Студопедия

Главная страница Случайная страница

КАТЕГОРИИ:

АвтомобилиАстрономияБиологияГеографияДом и садДругие языкиДругоеИнформатикаИсторияКультураЛитератураЛогикаМатематикаМедицинаМеталлургияМеханикаОбразованиеОхрана трудаПедагогикаПолитикаПравоПсихологияРелигияРиторикаСоциологияСпортСтроительствоТехнологияТуризмФизикаФилософияФинансыХимияЧерчениеЭкологияЭкономикаЭлектроника






Рангів Спірмена






Для вивчення взаємозв'язку між явищами застосовують також кореляційно-регресійний аналіз. Цей метод передбачає, що зв’язок між результативним і факторним показниками описують певною функцією, яку називають рівнянням регресії. Це може бути рівняння лінійне, параболічне, гіперболічне та ін. Для вибору конкретного рівняння використовують теоретичний аналіз або графічний метод.

 

За наявності прямолінійного зв’язку між показниками лінійне рівняннярегресіїмає вигляд:

,

де – параметри рівняння регресії; – розрахункові (теоретичні) значення Y; Х – значення факторного показника.

Параметр a1 називається коефіцієнтом регресії, він показує, на скільки одиниць змінюється Y при збільшенні Х на одиницю. Знак приa1 характеризує напрямок зв'язку (" +" – прямий, " -" – обернений).

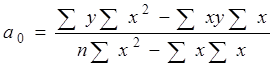
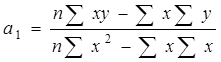
Для знаходженняa0 та a1 використовують метод найменших квадратів, а саме розв'язують відносно а0 і а1 систему рівнянь:

Виходячи із наведеної системи, параметри a0 та a1 можна визначити за формулами:

; .

За наявності прямолінійному зв’язку між показниками для оцінки його тісноти використовують лінійний коефіцієнт кореляції (r):

.

Показник r змінюється в межах від -1 до +1. Він набуває від’ємного значення при оберненому зв'язку, а додатного – при прямому. Прийнято вважати, що при 0< r< зв’язок практично відсутній; < r< – слабкий; < r< – середній; < r< – сильний; r> – дуже сильний зв’язок. Коефіцієнт детермінації D = r2 показує, на скільки процентів варіація Y обумовлюється варіацією Х.

Завдання 3 п. 3 передбачає використання кореляційно-регресійного аналізу для вивчення взаємозв’язку між реалізованою продукцією (Y) та вартістю основних виробничих засобів (Х) у 2010 р. Для виконання розрахунків використаємо меню «Сервис», пакет «Анализ данных», інструмент аналізу «Регрессия» (рис. 19). У разі потреби пакет «Анализ данных» необхідно встановити, використовуючи меню «Сервис» – «Надстройки» – «AnalysisToolPak–VBA».

Рис. 19. Вихідні дані для кореляційно-регресійного аналізу та діалогове вікно пакету «Анализ данных»

У першому полі «Входной интервал Y» діалогового вікна інструменту аналізу «Регрессия» введемо інтервал значень результативного показника – реалізованої продукції, у поле «Входной интервал Х» – інтервал значень факторного показника ­ середньорічної вартості основних виробничих засобів. За бажанням результати можна вивести на цьому ж листі шляхом відмітки «Параметры вывода» «Выходной интервал», встановленням курсору в третьому полі та активуванням комірки, з якої почнеться виведення результатів (рис. 20). Можна розширити перелік виведених показників та додати графіки, поставивши відмітки у відповідних додаткових полях, наприклад, вивести графік підбору. Результати розрахунків виводяться у вигляді таблиці та графіка (рис. 21). Коефіцієнти регресії (рис. 21, комірки С216, С217) показують, що рівняння регресії має вигляд: Y = 9, 56 + 1, 59 X.

Між реалізованою продукцією та вартістю основних виробничих засобів існує сильний прямий зв'язок, оскільки r =0, 748 (комірка С203), а Yзалежить від Х на 56%(комірка С204).

Рис. 20. Діалогове вікно інструменту аналізу «Регресія»

Рис. 21. Результати виконання розрахунків за допомогою інструменту

аналізу «Регрессия»

Покажемо взаємозв'язок між Х та Y у вигляді лінійного графіка, для цього використаємо «Мастер диаграмм» – Тип – Точечная (рис. 22).

Рис. 22. Вікно побудови графіка кореляційного поля

Для того, щоб на графіку додати лінію регресії, необхідно побудувати точковий графік, поставити курсор на будь-яку крапку та натиснути праву кнопку миші. У меню, яке з'являється на екрані, обрати команду «Добавить линию тренда». У діалоговому вікні вибрити тип «Линейная», зайти в «Параметры» та відмітити команду «показывать уравнение на диаграмме» (рис. 23).

Рис. 23. Діалогові вікна побудови лінії регресії

У результаті на графіку буде відображено кореляційне поле, лінія регресії та лінійне рівняння регресії (рис. 24).

Рис. 24. Результати побудови кореляційного поля


Поделиться с друзьями:

mylektsii.su - Мои Лекции - 2015-2026 год. (0.994 сек.)Все материалы представленные на сайте исключительно с целью ознакомления читателями и не преследуют коммерческих целей или нарушение авторских прав Пожаловаться на материал