласы):

  C p = C V + R.  

C p > C V ү немі ү лкен.

 
Газды екі тү рлу қ ыздыру процессі Δ T = T 2T 1. p = const болғ анда, газдың жұ мысы A = p 1(V 2V 1).

Олардың қ атынастары:

 
 

Жылу сиымдылық тары ө геріссіз қ алатын процессті политропты процесс деп атайды. Барлық изопроцестер политропты болып табылады.

Политроп тең деуі pVn = const

Мұ ндағ ы n = - политроп кө рсеткіш

    19.Масса жә не оның ө лшемі. Ньютон заң дары жә не оның механиканың қ арапайым есептеріне қ олданылуы. Масса дененің инерттілігін сипаттайтын физикалық шама болып саналады. Дененің массасы неғ ұ рлым ү лкен болса, ол солғ ұ рлым инертті болады. Масса – материяның бір тү рі, ол инерттіліктің сандық ө лшемін сипаттайды. Сырттан ә сер ететін кү ш бірдей болғ анның ө зінде, бір дене ө зінің жылда

Поделиться с друзьями:

mylektsii.su - Мои Лекции - 2015-2026 год. (0.585 сек.)Все материалы представленные на сайте исключительно с целью ознакомления читателями и не преследуют коммерческих целей или нарушение авторских прав Пожаловаться на материал