Студопедия

Главная страница Случайная страница

КАТЕГОРИИ:

АвтомобилиАстрономияБиологияГеографияДом и садДругие языкиДругоеИнформатикаИсторияКультураЛитератураЛогикаМатематикаМедицинаМеталлургияМеханикаОбразованиеОхрана трудаПедагогикаПолитикаПравоПсихологияРелигияРиторикаСоциологияСпортСтроительствоТехнологияТуризмФизикаФилософияФинансыХимияЧерчениеЭкологияЭкономикаЭлектроника






Список сокращений, условных обозначений, символов, единиц и терминов 3 страница






Схема 3. Определение потоков мощности на каждом участке линии

Рисунок 1.1.15 – Потокораспределение в нормальном режиме

При аварии на участке линии 4-7, питание потребителя 7 от источника 2 будет недостаточным, следовательно, участок 1-7 необходимо выполнить двухцепной линией.

Определяются потоки мощности на участках ЛЭП:

МВА.

По 1 закону Кирхгофа для узла 6:

.

По 1 закону Кирхгофа для узла 5:

.

Так как источник 2 – источник ограниченной мощности, то потокораспределение начинается с источника №2:

.

По 1 закону Кирхгофа для узла 8:

.

По 1 закону Кирхгофа для узла 7:

.

Направление потока мощности на участках 4-7 и 7 -2 изменится и точка 7 будет точкой потокораздела.

По 1 закону Кирхгофа для узла 4:

,

Рисунок 1.1.16 – Потокораспределение в нормальном режиме

Определение номинального напряжения:

кВ.

Примем Uн =220 кВ.

Определение токов на участках линии и выбор сечения линии

Определяются токи на участках линии, и методом экономических интервалов тока определяем сечение участков сети, так как линии выполнены двуцепными линиями, то значение тока уменьшаем в 2 раза:

А провод АС-240,

А провод АС-240,

А провод АС-240,

А провод АС-240,

А провод АС-240,

А провод АС-240,

А провод АС-240.

Определение активных и индуктивных сопротивлений участков линии

- для двухцепной линии:

Ом, Ом,

Ом, Ом,

Ом, Ом,

Ом, Ом,

Ом, Ом,

Ом, Ом,

Ом, Ом.

Определение потерь активной мощности и потери напряжения

МВт,

МВт,

МВт,

МВт,

МВт,

МВт,

МВт.

Далее потери мощности суммируются для всей сети:

МВт.

Затем определяется потери напряжения на участках ЛЭП.

кВ,

кВ,

кВ,

кВ,

кВ,

кВ,

кВ.

Определяются потери напряжения в %:

%,

%,

%,

%,

%,

%,

%.

Определяется наибольшая потеря напряжения, то есть потерю напряжения от источника до самого удаленного потребителя:

%,

Расчет послеаварийного режима данного варианта сети

Исключается линия на участке цепи 1-2

Рисунок 1.1.17 – Потокораспределение в аварийном режиме

Определяется потокораспределение:

S78 = S 8 = 34, 2 + j14, 6 МВА,

S47 = S78 + S7 = 62, 7 + j28, 5 МВА,

S14 = S47 + S4 = 78, 9+ j38, 5 МВА.

Рассчитываются потери напряжения на участках цепи:

Исключается линия на участке цепи 1-5

Рисунок 1.1.18 – Потокораспределение в аварийном режиме

Рассчитается активное и индуктивное сопротивление:

Ом, Ом,

Рассчитывается потеря напряжения на участках цепи:

кВ,

кВ,

кВ,

Определяется потеря напряжения в % в аварийном режиме:

.

Все данные предварительного расчета схемы № 3 занесем в таблицу 1.1.8.

