Студопедия

Главная страница Случайная страница

КАТЕГОРИИ:

АвтомобилиАстрономияБиологияГеографияДом и садДругие языкиДругоеИнформатикаИсторияКультураЛитератураЛогикаМатематикаМедицинаМеталлургияМеханикаОбразованиеОхрана трудаПедагогикаПолитикаПравоПсихологияРелигияРиторикаСоциологияСпортСтроительствоТехнологияТуризмФизикаФилософияФинансыХимияЧерчениеЭкологияЭкономикаЭлектроника






Расчёт токов короткого замыкания






Разработка расчетной схемы.

Аппараты электроустановок, в том числе РУ подстанций должны удовлетворять всем режимам функционирования соответствующих электроустановок или отдельных частей: нормальному, ремонтному, аварийному, послеаварийному режимам.

В нормальном режиме все элементы находятся в работе и функционируют в соответствии с запланированными для них нагрузками и качественными показателями.

Аварийный режим наступает при внезапном нарушении нормального режима.

При выборе аппаратов за расчетный аварийный режим принимается режим короткого замыкания. После отключения короткого замыкания наступает послеаварийным режим. Для проверки аппаратов данного присоединения по аварийному режиму необходимо, прежде всего, оценить расчетные условия короткого замыкания, то есть составить расчетную схему, наметить места расположения расчетных точек короткого замыкания, определить расчетное время протекания токов короткого замыкания и расчетный вид короткого замыкания.

Расчёт токов короткого замыкания производится для выбора аппаратов, проводников, числа заземлённых нейтралей в системе, проектирования и настройки релейной защиты и автоматики, выявления влияния высоковольтных линий электропередач на линии связи и сигнализации.

Для расчётов составляются расчётная схема и схемы замещения.

Расчетная схема составляется на основании схемы электроснабжения в условиях длительной ее эксплуатации. Коротковременные изменения в схеме не учитываются. Учитываются перспективы развития на пять лет вперед.

На схеме в виде графических обозначений показываются источники (система, генераторы), силовые трансформаторы, воздушные и кабельные линии, реакторы и их основные параметры, необходимые для расчета.

Так как данная схема электроснабжения предназначена для напряжения выше 1000 В, то на расчетной схеме коммутационные аппараты не показываю, то есть их сопротивления не учитываются.

В целях упрощения расчетов для каждой электрической ступени вместо действительного напряжения на шинах указывают среднее напряжение.


Рисунок 1.2.3 - Расчетная схема электроснабжения с точками КЗ

Выбор расчетных точек к.з..

Точки короткого замыкания выбираются так, чтобы по проверяемым аппаратам протекал наибольший ток, следовательно, точка к.з. должна находиться сразу же за этими аппаратами.

Если проверяемые аппараты предназначены только на напряжение выше 1000 В, то выбираем две расчетные точки к.з.:

К1 - точка для проверки аппаратов до трансформатора;

К2 - точка для проверки аппаратов после трансформатора и системы сборных шин (только одна точка, так как сопротивление от источника до К2 и до потребителей будет одинаково, потому что сопротивление аппаратов не учитывается).

На расчетной схеме указываются точки короткого замыкания (рисунок 1.2.3).

Составление схемы замещения для каждой точки к.з..

На основе расчетной схемыдля каждой точки к.з. составляется схема замещения, которая представляется в виде индуктивных и активных сопротивлений. Так как в данном случае проектируемый тип подстанции ТП 220/10, то активные сопротивления не показываем.

Составление схемы замещения для точки К1.

Рисунок 1.2.4 - Схема замещения первичных соединений для точки К1, питание от системы

Составление схемы замещения для точки К2.

Рисунок 1.2.5 - Схема замещения первичных соединений для точки К2, питание от системы

Принятие базисных условий.

На схеме замещения показанные сопротивления находятся на разных ступенях напряжения.

Для преобразования схемы замещения необходимо все сопротивления преобразовать к одним и тем же условиям (к базисным условиям). За базисные условия принимаются два параметра: Sб и Uб. Независимо от того, в каких единицах определяются значения сопротивления, за базисные условия всегда принимаются Sб и Uб.

За Sб принимается любое значение, кроме нуля и отрицательного. Но чаще всего за Sб принимают мощность системы (для упрощения расчета), а за Uб принимают только напряжение, где находится точка к.з.

На основе выше сказанного принимаем для точки К1: Sб=210 МВА и Uб=231кВ, а для точки К2: Sб=210 МВА и Uб=10, 5 кВ.

Определение сопротивлений с указанием их значений на схеме замещения.

Сопротивления элементов могут быть заданы в именованных или относительных единицах. В относительных единицах значения задаются в процентах или в долях. В это же время необходимо перевести все к базисным условиям.

Определяем сопротивления в именованных единицах для точки К1:

Система:

Ом.

Линия:

Ом,

X0=0, 4 Ом/км – для ВЛ 220 кВ марки АС-240.

Линия:

Ом,

X0=0, 405 Ом/км – для ВЛ 220 кВ марки АС-240.

Найденные значения сопротивлений для К1 указываем на схеме замещения (рисунок 1.2.4).

Определяем сопротивления в именованных единицах для точки К2:

Система:

Ом.

Сопротивления трансформаторов на ВН и НН определяются по следующим формулам:

, (1.2.4)

. (1.2.5)

Получится:

Ом,

Ом,

.

ХТ% для трансформатора ТРДН 40000/220/10.

Линия:

Ом,

X0=0, 4 Ом/км – для ВЛ 220 кВ марки АС-240.

Линия:

Ом,

X0=0, 4 Ом/км – для ВЛ 220 кВ марки АС-240.

Найденные значения сопротивлений для К2 указываем на схеме замещения (рисунок 1.2.5).

Преобразование схем замещения к простейшему виду.

Целью преобразования схемы замещения является ее приведение к простейшему виду.

Преобразования, применяемые в расчетах обычных линейных электрических цепей, включают в себя нахождение эквивалентной ЭДС, последовательное и параллельное сложение сопротивлений, преобразование треугольника в звезду и обратно.

Рисунок 1.2.6 - Упрощенная схема замещения для точки К1, питание от системы

Находим эквивалентные сопротивления и показываем их на упрощенной схеме замещения (рисунок 1.2.6).

Ом,

Ом,

Ом.

Рисунок 1.2.7 - Упрощенная схема замещения для точки К2, питание от системы

Находим эквивалентные сопротивления и показываем их на упрощенной схеме замещения (рисунок 1.2.7).

Ом,

Ом,

Ом,

Ом.

Определение необходимых значений токов к.з..

Токи к.з определяются по разному в зависимости от мощности источника. Для того чтобы решить к какой мощности относится источник питания, вычисляется относительное расчетное сопротивление .

Если значение > 3, то Sсист= - это источник питания неограниченной мощности.

Если значение < 3, то Sсист - это источник питания ограниченной мощности.

Для точки К1:

,

< 3, значит Sсист - источник питания ограниченной мощности.

Для точки К2:

,

< 3, значит Sсист - источник питания ограниченной мощности.

Вычисление токов к.з. от источника ограниченной мощности.

- действительное значение переходного тока периодической составляющей в первый момент действия переходного процесса, вычисляют для проверки на динамическую устойчивость.

- вычисляют для проверки на термическую устойчивость.

Для точки К1:

При определении токов к.з. существуют некоторые сложности, связанные с тем, что:

1) ЭДС генератора изменяется по сложному закону в зависимости не только от параметров генератора, а так же с учетом степени воздействия АРВ;

2) Сопротивление генератора при ПП не остается постоянным.

Поэтому токи к.з. вычисляются по расчетным кривым, которые строятся с учетом выше перечисленного.

Пользуясь кривыми затухания для турбогенераторов с АРВ, определяем:

при ,

,

,

кА,

кА,

кА,

кА.

=1, 8– для систем напряжением выше 110 кВ.

кА.

Для точки К2:

при ,

,

,

кА,

кА,

кА,

кА,

=1, 2– для систем напряжением выше 1000 В.

кА,

В итоге были получены такие данные токов короткого замыкания:

Для К1: кА;

кА;

кА.

Для К2: кА;

кА;

кА.

1.2.4 Проверка коммутационно-защитной аппаратуры на действие токов к.з.

Проверка на термическую устойчивость.

Термическая устойчивость аппаратов характеризуется током термической устойчивости , приведенному к некоторому расчетному времени .

- тепловой импульс, он характеризует допустимое количество тепла.

Для проверки аппаратов на термическую устойчивость необходимо следующее условие:

,

где - расчетный тепловой импульс,

- фиктивное время действия токов к.з., оно принимается вместо , при котором количество тепла, выделяемое из проводника при замене действительного тока на будет таким же.

,

- апериодическая составляющая,

где - коэффициент затухания ,

- периодическая составляющая, определяется по кривым в справочной литературе.

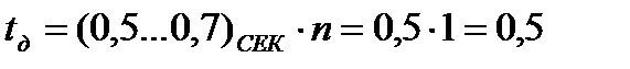
с,

где n=1 – ступень селективности,

(0, 5…0, 7)сек – время для обеспечения необходимой селективности.

Проверка на термическую устойчивость аппаратов для точки К1:

,

,

с,

выбирается по графику, ,

.

Должно выполняться условие:

.

1) Проверяются выключатели Q1, Q2, Q3 марки ВЭБ – 220:

,

условие выполняется.