Таблица 1.1.8 – Нормальный режим схемы № 3

Учас- ток Длина км Число цепей Поток мощности МВА Расчетный ток А Стандарт- ное сечение мм2 r0 Ом/км x0 Ом/км r Ом x Ом ∆ P МВт ∆ U кВ
1-4     38, 7+j8, 1     0, 12 0, 43 1, 8 6, 5 0, 1 0, 8
4-7     2, 7-j1, 9     0, 12 0, 43   10, 8 0, 05 0, 5
7-8     5, 8+j15, 4     0, 12 0, 43 4, 2   0, 02 1, 1
8-2     40+j30     0, 12 0, 43 2, 6 4, 7 0, 13 1, 1
1-5     91, 3+j37, 1     0, 12 0, 43 1, 8 6, 5 0, 35 3, 1
5-6     53, 5+26, 8j     0, 12 0, 43 2, 6 9, 5 0, 2 1, 9
6-3     28+j15     0, 12 0, 43 2, 4 8, 6 0, 05 0, 9

 

Вывод: Согласно заданию предельно допустимыми потерями напряжения считается Σ Δ Uдоп%=12%. Значит, схема № 3 проходит для дальнейшего расчета по допустимым потерям напряжения и по допустимому длительному току.

1.1.5 Технико-экономическое сравнение вариантов сети

Для выбора наиболее оптимальной схемы электроснабжения района необходимо провести оценку экономической эффективности каждого из рассматриваемых вариантов.

Таблица 1.1.9 – Технико-экономическое сравнение вариантов

№ п/п Составляющие затрат Схема 1 Схема 2 Схема 3 Схема 1 Схема 2 Схема 3  
 
  Стоимость ВЛ 220 кВ участок Ко тыс.руб./км Li участок Ко тыс.руб./км Li участок Ко тыс.руб./км Li        
км км км  
1-5     1-4     1-4      
5-6     4-7     4-7      
6-3     7-8     7-8      
3-2     8-2     8-2      
1-7     1-5     1-5      
7-8     5-6     5-6      
1-4     6-3      
3-2     6-3      
  Затраты на устройство лежневых до-рог (Зл), З=Зл*L, где L-длина линии 370*348 370∙ 405 370∙ 348        
  Затраты с учетом зонального коэф., Ззк=1 (518200+128760)*1 (624850+149850)*1 (534300+128760)*1        
                 
                 
Продолжение таблицы 1.9  
  Ст-ть земельного участка под опоры, ст-ть освония =19руб/м2; размер пост отвода земли на 1 км = 40м3 19*40*348 19*40*405 19*40*348        
  НДС по п. 1, 2*398240 432440*1, 2 390640*1, 2        
  Ст-ть в текущем уровне цен (646960+477888) ∙ 2, 664 (774700+432440) ∙ 2, 664 (663060+468768) ∙ 2, 664        
  Общие затраты - - -        

По табл. 7.4, 7.8, 7.20, 7.2, 7.3, 7.7, 7.1 стр. 309-315; 324 [3] выбираются соответственно: стоимость ВЛ 220 кВ; затраты на устройство лежневых дорог; затраты с учетом стоимости трансформаторов; затраты с учетом зонального коэф.; стоимость земельного участка под опоры; стоимость в текущем уровне цен.

Метод приведенных затрат

Выбор оптимального варианта производится по критерию минимума приведенных затрат (3), которые для i-го варианта определяются по формуле:

3 = рн K + И + У, (24)

где рн = 0, 33 1/год — нормативный коэффициент сравнительной эффективности капиталовложении;

К –– суммарные единовременные капиталовложения, руб.,

И –– суммарные ежегодные издержки на амортизацию, текущий ремонт и обслуживание, руб,

У— суммарный вероятный народнохозяйственный ущерб от аварийных и плановых перерывов электроснабжения потребителей, руб.

Ежегодные издержки определяются по формуле:

З = Иа + Ир + Ио + ИΔ W, (25)

где Иа = α а К –– отчисления на амортизацию (α а = 0, 2 ÷ 0, 3 – ежегодные отчисления на амортизацию в относительных единицах), руб.,

р + Ио) = (α р + α о)·К –– отчисления на ремонт и обслуживание, руб.,

[(α р + α о) = 0, 06 – ежегодные отчисления на ремонт и обслуживание в относительных единицах],

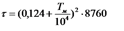
ИΔ W = β ·Δ Р·τ –– стоимость потерь электроэнергии [ -время максимальных потерь, час], руб.