2) Проверяются разъединители QS1 – QS12 марки РНД(З)-2-220/1000 УХЛ1:

,

условие выполняется.

Проверка на термическую устойчивость аппаратов для точки К2:

,

,

с,

выбирается по графику, .

.

Должно выполняться условие:

.

Значения и берем из табл. 2 для каждого аппарата.

1) Проверяются выключатели Q4– Q7 марки ВВТЭ – 10:

,

условие выполняется.

Проверка на динамическую устойчивость.

Устойчивость аппаратов оценивается предельно допустимым амплитудным значением сквозного тока .

Условие проверки:

.

Для точки К1.

1) Проверяются выключатели Q1, Q2, Q3 марки ВЭБ – 220: 4, 6< 45 кА условие выполняется.

2) Проверяются разъединители QS1 – QS12 марки РНД(З)-2-220/1000 УХЛ1:

4, 6< 80 кА условие выполняется.

Для точки К2.

2) Проверяются выключатели Q4– Q7 марки ВВЭ-М – 10: 70< 80 кА условие выполняется.

Проверка на отключающую способность

Отключающая способность оценивается выполнением следующего условия:

,

где - номинальный ток отключения, значение которого берем из таблицы 1.2.2.

Для точки К1.

1) Проверяются выключатели Q1, Q2, Q3 марки ВЭБ – 220: 1, 8< 20 кА условие выполняется.

Для точки К2.

1) Проверяются выключатели Q4– Q7 марки ВВЭ-М– 10: 31< 31, 5 кА условие выполняется.

1.2.5 Выбор измерительных трансформаторов и электроизмерительных приборов

С помощью электроизмерительных приборов производятся измерения и контроль следующих параметров:

1) нагрузки (амперметром);

2) качества электрической энергии (вольтметром, частотомером);

3) распределения активной и реактивной мощности между параллельно работающими генераторами (ваттметром и варметром);

4) количества выработанной или потребляемой энергии (счетчиками активной и реактивной энергии);

5) величины коэффициента мощности (фазометром).

Измерение тока должно производиться в цепях всех напряжений, где оно необходимо для систематического контроля технологического процесса или оборудования. В цепях переменного трехфазного тока следует, как правило, измерять ток одной фазы.

Измерение напряжения, как правило, должно производиться на секциях сборных шин, которые могут работать раздельно (на подстанциях допускается измерять напряжение только на стороне низшего напряжения).

Техническим (контрольным) учетом электрической энергии называется учет для контроля расхода электроэнергии.

Счетчики, установленные для технического учета, называются счетчиками технического учета. Для схем электроснабжения основных объектов допустимый класс точности расчетных счетчиков 1, 0. Для технического учета применяются счетчики класса точности 2, 0.

Класс точности счетчиков реактивной энергии должен выбираться на одну ступень ниже соответствующего класса точности счетчиков активной электроэнергии.

Выбор электроизмерительных приборов на ТП 220/10 Sн=40 МВА.

Выбор пределов измерения электроизмерительных приборов зависит от номинальных параметров работы электроустановок.

Для производства электрических измерений в стационарных электроустановках промышленных предприятий, как правило, применяются щитовые аналоговые приборы. В основу их конструкции наиболее часто закладываются системы: магнитоэлектрическая, электромагнитная, ферродинамическая, индукционная, детекторная и термоэлектрическая.

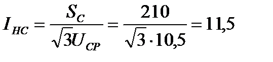
Для выбора электроизмерительных приборов, рассчитаем значения токов на высшей и низшей стороне трансформатора:

,

.

На стороне высшего напряжения подстанции (I1=210 A) выбирается 3 амперметр типа Э-377 класса точности 1, 5, страницы 118-126, включаемый через трансформатор тока (вторичный ток 5 А), частоты 50 Гц, предел измерения 0…300 А. Потребляемая мощность катушки тока 0.1 ВА.

Выбираются по справочной литературе, на сторону высшего напряжения три вольтметра типа Э377 класса точности 1, 5, частоты 50 Гц, включаемые через трансформатор напряжения, имеющие предел измерения 250 кВ. Потребляемая мощность указанных приборов 0, 1 ВА.

Выбираются по справочной литературе, на сторону низшего напряжения на вводе три амперметра типа Э377 класса точности 1, 5, частоты 50 Гц, включаемые через трансформатор тока, имеющие предел измерения 2000 А. Потребляемая мощность указанных приборов 0, 1 ВА.

Выбираются по справочной литературе, на сторону низшего напряжения на отходящих линиях два амперметра типа Э377 класса точности 1, 5, частоты 50 Гц, включаемые через трансформатор тока, имеющие предел измерения 600 А. Потребляемая мощность указанных приборов 0, 1 ВА.

Выбираются по справочной литературе, на сторону низшего напряжения три вольтметра типа Э377 класса точности 1, 5, частоты 50 Гц, включаемые через трансформатор напряжения, имеющие предел измерения 12, 5 кВ. Потребляемая мощность указанных приборов 0, 1 ВА.

Выбираются счетчик реактивной энергии типа на высшую и низшую стороны подстанции Меркурий 230 АRT1-00. Он предназначен для коммерческого учета активной и реактивной электроэнергии в одном направлении по 4-м тарифам в в трёх- или четырёхпроводной сети переменного тока и работают как автономно, так и в составе АСКУЭ. Включается через любые трансформаторы тока и напряжения. Потребляемая мощность катушки напряжения 0, 5 ВА, а катушки тока 0, 1 ВА.

На высшую и низшую сторону выбираются ваттметр и варметр соответственно типов Д365 и Д365/1 ферродинамической системы, предназначен для измерения активной мощности в трехфазных трехпроводных цепях переменного тока частоты 50 Гц. Потребляемая мощность токовой обмотки 1, 5 ВА и катушки напряжения 2, 0 ВА.

Выбранные приборы и их технические данные приведены в таблицах 9 и 10.

Таблица 1.2.9 Технические характеристики выбранных амперметров и ваттметра

Приборы Условно-графическое обозначение Тип Класс точности Потребляемая мощность катушки ВА (Вт)     Пределы измерений   Масса, кг   Количество, шт.
напряжения тока
Амперметр Э377 1, 5 - 0, 1 0–300А 0, 7  
Амперметр Э377 1, 5 - 0, 1 0–2000А 0, 7  
Амперметр Э377 1, 5 - 0, 1 0–600А 0, 7  
Вольтметр Э377 1, 5 0.1 - 0-250кВ 0, 7  
Вольтметр Э377 1, 5 0.1 - 0–12, 5кВ 0, 7  
Ваттметр Д365 1, 5 2.0 1, 5 0–63Мвт 1, 0  
Варметр Д365/1 1, 5 2.0 1, 5 0–63 Мвар 1, 0  

Таблица 1.2.10 Технические данные выбранных счётчиков электроэнергии

Наименование счетчика Вид измерения энергии Класс точности Ном. напряжение, В Ном. (мах.) ток, А Тарификатор, интерфейс, отсчетное уст-во.
Меркурий 230 ART1-00 Активный-реактивный 0, 5 3 57, 7/100 5(7, 5) внутренний, интерфейс CAN, ЖКИ, профиль мощности, журнал событий

Выбор трансформаторов тока.

Трансформатор тока предназначен для понижения первичного тока до стандартной величины (5 или 1 А) и для отделения цепей измерения и защиты от первичных цепей высокого напряжения.

Трансформаторы тока (ТТ) выбирают по номинальным значениям тока и напряжения первичной цепи, номинальной мощности вторичной цепи, классу точности и проверяют на электродинамическую и термическую устойчивость при протекании сквозных токов КЗ.

При выборе трансформаторов тока по номинальным напряжениям и току первичной цепи должны выполняться условия:

, (1.2.6)

где UНТТ – номинальное напряжение трансформатора тока,

UНУСТ – номинальное напряжение установки,

IН1 – номинальный ток первичной обмотки трансформатора тока,

IРАБ.ФОРС. – рабочий ток форсировки.

По классу точности трансформаторы тока выбирают в зависимости от типа и класса точности присоединяемых к ним приборов.

Исходя из условия по справочнику, принимаются трансформаторы тока, указанные в таблице 1.2.11.

Выбираем трансформаторы тока, включённые в полную звезду, типа ТФЗМ-220-БI на номинальное напряжение 220 кВ, ток первичной цепи 300 А, вторичной цепи 5 А, класс точности 0, 5 и типа ТПОЛ-10 на номинальное напряжение 10 кВ, ток первичной цепи 0.6 кА, вторичной цепи 5 А, класс точности 1.

Таблица 1.2.11 Технические данные трансформаторов тока

Тип трансформатора Номинальное напряжение Uн, кВ   Номинальный ток, Iн, А Вариант исполнения вторичной обмотки Класс точности Номинальная нагрузка в классе, Ом Ток эл. Динамический стойкости, кА Ток термической стойкости, кА/доп. время, с Номинальная предельная кратность вторичной обмотке для защиты  
первичный вторичный  
0, 5 10P  
ТФЗМ-220-Б I       10Р 10P ---     9/3 18/15/12  
ТЛ-10       0, 5/10P 0, 5/10P 0, 4 0, 6   31, 5/3    
ТЛК-10       0, 5/10P 0, 5/10P 0, 4 0, 6   31, 5/3    

 

Для проверки трансформаторов тока по вторичной нагрузке пользуются схемой включения измерительных приборов и каталожными данными приборов. Выбор трансформатора тока по мощности сводится к сравнению его номинальной вторичной мощности с расчетной вторичной нагрузкой.