Время максимальных потерь находится по формуле:

, (26)

часов.

Расчет стоимости строительства ВЛ по схеме № 1.

Отчисления на амортизацию определяются по формуле:

Иа = α а·К, (27)

Иа = 0, 2·2996595=599319 тыс руб/год.

Находятся отчисления на ремонт и обслуживание по формуле:

р + Ио) = (α р + α о)·К, (28)

р + Ио) = 0, 06·2996595=179795 тыс руб/год.

Определяется стоимость потерь электроэнергии по формуле:

ИΔ W = β ·Δ Р·τ, (29)

ИΔ W = 2, 4·0, 78·5250·10–3 = 10 тыс руб/год.

Ежегодные издержки вычисляются по формуле:

З= рн K+И (30)

З= 0, 33·2996595+599319 +179795 +10=1768 тыс руб/год.

Расчет стоимости строительства ВЛ по схеме № 2.

Отчисления на амортизацию составят:

Иа = 0, 2·3446225= 689, 245 тыс руб/год.

Находятся отчисления на ремонт и обслуживание:

р + Ио) = 0, 06·3446225= 206, 773 тыс руб/год.

Определяется стоимость потерь электроэнергии:

ИΔ W =2, 4·0, 753·5250·10–3 =10 тыс руб/год.

Ежегодные издержки составят:

З= 0, 33·3446225+689245 + 206773 + 10= 2033 тыс руб/год.

Расчет стоимости строительства ВЛ по схеме № 3.

Отчисления на амортизацию составят:

Иа = 0, 2·3015190=603038 руб/год.

Находятся отчисления на ремонт и обслуживание:

р + Ио) = 0, 06·3015190=180911 руб/год.

Определяется стоимость потерь электроэнергии:

ИΔ W =2, 4·0, 9·5250·10–3 =11, 3 тыс руб/год.

Ежегодные издержки составят:

З= 0, 33•3015190+ 603038 + 180911 + 11, 3= 1778 тыс руб/год.

На основании анализа экономической эффективности сравниваемых вариантов делается вывод, что предпочтение отдаётся к реализации варианта схемы № 3 СЭС, поэтому принимается более экономичная схема №1.

1.6 Выбор трансформаторов на подстанции потребителей

Основными критериями выбора оптимальной мощности трансформаторов являются:

- экономические соображения, обеспечивающие максимум ЧДД (чистый дисконтированный доход);

- условия нагрева, зависящие от графика нагрузки;

- температуры окружающей среды, коэффициента начальной загрузки и длительности максимума.

Так как преобладают потребители 1-й и 2-й категорий, принимается к установке по два трансформатора в пунктах (подстанциях) № 3, 4, 5, 6, 7, 8.

Определяется расчётная мощность трансформатора на подстанции по формуле:

, (1.1.24)

где – коэффициент загрузки, =0, 7,

n – количество транчформаторов, n=2.

МВА.

Для пункта № 3 выбирается трансформатор типа ТРДН – 40000/220.

МВА.

Для пункта № 4 выбирается трансформатор типа ТРДН – 40000/220.

МВА.

Для пункта № 5 выбирается трансформатор типа ТРДН – 40000/220.

МВА.

Для пункта № 6 выбирается трансформатор типа ТРДН – 40000/220.

МВА.

Для пункта № 7 выбирается трансформатор типа ТРДН – 40000/220.

МВА.

Для пункта № 8 выбирается трансформатор типа ТРДН –40000/220.

По справочнику выбираются силовые трансформаторы с высшим напряжением 220 кВ для каждого пункта, сведения о которых представлены в табл. 1.1.11.