Таблица 1.2.12 Вторичная нагрузка трансформатора тока на стороне 220 кВ

Прибор Тип Потребляемая мощность катушки тока, ВА
A B C
Амперметр Э377 0, 1 0, 1 0, 1
Вольтметр Э377 -- -- --
Ваттметр Д-365 1, 5 1, 5 1, 5
Варметр Д-365/1 1, 5 1, 5 1, 5
Счётчик активной/реактивной энергии Меркурий 230 ART1-00 0, 1   0, 1   0, 1
Итого   3, 2 3, 2 3, 2

Таблица 1.2.13 Вторичная нагрузка трансформатора тока на стороне 10 кВ

Прибор Тип Потребляемая мощность катушки тока, ВА
A B C
Амперметр Э377 0, 1 0, 1 0, 1
Вольтметр Э377 -- -- --
Ваттметр Д-365 1, 5 1, 5 1, 5
Варметр Д-365/1 1, 5 1, 5 1, 5
Счётчик активной/реактивной энергии Меркурий 230 ART1-00 0, 1   0, 1   0, 1
Итого   3, 2 3, 2 3, 2

 

Выбор трансформаторов тока по мощности сводится к сравнению его номинальной вторичной мощности с расчётной нагрузкой. При этом следует соблюдать выполнение условия:

Sн2≥ Sрасч.2, (1.2.7)

где Sн2=I2н2 Zн2 – номинальная мощность трансформатора тока, ВА,

Sрасч.2 – расчётная мощность вторичной цепи трансформатора тока, ВА,

Iн2 – номинальный ток вторичной цепи трансформатора тока, А,

Zн2 – номинальное сопротивление вторичной цепи трансформатора тока, Ом.

Расчётная мощность вторичной цепи трансформатора тока определяется по формуле:

Sрасч.2=∑ Sприб.+I2н2 Rпров.+I2н2 Rк, (1.2.8)

где Sрасч.2 - расчётная мощность вторичной цепи трансформатора тока,

∑ Sприб. – потребляемая мощность приборов, подключённых к трансформатору тока,

Iн2 – номинальный ток вторичной обмотки трансформатора тока,

Rпров. – активное сопротивление соединительных проводов,

Rк – активное сопротивление контактов, принимают равным 0, 1 Ом.

Тогда сопротивление соединительных проводов определяют по формуле:

. (1.2.9)

Для высокой стороны 220 кВ:

Номинальную мощность трансформатора тока определяют по формуле:

, (1.2.10)

где IH 2 - номинальный ток вторичной обмотки трансформатора тока, IН 2 = 5 А,

zH 2 - номинальное сопротивление вторичной цепи трансформатора тока в классе, при классе точности 0, 5 rH 2 = 1, 2 Ом.

.

Потребляемую мощность приборов, подключенных к трансформатору тока определяют по формуле:

, (1.2.11)

где потребляемая мощность обмотки амперметра SPA=0, 1 ВА,

потребляемая мощность токовой обмотки счётчика активной энергии SPI=0, 1 ВА,

потребляемая мощность токовой обмотки счётчика реактивной энергии SPK=0, 1 ВА,

потребляемая мощность токовой обмотки ваттметра SPW=1, 5 ВА,

потребляемая мощность токовой обмотки варметра SPQ=1, 5 ВА.

Сопротивление соединительных проводов определяют по формуле:

,

Сечение соединительных проводов определяют по формуле:

. (1.2.12)

Принимают длину соединительных проводов в один конец l=30 м. Так как трансформаторы тока соединены по схеме полной звезды, то lрасч=l=30 м. Провода выбираются медные :

.

Так как по условию механической прочности сечение медных проводов для токовых цепей должно составлять не менее 2, 5 мм2, то выбирают сечение провода 2, 5 мм2.

С учётом выбранного сечения:

,

,

где Sрасч.2 - расчетная мощность вторичной цепи трансформатора тока, ВА.

Т.о. Sрасч2 ≤ Sн2, так как 11, 05 ВА ≤ 30ВА, Условие выполняется. Выбранные трансформаторы тока проходят по мощности вторичной нагрузки.

Для низкой стороны 10 кВ.

Номинальная мощность трансформатора тока.

,

где IH2 - номинальный ток вторичной обмотки трансформатора тока, IН2 = 5 А,

zH2 - номинальное сопротивление вторичной цепи трансформатора тока в классе, при классе точности 0, 5 rH2 = 0, 4 Ом.

,

Потребляемую мощность приборов, подключенных к трансформатору тока определяют по формуле:

,

где потребляемая мощность токовой обмотки ваттметра SPW=1, 5 ВА,

потребляемая мощность токовой обмотки варметра SPQ=1, 5 ВА.

Сопротивление соединительных проводов определяют по формуле (1.2.9).

.

Сечение соединительных проводов определяют по формуле (1.2.12).

.

Принимают длину соединительных проводов в один конец l=24 м. Так как трансформаторы тока соединены по схеме полной звезды, то lрасч.=l=24 м. Провода выбираются медные :

,

Так же выбираются провода медные сечением 2, 5 мм2

С учётом выбранного сечения:

,

.

Т.о. Sрасч2=Sн2, так как 10ВА=10ВА. Условие выполняется. Выбранные трансформаторы тока проходят по мощности вторичной нагрузки.

Проверка трансформаторов тока на динамическую устойчивость.

Проверка трансформаторов тока на динамическую устойчивость выполняется по выражению.

, (1.2.13)

где Iном1–номинальный ток первичной обмотки трансформатора, А,

– кратность тока электродинамической стойкости.

Значение тока КЗ для точки К1:

,

.

Значение тока КЗ для точки К2:

,

.

Выбранные трансформаторы тока проходят по динамической устойчивости.

Проверка трансформаторов тока на термическую устойчивость выполняется по выражению.

, (1.2.14)

где Вк - тепловой импульс по расчету,

tТ - время термической стойкости по справочнику.

Для точки K1: .

Для точки К2: .

Выбранные трансформаторы тока проходят по термической устойчивости.

Выбор трансформаторов напряжения.

Трансформаторы напряжения (ТН) выбирают по номинальному напряжению, вторичной нагрузке и классу точности.

При выборе трансформаторов напряжения по номинальному напряжению должно выполняться условие.

, (1.2.15)

где UТН1 - номинальное напряжение первичной обмотки ТН,

UН.УСТ - номинальное напряжение электроустановки.

Исходя из условия по справочнику, выбирают трансформатор напряжения с характеристиками указанными в таблицу 1.2.15.

Таблица 1.2.15 Технические данные трансформатора напряжения

Тип Номинальное напряжение обмоток, кВ Номинальная мощность для выбранного класса точности, ВА Предельная мощность обмоток, ВА
ВН НН основной НН дополнит.   0, 5   1, 0   3, 0
НКФ-220-58 220/ 0, 1/ 0, 1        
ЗНОЛ 06-10УХЛ3 10/ 0, 1/ 0, 1        

 

Типы выбранных трансформатора напряжения:

НКФ - трансформатор напряжения каскадный, в фарфоровой покрышке; ЗНОЛ - трансформатор однофазный с естественным масляным охлаждением с заземленным выводом первичной обмотки;

Для питания контрольно-измерительных приборов установленных в КТПБ (М) и КРУН-10 кВ проектируемой ТП-220/10 кВ и определения расчетной мощности трансформаторов напряжения выбираются из справочника, все необходимые для расчета нагрузочные данные приборов заносятся в таблицу 1.2.16.

Таблица 1.2.16 Вторичная нагрузка трансформаторов напряжения на стороне 220 кВ

Прибор Тип Потребляемая мощность катушки напряжения, ВА
A-В B-С C-А
Амперметр Э377 -- -- --
Вольтметр Э377 0, 1 0, 1 0, 1
Ваттметр Д-365 2, 0 2, 0 2, 0
Варметр Д-365/1 2, 0 2, 0 2, 0
Счётчик активной/реактивной энергии Меркурий 230 ART1-00 0, 5 0, 5 0, 5
Итого   4, 6 4, 6 4, 6

 

Таблица 1.2.17 Вторичная нагрузка трансформаторов напряжения на стороне 10 кВ

Прибор Тип Потребляемая мощность катушки напряжения, ВА
A-В B-С C-А
Амперметр Э377 -- -- --
Вольтметр Э377 0, 1 0, 1 0, 1
Ваттметр Д-365 2, 0 2, 0 2, 0
Варметр Д-365/1 2, 0 2, 0 2, 0
Счётчик активной/реактивной энергии Меркурий 230 ART1-00 0, 5 0, 5 0, 5
Итого   4, 6 4, 6 4, 6

 

Трансформаторы напряжения выбирают по номинальному напряжению, классу точности и вторичной нагрузке.

По вторичной нагрузке трансформаторы проверяют по условию:

Sт н.2 ≥ S2, (1.2.16)

где Sт н.2 – номинальная мощность трансформатора напряжения в принятом классе точности,

S2 – вторичная нагрузка трансформатора.

Определяют вторичную нагрузку трансформаторов напряжения.

, (1.2.17)

где суммарная активная мощность присоединяемых приборов,

суммарная реактивная мощность присоединяемых приборов.

Так как обмотки в катушках намотаны бифилярно, то

. (1.2.18)

По нагрузке вторичной обмотки данного трансформатора на сторону высшего напряжения:

S2=SPI+SPK+SPW+SPQ+SPV=0, 5+2, 0+2, 0+0, 1=4, 6ВА< < Sт.н.2=400 ВА.