Таблица 1.1.11 - Технические данные выбранных трансформаторов

Тип трансформатора SТР МВА UH BH кВ UH HH кВ UK % кВт кВт % R, Ом X, Ом Пункт потребителя
ТРДН – 40000/220     10, 5       0, 9 5, 6 158, 7 3, 4, 5, 6, 7, 8

 

Типы выбранных трансформаторов:

ТРДН - трансформатор трехфазный с расщеплённой обмоткой низшего напряжения с принудительной циркуляцией воздуха и естественной циркуляцией масла с системой регулирования напряжения под нагрузкой.

Рассчитываются потери активной мощности в трансформаторе по формуле:

, (1.1.25)

МВт,

МВт,

МВт,

МВт,

МВт,

МВт.

Рассчитываются потери реактивной мощности в трансформаторе по формуле:

, (1.1.26)

Мвар,

Мвар,

Мвар,

Мвар,

Мвар,

Мвар.

Рисунок 1.1.19 - Расчетная схема сети

Определяется зарядная мощность участков сети, примыкающих к подстанции по формуле:

, (1.1.27)

Мвар,

Мвар,

Мвар,

Мвар,

Мвар,

Мвар,

Мвар.

Определяются расчетные нагрузки подстанций по формуле:

, (1.1.28)

где Si – нагрузка потребителя в соответствующем режиме на стороне низшего напряжения подстанции, МВА,

Δ Pтр, Δ Qтр – потери активной и реактивной мощности в трансформаторах, соответственно МВт, Мвар,

Qci/2 – зарядная мощность участка сети, примыкающего к подстанции, Мвар.

МВА,

МВА,

МВА,

МВА,

МВА,

МВА.

1.1.7 Уточненный расчет отобранного варианта

Утонченный расчет в режиме наибольших нагрузок

Определяем потоки мощности по номинальному напряжению.

Рисунок 1.1.20 - Распределение мощности по участкам схемы.

Участок 2-3:

Участок 3-6:

Участок 5-6:

«Разрезаем» схему в точке 6 потокораздела по активной и реактивной мощности.

Участок 1-5:

Участок 7-8:

Участок 1-7:

Участок 1-4:

Расчёт уровней напряжения.

Рассчитаются потери напряжения участков линии с учетом, что напряжение на шинах источника питания при наименьших нагрузках-1, 04Uн

кВ,

Напряжение на стороне низшего напряжения приведенное к стороне высшего напряжения:

, (1.1.29)

В режиме максимальных нагрузок потеря напряжения находится в пределах диапазона регулирования трансформаторов.

Уточненный расчет в режиме наименьших нагрузок

Определяются нагрузки потребителей в соответствии с заданным коэффициентом уменьшения нагрузки. Наименьшая нагрузка составляет 50% от наибольшей. Активная мощность потребителей определяется по формуле:

, (1.1.30)

где - коэффициент уменьшения нагрузки, .

Реактивная мощность потребителей определяется по формуле:

, (1.1.31)

где - активная мощность в режиме наименьших нагрузок, МВт,

- реактивная мощность в режиме наибольших нагрузок, Мвар,

- активная мощность в режиме наибольших нагрузок, МВт.

Для остальных пунктов проедятся аналогичные вычисления, и полученные данные сводятся в таблицу 1.1.11.

Таблица 1.1.11 Активная и реактивная мощность.

№ пункта
  11, 3 5, 1
  6, 4 2, 6
  7, 6 2, 7
  13, 2 4, 1
  11, 5 1, 1
  13, 7 4, 5

 

В режиме наименьших нагрузок следует оценить выгодность отключения одного из трансформаторов на двухтрансформаторных подстанциях. Отключение выгодно, если выполняется условие:

(1.1.32)

Производится заново расчет потерь мощности в трансформаторах по формулам (1.1.25), (1.1.26). Зарядная мощность линий от нагрузки не зависит.


Поделиться с друзьями:

mylektsii.su - Мои Лекции - 2015-2026 год. (1.539 сек.)Все материалы представленные на сайте исключительно с целью ознакомления читателями и не преследуют коммерческих целей или нарушение авторских прав Пожаловаться на материал