Выбранный класс точности обеспечен.

По нагрузке вторичной обмотки данного трансформатора на сторону низшего напряжения:

S2=SPI+SPK+SPW+SPQ+SPV=0, 5+2, 0+2, 0+0, 1=4, 6ВА< < Sт.н.2=75 ВА.

Условие выполняется. Выбранные трансформаторы тока проходят по мощности вторичной нагрузки.

На электродинамическую и термическую устойчивость трансформаторы напряжения не проверяются.

1.2.6 Проверка шин на электродинамическую устойчивость.

При напряжении 20 кВ и ниже в электроустановках используются шины с прямоугольной площадью сечения, при напряжении 35 кВ и выше - с трубчатой площадью сечения, на ОРУ подстанций 35 кВ и выше шины выполняются, как правило, из неизолированного многопроволочного провода.

На ОРУ-220 кВ блочной КТПБ(М)220 приняты шины с трубчатой площадью сечения, соединение трансформатора с КТПБ(М)220 выполнено неизолированным многопроволочным проводом, в КРУН-10 кВ серии К-59У1 принимаются шины с прямоугольной площадью сечения.

Шины выбираются по допустимому продолжительному (длительному) току Iдоп и проверяются на электродинамическую и термическую устойчивость.

При проверке шин на электродинамическую устойчивость должно быть выполнено следующее условие.

, (1.2.19)

где - расчетное напряжение на изгиб, возникающее в материале шин при протекании ударного тока трехфазного короткого замыкания,

- допустимое напряжение на изгиб материала шин.

Допустимые для ряда шин изгибающие напряжения в зависимости от материала, представлены в таблицу 1.2.18.

Таблица 1.2.18 Допустимые для ряда шин изгибающие напряжения

Материал Допустимые напряжения, , МПа
Медь МТ  
Алюминий АТ  
Алюминий АТТ  
Сталь  

 

Силу, действующую на шину при протекании ударного тока 3-х фазного короткого замыкания определяют по формуле:

, (1.2.20)

где kф - коэффициент формы шин, зависящий от формы, размеров шин и расстояния между ними, (для прямоугольных шин - находится по кривым (рисунок 1.2.8) зависимости от отношения и ; если отношение или шины с круглой площадью сечения, то kф=1),

- ударный ток трехфазного КЗ, для точки К2 ,

l - длина пролета, м,

а - расстояние между осями, м,

h – толщина, м,

b – ширина шины, м.

Рисунок 1.2.8 - Кривые значений (kФ) формы шин

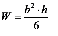
Момент сопротивления для шин расположенных в одной горизонтальной плоскости и установлены на ребро или они расположены в одной вертикальной плоскости и установлены плашмя определяют по формуле. . (1.2.21)

Момент сопротивления для шин расположенных в одной горизонтальной плоскости и установлены плашмя или они расположены в одной вертикальной плоскости и установлены на ребро определяют по формуле.

. (1.2.22)

Момент сопротивления для круглых шин определяют по формуле. , (1.2.23)

где d - диаметр шины, м.

Определяют расчётное напряжение МПа при изгибе.

При одном или двух пролётах расчетное напряжение определяют по формуле.

. (1.2.24)

При числе пролетов больше двух расчетное напряжение определяют по формуле.

. (1.2.25)

Определяют IР.ФОРС при выходе из работы одной секции шин.

, (1.2.26)

,

.

Выбирается номинальный ток РУ-10 кВ равный 2000 А. Исходя из выражения Iдоп ≥ Iр.мах , по справочнику выбираются шины типа АДО 120*10, допустимый ток при числе полос на фазу 3: I=2070А. Задаются параметры конструкции шин: а=30 см, L=150см; для алюминиевых шин =7*103 Н/см2.

По значениям и по кривым (рисунок 1.2.9) находят коэффициент формы проводников прямоугольной площади поперечного сечения, или так как , принимают kф = 1.

Силу, действующую на шины при токе трехфазного к.з. определяют по формуле (1.2.20).

.

Момент сопротивления при установке шин плашмя определяют по формуле (1.2.22).

W= .

Расчетное напряжение определяют по формуле (1.2.25).

.

Условие, формула (1.2.19), выполняется, так как 60, 1 МПа ≤ 70 МПа, шины проходят по механической устойчивости.

Проверка шин на термическую устойчивость.

Определяют степень асимметрии при трёхфазном КЗ.

, (1.2.27)

.

Зная, что tk =1, 5 с, определяют приведённое время апериодической составляющей тока к.з. (рисунок 10) . Так как tk > 1 с, то приведённое время апериодической составляющей тока короткого замыкания не учитывается.

Определяют температуру шин до короткого замыкания. , (1.2.28)

.

Рисунок 1.2.9 - Кривые для определения температуры нагрева токоведущих частей при КЗ

Рисунок 1.2.10 - Кривые приведенного времени апериодической составляющей тока к.з. при питании от турбогенератора с АРН

По значению по кривым (рисунок 1.2.9) определяют температура нагрева проводника при к.з.

Для алюминия - АН=0, 4∙ 10 4 А2с/мм2 .

, (1.2.29)

.

По значению АК = 0, 4∙ 10 4 А2с/мм2 по кривым (рисунок 1.2.9) определяют температуру нагрева проводника.

, – это означает, что в момент тока трёхфазного КЗ выбранные шины практически не нагреются.

Таким образом, выбранные алюминиевые шины марки АТ 100× 8 мм удовлетворяют всем условиям и могут быть приняты к установке.

Для высокой стороны 220 кВ:

Ошиновка ОРУ 220 кВ выполнена трубами алюминиевого сплава 1915 ОСТ 1-2-70, расположенными в один и два яруса, и сталеалюминевым проводом.

Нижний ярус трубчатой ошиновки 220 кВ опирается на колонки аппаратов или опорные изоляторы, на нем установлены специальные надставки, на которых закреплена ошиновка верхнего яруса.

Для выбора сборных шин определим токи нормального и форсированного режимов трансформатора.

,

.

Сборные шины выбираем по току .

В таблице 1.2.19 приведены значения длительных токов трубчатых шин.

Таблица 1.2.19 Значения длительных токов трубчатых шин

Диаметр шины, мм Длительно допустимый ток, А  
ЗРУ ОРУ  
Ок-ра-шенные Неокра-шенные При штиле (V=0) c учетом солнечной радиации Неокрашенные шины при скорости ветра V, м/с При штиле (V=0)  
 
 
D d Ок-ра-шенные Не-окрашенные       Окра-шен-ные  
 
 
                     
                     
                     
                     
                     
                     
                     
                     
                     
                     
                     
                     
                     
                     
                     
                     

 

По таблице 1.2.19 принимаем трубчатые шины из алюминиевого сплава 1915Т внутренним диаметром d = 64 мм, наружным диаметром D=70 и длительно допустимым током при штиле с учетом солнечной радиации Iдоп=925 А. Условие Iном< Iдоп выполняется, так как 210< 925. Принимаем длину пролёта шинной конструкции L=6 м, а расстояние между фазами L=3.5 м.

Проверим выбранные трубчатые шины на термическую стойкость, приняв начальную температуру шины . По кривой 8, рисунок 1.2.11, для температуры находим .

Рисунок 1.2.11 - Кривые для определения конечной температуры нагрева шин при КЗ Материал шин: 1-АДО, АДОМ, АД1М, АД1Н; 2-АД31Т1;
3-АД31Т; 4-АД33Т1; 5-АД33Т; 6-АВТ1; 7-АВТ; 8-1915Т; 9-АМ

Для определения конечной температуры трубчатой шины определим по формуле значение вспомогательного коэффициента .

,

где S= ,

.

По значению АК = 0, 256∙ 10 4 А2с/мм2 по кривым определяют температуру нагрева проводника.

, – это означает, что то шины термически стойкие.

Таким образом, выбранные алюминиевые трубчатые шины удовлетворяют всем условиям и могут быть приняты к установке.

Проверим выбранные трубчатые шины по условиям электродинамической стойкости.

Максимальное механическое напряжение в материале шине определим по формуле:

,

где l – длина пролета шинной конструкции, м,

- коэффициент формы шины, который для трубчатых шин принимается равным 1,

- коэффициент, зависящий от взаимного расположения шин равный 1,

- ударный ток трехфазного КЗ, А,

- значение динамического коэффициента при трёхфазном КЗ, принимается равным 0, 41,

- для шинной конструкции с тремя и более пролетами, таблица 20, принимается равным 10,

W - Момент сопротивления трубчатой шины, м3, определяется по формуле:

.

Таблица 1.2.20 Расчетные схемы шинных конструкций

Тип балки Коэффициенты
Балка с одним пролетом     3, 14
Балка с двумя пролетами   1, 25 3, 93
Балка с тремя и более пролетами      
для крайних пролетов   1, 13 4, 73
для средних пролетов     4, 73

 

.

значительно меньше допустимого напряжения (табл. 1.2.21). Значит, данные трубчатые шины проходят по условию электродинамической устойчивости

Таблица 1.2.21 Характеристики материалов шин

 

Поделиться с друзьями:

mylektsii.su - Мои Лекции - 2015-2026 год. (0.606 сек.)Все материалы представленные на сайте исключительно с целью ознакомления читателями и не преследуют коммерческих целей или нарушение авторских прав Пожаловаться на материал